Services on Demand
Journal
Article
Indicators
Related links
-
Cited by Google -
Similars in Google
Share
R&D Journal
On-line version ISSN 2309-8988Print version ISSN 0257-9669
R&D j. (Matieland, Online) vol.23 Stellenbosch, Cape Town 2007
Theoretical and Experimental Evaluation of a Liquefied Gas Micro Satellite Thruster
A.J. JoubertI; R.T. DobsonII
IPost-graduate student. Department of Mechanical and Mechatronic Engineering, University of Stellenbosch, Private Bag X1, Matieland 7602, South Africa. Tel.: ++27 21 8084268 Fax.: ++27 21 808 4958
IIDepartment of Mechanical and Mechatronic Engineering, University of Stellenbosch, Private Bag X1, Matieland 7602, South Africa. Tel.: ++27 21 8084268 Fax.: ++27 21 808 4958. E-mail: rtd@sun.ac.za
ABSTRACT
The design, test apparatus, theory and evaluation of a liquefied gas micro satellite thruster is presented in this paper. The thruster system included an accumulator such that copper mesh could be placed in it to improve the heat transfer to the butane vapour. Thermocouples were placed in the accumulator to measure the temperature and two pressure transducers were placed on either side of the mesh in the accumulator to measure the pressure drop across the mesh. A calibrated cantilever beam thrust sensor was used. A theoretical model was developed to model the two-phase flow behaviour and heat transfer of the butane in the accumulator. Idealised gas dynamics were used to model the flow of the butane vapour through the nozzle. An increase of 62% in the total impulse was achieved with the addition of copper mesh to the accumulator with a 13 ml charge of liquid butane. The specific impulse Isp achieved under atmospheric conditions was 5.3 seconds without mesh in the accumulator and 8.6 seconds with mesh in the accumulator. Under vacuum conditions the Isp achieved without mesh in the accumulator was 67.5 seconds. An Isp of 109.5 seconds was estimated under vacuum conditions with mesh in the accumulator. The theoretical results presented show a good correlation between the theoretical results and the experimental results provided that there are no Shockwaves present in the nozzle.
Nomenclature
Roman
AArea [m2]
b Heat transfer correlation coefficient
b Width [m]
Cp Constant pressure specific heat [J/kg · K]
Cv Constant volume specific heat [J/kg · K]
dDiameter [m]
F Force [N]
h Thickness [m]
k Thermal conductivity [W/m · K ]
L Length [m]
m Mass [kg]
hg Enthalpy [J/kg]
I Impulse [N · s]
ṁMass flow rate [kg/s]
N Number
p Pressure [Pa]
Q Heat transfer rate [W]
R Gas constant [J/kg · K ]
Re Reynolds number
TTemperature [°C] or [K]
t Time [s]
UHeat transfer coefficient [W / m2 · K]
V Velocity [m/s]
V Volume [m3]
X Cartesian coordinate
Greek
∆Difference
μViscosity [kg/ms]
ρ Density [kg/m3]
σ Condensation coefficient
Subscripts
B back
c copper
dmesh discs
evap evaporation
e exit
g gas
h hole
ht heat transfer
l liquid
lv liquid-vapour
m mesh
mv mesh-vapour
o stagnation
sp specific
Ttemperature
Tthrust
t throat
v vapour
w wall
w wire
wl wall-liquid
wv wall-vapour
1. Introduction
Since 1999 there has been a significant increase in the demand for precise positioning and manoeuvring of small satellites. This was driven mostly by the requirements for small satellite constellations, which require propulsion for launcher injection error, drag compensation, constellation phasing and proximity manoeuvring and rendezvous1. Space propulsion, that has formerly been exclusive to large costly missions, is now however becoming a reality for more and more small satellites and as more reliable, low cost and accurate thrust systems are developed, small satellite propulsion is also becoming more feasible2.
Traditionally cold gas nitrogen systems have been used as propulsion systems for small spacecraft. The disadvantage however of using a gas system is that it has a relatively low storage density, even at high pressures. This requires a large and heavy compressed gas storage tank in order to meet the requirements of pressure vessel standards. Recently liquefied gas systems have been considered as an alternative to cold gas systems. Liquefied gases stored as liquids have a higher storage density, a smaller tank volume, and are stored at relatively low pressure and require no regulation system1.
A butane thruster system was developed and successfully used on board the nano-satellite SNAP-11. The Isp that was achieved by the SNAP-1 system was43 s. The resistoj et thruster developed by Surrey Satellite Technology Ltd can be used at any power level up to 100 'W' and will augment any cold gas system3. The resistojet was launched on ALSAT-1 in 2002 and was able to deliver a typical Isp values of about 100 s when using butane as propellant.
The liquefied gas thruster described in this paper differs however from the resistojet in as much as it has an accumulator which is charged with a known quantity of working fluid prior to the heating and firing phases. It was considered that that this would give a more accurate and reliable theoretically calculated prediction of the actually achieved thrust. The objectives of this project (which is a continuation of a project by Weyer et al.4,5 where use of an accumulator type propulsion system was considered) was thus to improve the heat transfer to the butane vapour in the accumulator and also to be able to measure the exact amount of liquid butane charge fed into the accumulator. By so doing the specific impulse Isp is increased the; a high Isp being of paramount importance in achieving good thruster system performance.
In order to achieve these objectives a thruster system and test set-up was designed, built and tested. Copper mesh was placed in the accumulator to improve the heat transfer rate and a heat transfer correlation coefficient that takes into account the uncertainty of the heat transfer area as well as the heat transfer coefficient of the mesh was determined by comparing the mathematical model to the experimental results. Further, the experimental results were used to verify the validity of the theoretical model of the micro satellite thruster system.
2. Experimental Thruster System
In designing the experimental set-up it was decided to make use of an accumulator into which a metered amount of liquid butane could be fed. In the accumulator the butane could then be heated and then exhausted through the nozzle by opening the nozzle valve as shown in figures 1 and 2. The set-up also needed to be able to be placed inside a vacuum chamber, a schematic diagram of the accumulator, in more detail, is shown in figure 3.


In figure 3 it can be seen that there are four tubular pockets inside of the accumulator tube that are welded onto the flange. Three of the pockets are used as thermocouple pockets, while the other one is used for a heating element. The butane feed tube is used to feed the charge of liquid butane from the filling tube via the fill valve into the accumulator. The outlet tube is connected to a pressure transducer and a vacuum valve, which is connected to a vacuum pump. The mesh discs were slid around the heating element pocket and two thermocouple pockets that also acted as supports.
3. Experimental Set-up
The experimental work required the measurement of temperature, pressure and thrust force, and the control of the solenoid valves using a personal computer. All the measurements and control were done using commercially available data acquisition hardware and software.
3.1 Temperature and pressure measurement
Chromel and alumel (type K) thermocouples were used to determine the temperature of the butane in the accumulator, while a copper-constantan thermocouple was used to determine the temperature of the butane in the storage tank. The voltage from the different thermocouples was read by one of the channels of the I/O card using the software that was supplied with the card to convert the voltage to temperature units °C.
The pressure was measured using Hottinger Baldwin Messtechnik absolute pressure transducers. Two pressure transducers were used to measure the pressure inside the accumulator.
3.2 Thrust measurement
The accuracy with which the thrust could be measured played a major role in the experimental set-up. Due to the relatively small thrusts measured, special consideration had to be given to the method with which the thrust was measured.
The method that was employed is similar to that discussed by Ye et al.6, Xiong et al.7, Stephen et al.8 and Bekham and Sitti9. All of the methods discussed in these articles make use of a cantilever beam. In this project a cantilevered beam is used to measure the thrust directly as is discussed by Behkam and Sitti9.
Figure 4 shows the cantilever beam clamped in a rigid support that could be adjusted in front of the nozzle such that the free end of the beam could be aligned with the nozzle. When the thruster is firing, the cantilever beam deflects and a strain is induced due to the bending moment caused by the propellant exiting the nozzle and impacting against the free end of the beam. The maximum strain is induced at the supporting end of the beam. The strain gauges were mounted as close as possible (but not so close such that edge effects dominate and simple beam theory cannot be used) to the supporting end of the beam in order to measure as high a strain as possible for a sufficiently rigid cantilever with a natural frequency significantly higher than that of the thrust force.
4. Theoretical Model
The liquefied gas thruster system was approximated as a one-dimensional flow problem and a control-volume approach was taken in applying the conservation equations of change. In addition the transient behaviour of the system was also modelled. Idealised gas dynamics10 was used to model the flow through the nozzle and a two-phase model was used to simulate the transient behaviour of the butane in the accumulator. A basic diagram of the accumulator, mesh, nozzle and valve are shown in figure 5.

4.1 Initial conditions
The initial conditions inside the accumulator were calculated using the given information. The information given was:
□ mass of liquid butane fed into the accumulator from the storage tank
□ temperature and pressure of both the liquid and vapour in the accumulator
□ wall temperature of the accumulator
□ thermodynamic equilibrium inside the accumulator
□ volume of accumulator
□ number of mesh discs placed in accumulator.
The mass of the vapour is calculated using the ideal gas equation, while the liquid mass is calculated by subtracting the vapour mass from the initial mass of butane put into the accumulator.

where minitial is the initial mass of butane put into the accumulator and Fis the volume of the accumulator.
4.2 Vapour control volume
The assumption is made that the volume of the vapour control volume is equal to the total volume of the accumulator. The liquid volume is small and essentially has no effect on the much larger accumulator control volume. Figure 6 shows a diagram of the vapour control volume.

The mass of vapour exiting through the nozzle me is subtracted from the initial vapour mass in the accumulator to calculate the new mass of the vapour in the accumulator after the first time step. From the continuity equation

The new stagnation pressure in the accumulator is calculated, using the newly calculated vapour mass. The ideal gas equation is used to calculate the new stagnation pressure in the accumulator with the temperature equal to the stagnation temperature of the previous time step.

With the new stagnation pressure known in the accumulator, the mass evaporated from the liquid because of the pressure difference can be calculated (see section 4.3). The heat transfer from the wall of the accumulator to the vapour is calculated using:

where Uwv is the heat transfer coefficient between the wall of the accumulator and the vapour, Awv is the contact surface area and Tw is the temperature of the wall. Next the mass of the vapour is recalculated by adding the mass that was evaporated from the liquid control volume.

The conservation of energy equation is used to calculate the new stagnation temperature of the vapour in the accumulator

Finally the stagnation pressure of the vapour in the accumulator with the newly calculated values for the mass and temperature is recalculated. Again the ideal gas equation of state is used to calculate the pressure in the accumulator.

In accordance with the explicit numerical relation procedure the old values are then set to the new values and the above sequence repeated for each time step.
4.3 Liquid control volume
When the liquid and vapour of the fluid is in thermodynamic equilibrium no heat transfer or net mass transfer will take place between the two phases. Initially, before the nozzle valve is opened, this is the case inside of the accumulator. However, as soon as the nozzle valve is opened, the pressure in the accumulator starts to drop. As the pressure in the accumulator drops liquid evaporates in accordance with11:

where Alv = surface area of liquid-vapour interface
σ = condensation coefficient
pi = psat@Tl, saturation vapour pressure corresponding to liquid surface temperature
Tl = temperature of liquid surface
Pv = pressure of vapour adjacent to the liquid surface
Tv = temperature of vapour adjacent to the liquid surface
Figure 7 shows the liquid control volume and all the mass and energy transfers affecting the liquid control volume.

The new mass of the liquid is calculated by subtracting the evaporated mass from the initial (old) mass of the liquid.

After the mass of liquid is determined the heat transfer from the accumulator wall to the liquid is calculated.

where Uwl is the heat transfer coefficient between the wall and the liquid.
Now the new temperature of the liquid can be calculated using the conservation of energy

4.4 Mesh in accumulator
Copper mesh was placed in the accumulator to improve the heat transfer rate to the butane vapour. Mesh with 40 holes per linear 25.4 mm and a wire thickness of 0.26 mm was used. The mesh was cut into round discs and stacked in the accumulator.
An estimation of the area over which the heat transfer would take place in the mesh had to be made. Each disc placed in the accumulator weighed 3 g. So the length of the copper wire per disc can be calculated using:

where md is the mass of copper per disc, ρc is the density of the copper,
is the area of the wire and dw is the diameter of the wire.
Knowing the length of the wire per disc the heat transfer area can now be calculated

where Nd is the number of mesh discs placed in the accumulator.
The velocity through the mesh can be calculated using:

where ṁe is the mass flow of the vapour butane exiting the nozzle, ρv is the density of the butane in the accumulator and Ah is the total area through which the butane can flow in each mesh disc. With the velocity of the fluid through the mesh known the Reynolds number can be calculated using:

where μv is the dynamic viscosity of the butane vapour. It was found that the Reynolds number was very low indicating a laminar flow and hence the heat transfer coefficient could be estimated using

where kv is the thermal conductivity of the vapour butane and Lh is the length of the hole in the mesh.
With the heat transfer coefficient known, as well as the heat transfer area, the heat transfer from the mesh to the butane vapour can be calculated.

where Tm is the temperature of the mesh and Tv the temperature of the butane vapour in the accumulator.
The energy equation is used to determine the new temperature of the mesh.

The new temperature of the butane vapour is calculated using equation 6.41, only now the heat transfer from the mesh to the butane vapour is added. So, equation 6.41 now becomes:

It was found that the heat transfer from the mesh to the butane vapour was overestimated. In order to get a better estimate of the pressure in the accumulator the product of the heat transfer coefficient and heat transfer areas was adjusted. Because the wires of the mesh are folded over each other, in order to form the mesh, the contact area over which the heat transfer takes place can be up to 50% less than was thought initially. This is still just an estimate and no real certainty is involved. The heat transfer coefficient is also very difficult to estimate, as it is not possible to know the exact mass flow of the fluid through the mesh in the accumulator.
It was decided to incorporate a heat transfer correlation coefficient to take into account the uncertainty of the contact surface area, as well as the uncertainty of the heat transfer coefficient. A new variable b was incorporated into equation 18 whereby the heat transfer from the mesh to the butane vapour could be adjusted, in order to get a better estimate for the pressure in the accumulator. Equation 18 then becomes:

4.5 Nozzle
To calculate the thrust the following exit properties of the flow at the exit plane of the nozzle need to be known: ṁe, Ve and pe.These properties were calculated using traditional gas dynamic theory10,12. Simplified gas dynamics assumes a reservoir of gas at constant pressure and temperature. In modelling of the system this is not the case as the pressure inside the reservoir starts to drop as soon as the valve is opened. However the assumption was made that the velocity of the fluid at the entrance of the nozzle is low enough to assume that the pressure and temperature is equal to the stagnation pressure and temperature of the reservoir or accumulator. The flow of the fluid through the nozzle was modelled as a single control volume. The stagnation properties of the fluid inside the accumulator were taken as the initial conditions for each new time step. Figure 8 shows the control volume for the nozzle.

Other assumptions made in the theory of the gas flow through the nozzle are: the fluid behaves as an ideal gas, it is a calorically perfect gas i.e. constant specific heats, no frictional losses occur in the accumulator, and isentropic flow through the nozzle. The so-called ideal gas equation of state will then hold:

where p is the pressure, T is the absolute temperature and p is the density. When the assumptions above are made for a fluid then the exit properties of the fluid through a quasi one-dimensional duct can be calculated10. With the flow properties known at the exit of the nozzle the thrust force can be calculated13 using:

5. Experimental Results
Before the experimental tests were conducted, certain initial conditions under which the thruster would operate had to be decided upon. Two nozzles were tested. Both nozzle-1 and nozzle-2 had a throat diameter of 1 mm but nozzle-1 had an exit diameter of 5 mm whilst nozzle-2 had an exit diameter of 1.6 mm. Three sets of tests were done. A first set of tests using nozzle-1 was done with the accumulator tank at a temperature of about 25 °C. These tests were conducted to test the influence of the amount of copper mesh in the accumulator. A second set of testing was done using nozzle-2 with no mesh in the accumulator. These two sets of tests were conducted at an atmospheric pressure of 100 000 Pa A third and final set of tests was conducted using nozzle-1 and nozzle-2 in a vacuum chamber at a pressure of 20 Pa and with no mesh in the accumulator.
5.1 Influence of copper mesh in accumulator
Figure 9 shows the pressure readings for both pressure transducers with a 13 ml initial charge of butane in the accumulator using nozzle-1 (this corresponded to more-or-less the total volume of the filling tube). It can be seen that both pressure readings coincide with each other. The nozzle valve was opened for 2 s, closed for 50 s and then opened for 2 s again. This was repeated until all the butane was exhausted. The pressure curve for only the first four bursts are shown. Figure 10 shows the thrust curve for the first 2 s burst. Figures 9 and 10 are from an experiment conducted with no mesh in the accumulator.


It is interesting to note that the pressure (figure 9) in the accumulator recovers after the nozzle valve is closed. This is due to the fact that when the butane pressure drops, the temperature of the liquid butane remaining is higher than the saturation temperature at the new pressure. Hence, liquid butane boils off, causing the pressure to increase until it reaches the saturation pressure corresponding to the temperature of the system. This is what Zakirov14 refers to as the self pressurizing effect of liquefied gas systems.
From figure 10 the approximately 6 Hz fundamental mode of vibration of the thrust sensor can be seen. From this we can see that the response of the sensor is fast enough to accurately capture 1 to 2 second thrust bursts because its period is 1/6 ≈ 0.17 s
Table 1 shows the results for exhausting of 13 ml of liquid butane.

5.2 Different nozzle tests
The nozzle (nozzle-1) that was used in the tests conducted to test the influence of the amount of mesh in the accumulator had Shockwaves in the nozzle. A second nozzle was designed that would allow for supersonic flow to exist throughout the nozzle. Although Shockwaves did form in this nozzle (nozzle-2), as the pressure continually decreased in the accumulator, there were no Shockwaves present at the start of the tests. Figures 11 and 12 show the pressure and thrust curves for the two different nozzles. In these tests that were conducted there were no mesh put in the accumulator. To compare the two nozzles the nozzle valve was opened for 5 s before closing it again. The valve was only opened and closed once.


From figure 11 it can be seen that the two pressure curves coincide. This is because the throats of the two nozzles are the same size; both have a 1 mm diameter. If the flow in the throat is chocked, which is the case, then the mass flow is governed only by the size of the throat. However, from the thrust curves for the two different nozzles (figure 12) it can be seen that they are very different from each other. The total impulses for the two nozzles are:

The total impulse for nozzle-2 shows a 91 % increase in the total impulse over the five-second burst, compared to the total impulse achieved by nozzle-1. The peak thrust achieved with nozzle-2 was about 75.75 mN while the peak thrust for nozzle-1 was about 39.23 mN. This showed an increase of about 93 % in the peak thrust achieved by nozzle-2 compared to that achieved by nozzle-1.
5.3 Vacuum chamber testing
Tests were conducted in a vacuum chamber to thereby simulate conditions where the backpressure approaches absolute zero. In the vacuum chamber the pressure was equal to 20 Pa which is low compared to atmospheric pressure. Again there was no mesh in the accumulator for these tests. Nozzle-1 and nozzle-2 were tested, and the results compared with the tests conducted under atmospheric conditions. The pressure in the vacuum chamber at 20 Pa was low enough that no Shockwaves would form in either of the two nozzles. Figure 13 shows the comparison between the pressure curves for the vacuum test compared to the test done under atmospheric conditions for nozzle-1 and nozzle-2. The thrust curves for nozzle-1 and nozzle-2 are shown in figure 14.


From figure 13 it can be seen that the pressure curves lie very close to each other. The reason for the slight discrepancies between the pressure curves is due to the inconsistent and unpredictable evaporation of the liquid butane in the accumulator. However, figure 14 shows that the amplitudes of the thrust curves are different form each other. The peak thrusts and total impulses are displayed in table 2.

From table 2 it can be seen that the peak thrust achieved under vacuum conditions for nozzle-1 is almost 13 times better than the thrust achieved under atmospheric conditions. That is more than a 1000 % increase in the peak thrust achieved with the same nozzle. Also, the total impulse achieved shows an increase of more than 10 times. That is a 920 % increase in the total impulse achieved with the same nozzle. The reason for the increase in thrust is due to the fact that in the vacuum chamber there are no Shockwaves present in the nozzle. In the case of the vacuum chamber tests, the backpressure was low enough to ensure that the flow could exit at a very high velocity without Shockwaves being present in the nozzle.
With nozzle-2 the increase in the peak thrust was less than 4 times, which meant a 280 % increase in the peak thrust. The total impulse over the 5 second thrust period was just over 4 times more, with a 315% increase in the total impulse. The reason why the increase of the thrust in nozzle-2 is so much less than the increase observed in nozzle-1 is because nozzle-2 was designed specifically to perform better under atmospheric conditions.
The total impulse achieved using nozzle-1 with a 13 ml liquid butane charge in the vacuum chamber was 4.88 Ns. This resulted in an Isp of 67.5 s. From table 1 it can be seen that total impulse achieved using nozzle-1 under atmospheric conditions was 0.382 Ns, which resulted in anIsp of 5.3 s. This is an increase of more that 1100 % in the Isp of the system under vacuum conditions.
From table 2 it can be seen that nozzle-2 is suited more for conditions where the thruster exhausts to a higher backpressure and nozzle-1 is more suited to conditions where the backpressure is a lot lower. This clearly shows the importance of using the correct nozzle, for the conditions under which the nozzle would operate.
6. Theoretical Results
The theoretical model was devel oped to simulate both the complex two-phase behaviour of the liquid-vapour butane in the accumulator as well as the flow of the fluid through the nozzle. The theoretical model was developed such that it can predict the performance of the thruster system, given the initial conditions of the thruster system. These initial conditions include the temperature and pressure of the butane vapour in the accumulator, as well as the backpressure to which the fluid was exited. Also, the throat and exit diameter of the nozzle also needs to be specified and the number of copper mesh discs placed in the accumulator need to be specified.
6.1 Atmospheric condition
The theoretical model that was compared with the results obtained experimentally was for the case with no mesh in the accumulator. The throat and exit diameters of nozzle-1 were used and the backpressure was set equal to the atmospheric pressure. Also, it was decided to look at the case were the nozzle valve was opened for 5 s before closing it again. In figure 15 the comparison between the theoretical pressure predicted and the experimental pressure obtained in of the accumulator can be seen. Figure 16 shows the comparison between the thrust predicted and the thrust measured experimentally.


From figure 15 it can be seen that the difference between the theoretical pressure and that of the pressure determined experimentally in the accumulator compare very well with each other. Again there are a few minor differences as the pressure drops lower. These differences are attributed to the unpredictable increase in the evaporation of the liquid butane inside of the accumulator.
In figure 16 it can be seen that the experimental and theoretical thrust results for the system do not compare well. Shockwaves formed continuously in nozzle-1 right from the time that the nozzle valve was opened. According to Hill15 a shock is strongly affected by interacting with the nozzle boundary layer. The shock can separate the boundary layer and set up a complex flow disturbance within the nozzle, which in turn will greatly affect the shock configuration. It is also stated that the shock inside a nozzle with high exit plane pressure is definitely not plane normal. The simple model that was used in order to calculate the flow through the nozzle, assumed that if a shock formed in the nozzle that it was plane normal. According to Hill15 this is not necessarily the case. The simplified one-dimensional theoretical model, that assumes a Shockwave to form plane normal inside of a nozzle, thus cannot accurately predict the thrust developed if Shockwaves form continuously in a nozzle right from the time that a fluid is exhausted through the nozzle.
The next case that was looked at was the case where nozzle-2 was used instead of nozzle-1. The backpressure was equal to the atmospheric pressure, there was no mesh in the accumulator and the nozzle valve was opened for 5 seconds before it was closed again. Figure 17 shows the comparison between the pressures for the experimental results and that obtained from the theoretical results. Figure 18 shows the thrust achieved theoretically compared to the thrust measured experimentally.


Again the difference in the pressure curves (figure 17) is attributed to the unpredictability of the evaporation of the liquid butane in the accumulator. However, the theoretically predicted pressure still follows the experimental pressure very accurately.
The theoretical thrust using nozzle-2 (figure 18) compares a lot better with the experimental thrust than was the case when nozzle-1 (figure 16) was modelled. The reason that the thrust is predicted more accurately is because there are no Shockwaves present in the nozzle as soon as the nozzle valve is opened. However, Shockwaves do start to form in nozzle-2 after 1 s of firing.
The results obtained from the experimental measurements and the theoretical modelling of the thruster system is given in table 3 and table 4. The results include both the modelling of the thrust under atmospheric conditions as well as the thrust results from the vacuum chamber.


6.2 Vacuum conditions
For the tests conducted under vacuum conditions there was no mesh in the accumulator, both the nozzles were tested, and the nozzle valve was opened for a 5 s period to exhaust the butane before it was closed again. In the vacuum chamber the backpressure was equal to 20 Pa.
Figure 19 shows the pressures obtained from the experimental results compared to the theoretical results using both nozzle-1 and nozzle-2. Figure 20 shows the thrust measured experimentally compared to the thrust predicted theoretically using both nozzle-1 and nozzle-2. The results obtained for nozzle-1 are given in table 3 while table 4 gives the results for nozzle-2.


Figure 19 shows a good correlation between the experimentally measured pressure curves and the theoretically predicted pressure curves. The theoretically predicted thrust agrees with the experimentally measured average thrust.
From table 3 it can be seen that the theoretical and experimental results do not correlate very well for the atmospheric conditions. However, under vacuum conditions the total impulse predicted over the 5 s thrust period is out by less than 20 %. Therefore, for the case where Shockwaves do not form in nozzle-1, the analytical model is able to accurately predict the thrust of the system.
From table 4 it can be seen that the correlation between the theoretical and experimental results under atmospheric conditions, using nozzle-2, is a lot better than was the case when using nozzle-1. For the atmospheric conditions the total impulse predicted was out by less than 30%. The error in the prediction of the total impulse under the vacuum conditions is less than 7%. This shows that the simple model used to simulate the thruster system is able to predict the thrust accurately, provided that there are not Shockwaves inside of the nozzle as soon as the nozzle valve is opened.
6.3 Placing of copper mesh in accumulator
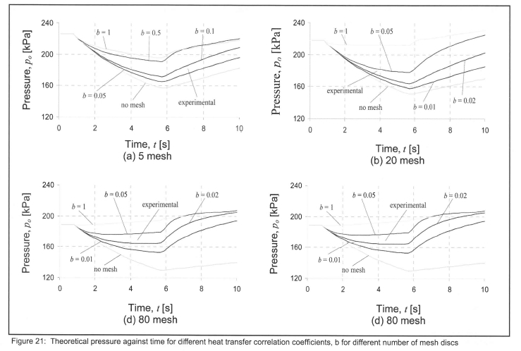
In this section the results obtained from the theoretical model will be given and compared with the experimental results for different number-of-mesh discs in the accumulator. The nozzle valve is opened for a 5 s burst before it is closed again. After the valve is closed the pressure recovery of the butane in the accumulator is observed.
The results for different values of the heat transfer correlation coefficient b (see equation 21) are shown in the Figure 21. Each one of the figures is for a different number of mesh discs in the accumulator.
From figure 21(a) it can be seen that the most accurate comparison between the experimental and theoretical results are obtained when b = 0.05. Figures 21(b), (c) and (d) show that the best comparison is achieved with b = 0.02. In figure 21(a), with 5 mesh discs in the accumulator, the theoretical results still follow the experimental results quite well. Even the pressure recovery, after the valve is closed is simulated quite accurately. The more mesh is placed in the accumulator, the more difficult it becomes to model the pressure recovery accurately. For the 20, 50 and 80 mesh discs in the accumulator the pressure curve still follows the experimental curve well with the nozzle valve open, but once the nozzle valve is closed the pressure recovery is over predicted.
In the modelling of the system a single vapour control volume for the butane is assumed. With the addition of the mesh to the accumulator an extra heat source is now added to this control volume. When the nozzle valve is closed, heat is transferred from the mesh to the vapour. In the experimental set-up only a portion of the vapour is in contact with the mesh, and because the nozzle valve is closed there will be very little movement of the fluid inside of the accumulator. Therefore, that portion of the vapour that is in contact with the mesh will heat up relatively quickly, while the rest of the vapour will remain at a lower temperature; and as the temperature of the vapour in contact with the mesh increases, the heat transfer from the mesh to that portion of the vapour will decrease. However, in the modelling of the system the butane vapour was modelled as a single control volume and therefore the temperature of the entire control volume would be equal. Because of this assumption the temperature of the vapour would remain lower, as the mesh now has to heat the entire vapour control volume and not just the vapour in contact with the mesh. Therefore the temperature difference between the vapour and the mesh would remain larger for a longer period of time than is actually the case. Therefore the heat transfer from the mesh to the vapour is higher than in actual fact and that is why the theoretical pressure recovery over predicts the pressure in comparison to the experimental pressure recovery.
The more mesh discs placed in the accumulator, the more the influence of the heat transfer from the mesh to the vapour can be observed (figure 21). Therefore, the more discs are placed in the accumulator, the more the theoretical pressure recovery is over predicted compared with the experimentally determined pressure recovery.
6.4 Estimation of Isp with mesh in accumulator
Under atmospheric conditions with no mesh in of the accumulator the Isp achieved with nozzle-1 was 5.3 s. Under vacuum conditions, also with no mesh in the accumulator, the Isp achieved with nozzle-1 was 67.5 s. If the same increase that was achieved under atmospheric conditions with the addition of mesh in the accumulator is assumed under vacuum conditions, the Isp of the system with mesh in the accumulator can be estimated. This assumption is valid only if the flow through the throat of the nozzle is choked, which was indeed the case in the tests that were conducted. Table 5 shows the estimated Isp values for the system with mesh in the accumulator under vacuum conditions using nozzle-1. The Isp - Atmospheric values in Table 5 are the Isp values from table 1.

7. Discussion and Conclusion
7.1 Validity of theoretical model
In order to validate the theoretical model the theoretical results were compared to the experimental results. In the first tests done under atmospheric conditions with nozzle-1 the thrust calculated by the theoretical model did not compare well with the experimental thrust achieved. However, in the modelling of the flow through nozzle-2 the thrust did compare well with the experimental thrust under atmospheric conditions. The difference between nozzle-1 and nozzle-2 under atmospheric conditions is that in the case of nozzle-1 Shockwaves form inside of the divergent part of the nozzle as soon as the nozzle valve is opened. However, in nozzle-2, the Shockwave only starts to move into of the divergent part of the nozzle and then only after the pressure in the accumulator drops low enough. Under vacuum conditions the theoretical thrust compared well with the experimental thrust for both of the nozzles.
In the simple theoretical model used it was assumed that if a Shockwave formed inside of the divergent part of the nozzle, that it was plane normal. This assumption, of a plane normal shock in a nozzle, is assumed in most of the literature available on flow through a nozzle. In none of the literature found is a system considered with a variable pressure source. This is because this is a much more difficult problem as it entails an iteration process to calculate the position of the normal shock in the nozzle. According to Hill15 this assumption of a Shockwave in a nozzle being plane normal with high exit plane pressure is definitely not valid. From the results (figure 8) it can be seen that the assumption made of a Shockwave being plane normal in a nozzle is not valid in this project. The shock separates the boundary layer and sets up a complex flow disturbance within the nozzle15 that will not be able to be simulated with the simple model that was used. Therefore a more advanced complex model would have to be used to determine the actual shock configuration of the flow in the nozzle and this was beyond the scope of this project.
The two-phase model of the liquid-vapour butane was able to capture the behaviour of the flow and heat transfer in the accumulator reasonably well. The two-phase model was able to accurately predict the pressure in the accumulator in comparison to the pressure measured experimentally. The behaviour of the butane with mesh discs in the accumulator was also simulated with reasonable success. This model has however certain limitations. One of the assumptions made was to model the vapour as a single control volume. With the mesh in the accumulator this single control volume for the vapour proved to over predict the pressure recovery in the accumulator after the nozzle valve was closed. In order to be able to model the pressure recovery in the accumulator more accurately a more complicated model than the relatively simple model proposed by Joubert16 is required. A more complicated model could be to model the vapour as three control volumes: two vapour control volumes on either side of the mesh, and one control volume for the vapour in contact with the mesh.
From this discussion it can be concluded that the thrust predicted by the theoretical model is valid if there are no Shockwaves present in the nozzle as soon as the nozzle valve is opened. Also, the two-phase model of the butane in the accumulator is able to accurately predict the pressure of the butane vapour in the accumulator, provided that there is no mesh in the accumulator.
With mesh in the accumulator the simple model adopted by Joubert16 is still able to predict the pressure in the accumulator with reasonable success.
7.2 Mesh inside accumulator
The results obtained from the experimental testing of the system show that the performance of the thruster system can be greatly improved with the addition of copper wire mesh in the accumulator. From table 1 it can be seen that the total impulse achieved by the thruster system with no additional mesh in the accumulator, was 0.382 Ns. With 5 discs of copper mesh in the accumulator an increase of 8 % in the total impulse compared with no mesh in the accumulator was achieved. With 20 discs of copper mesh an increase of 62 % in the total impulse was achieved. With 50 discs of copper mesh an increase of 45 % in the impulse was achieved. With 80 discs of copper mesh the increase was 61%. It must be remembered that the start-up pressures for all the different quantities of mesh in the accumulator was not always the same. Figure 22 shows the total impulse against the number of mesh discs in the accumulator. From the figure it can be seen that the impulse seems to flatten out after 20 mesh discs are placed in the accumulator as the impulse achieved with the 80 mesh discs is almost equal to the impulse achieved with the 20 mesh discs.

From the experimental results it can also be seen that there was not a visible pressure drop across the mesh in the accumulator. This can be seen in figure 1 where the pressure curves from the pressure transducers situated on either side of the mesh in the accumulator coincide. The reason for the increase in the thrust achieved with the addition of the mesh to the accumulator is because of the increase in the heat transfer. The more mesh discs the better but whether there is an optimum number of discs was not established in this project.
7.3 Nozzle size
The size (throat and exit diameter) of the nozzle has a significant influence on the performance of the thruster. Table 2 shows the influence that the size of the nozzle has on the total impulse that was achieved over the 5 s bursts. It is important to note that nozzle-2, with the smaller exit diameter, performed significantly better under atmospheric conditions than nozzle-1, under the same conditions. However, under vacuum conditions, nozzle-1 performed better. This shows that the nozzle must be designed in accordance with the conditions under which it will be used.
This includes the supply pressure to the nozzle as well as the backpressure, to which it is exhausted.
Using a smaller nozzle might increase the efficiency of the thruster but might not deliver enough thrust. In this project the thrust sensor was able to measure thrusts as small as 10 mN. The sensitivity of the thrust sensor was a limiting factor in the thrust that needed to be delivered, therefore the throat diameter used was much larger than the nozzle throat diameter that will be used in an actual space application.
Under atmospheric conditions Shockwaves were present in the flow through both of the nozzles. In nozzle-2 a Shockwave formed outside of the nozzle initially, and as the pressure in the accumulator decreased the position of the Shockwave moved into the divergent part of the nozzle. In nozzle-1 a Shockwave was present in the divergent part of the nozzle from the start of the test. Because of the presence of the shockwave in nozzle-1 from the start of the test its performance was significantly worse than that of nozzle-2. The presence of Shockwaves in the nozzle decreases the performance of the nozzles significantly. This is clearly seen in table 2 where the thrust achieved under vacuum conditions are compared to the thrust achieved under atmospheric conditions. In the vacuum chamber there were no Shockwaves present in either of the two nozzles.
The highest total thrust achieved over a 5 s burst under atmospheric conditions was 0.26 Ns (see table 2) using nozzle-2 while under vacuum conditions the highest total thrust achieved over a 5 sburst was 1.39 Ns using nozzle-1. Therefore we can conclude that nozzle-1 is more suited for space applications where the backpressure is equal to zero, while nozzle-2 is more suited for atmospheric conditions where Shockwaves start to play a roll in the performance of the nozzle.
7.4 Overall performance of thruster system
The specific impulse Isp is the unit that is generally used to measure the efficiency with which of a satellite thruster system is able to convert the propellant mass into work13. The higher the specific impulse, the less propellant mass is consumed to obtain the same thrust. It is useful to compare the Isp of the system with other existing systems, such as those developed at Surrey Space Centre.
Under atmospheric conditions with no mesh in the accumulator the Isp achieved with nozzle-1 was 6 s. Under vacuum conditions, also with no mesh in the accumulator, the Isp achieved with nozzle-1 was 67.5 s. Under atmospheric conditions with 20 mesh discs in the accumulator the Isp achieved with nozzle-1 was 9.43 s. Table 5 shows that the estimated Isp for the system with 20 mesh discs in the accumulator under vacuum condition is 109.5 s.
The Isp that was achieved by the SNAP-1 system developed by Surrey Space Centre was 43 s. The novel resistojet thrusters discussed by Sweeting et al.17 had a typical Isp value of between 150 and 200 s. Instead of using butane as the propellant, water was used in these resistojet thrusters, so it may be difficult to compare the performance to our system where butane was used. The low power resitojet discussed by Baker et al.2 has a typical Isp values of about 100 s when using butane as propellant.
The estimated Isp of our system of 109.5 s compares well with the Isp value of the low power resitojet system2 of 100 s.
7.5 Final conclusion
The specific impulse achieved by the thruster described in this paper compares well with conventional liquefied gas thrusters. The reason for this is ascribed to the innovation of using mesh in the accumulator, thereby increasing the rate at which energy can be transferred to the two-phase mixture and thus enhancing the rate of evaporation of the working fluid. Further, the analytical model proposed in this paper can be used with confidence to predict the performance of this type of liquefied gas micro satellite thruster.
References
1. Gibbon DM, Underwood C and Sweeting M, Cost effective propulsion system for small satellites using butane propellant, Acta Astronautica, 2002, 51(1-9), 145-152. [ Links ]
2. Baker AM, da Silva Curiel A, Schaffner J and Sweeting M, 2005, "You can get there from here": Advanced low cost propulsion concepts for small satellites beyond LEO, Acta Astronautica, 57(2-8), 288-301. [ Links ]
3. Gibbon DM and Baker AM, The design, development and in-flight performance of a low power resistojet thruster, AIAA, 4548, 2003.
4. Weyer RB, Dobson RT and van der Westhuizen K, Development of a liquefied-gas micro-satellite propulsion system, Part I - Theoretical modelling, R&D Journal of the South African Institution of Mechanical Engineering, 2004, 20(3), 8-13. [ Links ]
5. Weyer RB, Dobson RT and Van der Westhuizen K, Development of a liquefied-gas micro-satellite propulsion system, Part II - Experimental evaluation, R&D Journal of the South African Institution of Mechanical Engineering, 2004 20(3), 14-20. [ Links ]
6. Ye XY, Tang F, Ding HQ and Zhou ZY, Study of a vaporizing water micro-thruster, Sensors and Actuators, 2001, 89, 159-165. [ Links ]
7. Xiong J, Zhou Z, Ye X, Wang X, Feng Y and Li Y, A colloid micro-thruster system, Microelectronic Engineering, 2002, 61-62, 1031-1037. [ Links ]
8. Stephen JR, Rajanna K, D har V, Kumar KGK and Nagabushanam S, Thin-film strain gauge sensors for ion thrust measurement, IEEE Sensors Journal, 2004, 4, 373-377. [ Links ]
9. Bekham B and Sitti M, E. coli inspired propulsion for swimming microrobots, Proceedings of the IMECE International Mechanical Engineering Congress and Exposition, 13-19, 2004.
10. Anderson JD, Modern Compressible Flow, McGraw Hill, New York, 2004.
11. Mills AF, Heat Transfer, Pretence Hall, Upper Saddle River, 1999.
12. White FM, Fluid Mechanics, McGraw-Hill, Singapore, 1999.
13. Sidi MJ, Spacecraft Dynamics and Control: A Practical Engineering Approach, Cambridge University Press, Cambridge, 1997.
14. Zakirov V, Sweeting M, Erichs en P and Lawrence T, Specifics of small satellite propulsion: Part I, Proceedings of the 15 th Annual AIAA/USU Conference on Small Satellites, Logan, Utah, August 13-16, 2001, SSC01-XI-6.
15. Hill PG and Peterson CR, Mechanics and Thermodynamics of Propulsion, Addison Wesley, 1992.
16. Joubert AJ, A Liquefied Gas Thruster for a Micro Satellite, MScEng Thesis, Department of Mechanical and Mechatronic Engineering, University of Stellenbosch, Stellenbosch, 2007. [ Links ]
17. Sweeting MN, Lawrence T and Leduc J, Low-Cost Orbit Manoeuvres for Minisatellites Using Novel Resistojet Thrusters, Surrey Space Centre, University of Surrey, Guildford UK, 1999.
Received 20 February, 2007
Revised form 6 September
Accepted 8 October 2007











