Services on Demand
Journal
Article
Indicators
Related links
-
Cited by Google -
Similars in Google
Share
R&D Journal
On-line version ISSN 2309-8988Print version ISSN 0257-9669
R&D j. (Matieland, Online) vol.23 Stellenbosch, Cape Town 2007
Experimental Implementation of Complex Curvature Friction Stir Welding
T.L van NiekerkI; T. HuaII; D.G. HattinghIII
IProfessor, Manufacturing Technology Research Centre, Nelson Mandela Metropolitan University, PO Box 7700, Port Elizabeth, South Africa. E-mail: Theo.vanNiekerk@nmmu.ac.za
IITao Hua. e-mail: Tao.Hua@nmmu.ac.za
IIIMSAIMechE. Professor, Automotive Components Technology Station, Nelson Mandela Metropolitan University. E-mail: Danie.Hattingh@nmmu.ac.za
ABSTRACT
This paper presents an experimental set-up for complex curvature friction stir welding. By adding an additional rotation axis to the existing three translation axes and clamping system, a table-tilting multi-axis system was implemented to perform complex curvature friction stir welding. Orthogonal array experiments and statistical analyses were carried out to investigate the relationship between sensor data, process parameters and process conditions with multi-sensor and telemetry system.
Nomenclature
ANOVA Analysis of variance
FSW Friction stir welding
OA Orthogonal array
1. Introduction
Friction Stir Welding (FSW) is a joining technique developed by TWI in 19912. During the FSW process, a non-consumable cylindrical wear resistant tool consisting of a profiled pin under a wider shoulder rotates on its own axis and moves along a joint between two plates to produce a high quality weld. Material in the joint is plasticized due to frictional heating between the tool and the workpieces. The welding tool moves along the weld joint stirring the plasticized material across the material boundary, forming a cold-forged bond. The tool is extracted from the workpieces when required weld length is finished. The process schematic of FSW is illustrated in figure 1.

Currently, the research for monitoring and control of FSW is mainly focused on straight welds. Effects of process parameters such as feed rate, spindle speed, and tool size on fatigue life, tensile strength, weld crack paths and residual stress of FSW have been presented by many researchers3,4,5,6. Apart from process parameters, process conditions, such as workpiece curvature, also play critical roles in weld quality during complex curvature joining. This paper describes the experimental set-up for complex curvature FSW. The relationship between sensor data, process parameters and process conditions is also investigated in this paper for future process monitoring and control.
2. Complex Curvature FSW
Owing to the hardware limitation of the existing FSW machine, the complex curvature in this project is defined as the connection of a series of simple curvatures such as straight line and circular arc.
During complex curvature FSW, the relative motion between tool and workpiece causes sufficient forces and torque for cutting, stirring and pressing the material to generate material flow and friction heat. Inputs of FSW include process parameters (feed rate, spindle speed, plunge depth and tilt angle), and process conditions (tool geometry, parent material and thickness). Outputs generated from the FSW process include: downward force Fz (vertical force required to plunge the tool pin into the workpiece and maintain shoulder contact with the surface of the workpiece); torque (spindle torque required to rotate the FSW tool when plunging into and traversing through the workpiece along the joint); tool temperature (the temperature at the tip of the tool pin); bending force (the maximum resultant force vector or bending force, measured by means of strain-gauge elements, which rotate with the tool holder as it senses the strain or bending moment on the tool holder shaft due to the applied load on the tool tip in the x-y plane), etcetera. Figure 2 shows the process parameters, process conditions, process outputs and the co-ordinate system of complex curvature of FSW.

3. System Setup
To perform complex curvature of FSW, a multi-axis or robotic system is needed to provide mechanical stiffness and precise orientation/position control. Multi-axis is preferred due to the large forces involved in the welding process for complex curvature workpieces7. Consequently, an extra rotation axis was added to the existing three translation axes to form a table-tilting multi-axis system. A Renold motor with rating power 0.37 kW and full speed 1390 rpm was used to provide output torque. Siemens Micromaster 440 inverter and CoreTech DRS 1440 incremental encoder were used to control motor operation and to provide feedback from the motor. A workpiece fixture was also designed for locating and holding the workpieces to tolerate the large force involved. Figure 3 shows the multi-axis FSW platform used in this development.

A telemetry system instrumented on the tool chuck was built to obtain on-line detailed information about process variables. The sufficiently high sample rate of process variables from the telemetry system and encoders allows acceptable response time for on-line monitoring of complex curvature FSW.
The electronics mounted on the chuck were used to sample the required process variables. Raw sensor data was signal-conditioned and then passed to a microprocessor - where it was prepared for transmission to the TS 1000 interface. Electrical power is transferred to the chuck, using induction, and the sampled data is sent off the chuck in digital form using a capacitate technique. Strain gauges and thermal couple were fitted on the chuck and tool to detect horizontal forces, vertical force, torque exerted on the tool, and the tool's pin temperature. When the interface unit receives a request for data, it transfers the information via the RS232 serial interface to the computer. Figure 4 illustrates the telemetry monitoring system assembly8,9.

Specifically arranged precision foil-type strain gauges were attached to a thin shell cylindrical element to measure forces and moment acting on the tool assembly. The strain gauges were applied on the outer surface of the elastic element and on a common centre line in full bridge configurations to compensate for unwanted superimposed stresses. Figure 5 illustrates the axial positioning and channel number of the strain gauge elements. The two bending channels channel 1 and 2 measure bending in the x & y direction. Channel 3 measures the compression or tensile force in the axial direction while channel 4 measures the shear load8.

A 0.5 mm diameter embedded thermocouple probe (type K) was fitted into the 0.7 mm diameter hole inside welding tool for measuring the interface temperature between the tool pin and shoulder. Thermal paste with a high thermal conductivity was also applied on the probe to ensure good contact between the probe and tool interface8, as illustrated in figure 6.

4. Experiment Results and Discussion
Experiments on aluminium flat plates and round tubes were conducted to acquire sensor data with the telemetry system. Different process conditions and various process parameters were used in the experiments to record on-line sensor data of bending force, torque, vertical force (Fz) and temperature. Figure 7 shows the welding cause-effect diagram.

4.1 Orthogonal array experiment
Orthogonal arrays (OAs) developed by Taguchi were used in experiment design due to their capabilities of minimizing test number and representing all factors equally10. L16_4_5 and L18_3_7. OA experiments were chosen for FSW of flat plates (Al 5251 and Al 6061) and round tubes (Al 6061) respectively. The Al 5251 round rube welding was not carried out as this type of tube was not available. The factor-level table for flat plate and round tube FSW is shown in table 1.

Figure 8 shows the experimental samples welded at NMMU.

4.2 Average effect of factor level
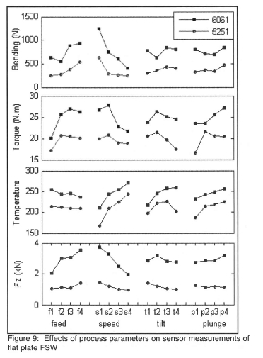
In OA experiment, effects of experiment factors and their levels on stated variable measurements are calculated as the average of all observations under that factor level. Figure 9 shows the average effect of each factor level on sensor measurements with the data obtained from 3 mm Al 6061 and Al 5251 flat plate welds. It can be concluded that all the sensor data are affected at different degrees by each process parameter, in which:

□ The four process parameters, spindle speed and feed rate have significant influence on sensor measurements. Thus they are the potential process parameters to be adjusted on-line in order to control the process outputs.
□ Bending force, torque, and Fz increase with feed rate and decrease with spindle speed; while temperature decreases with feed rate and increases with spindle speed. Thus increasing spindle and decreasing feed rate can enhance the plasticizing effect in the welding zone.
□ Most of the sensor measurements show the same changing trend with process parameters for Al 6061 and Al 5251 alloy; while the averages of all four sensor measurements of Al 5251 are significantly lower than those of Al 6061. This can be attributed to the difference in mechanical properties: Al 5251 is softer with better formability, thus lower force is caused during welding; Al 6061 has better thermal conductivity, thus more heat is propagated from the tool/workpiece contact area to the area to be welded whilst higher temperature is generated. It also indicates that to maintain process outputs, process parameters need to be changed when the welded workpiece material changes. Figure 10 shows the average effect of each factor level on sensor measurements with the data from 3 mm Al 6061 round tube welding. Compared to the results from flat plate welding, the round tube welding exhibits some different characteristics:

□ In addition to the process parameters, the process condition of workpiece curvature also significantly affects sensor measurements. All the sensor measurements increase with workpiece diameter. This can be explained by the tool/workpiece contact condition: with smaller workpiece diameter, less tool/workpiece contact is obtained, resulting in less force and temperature being generated due to less friction between tool and workpieces during welding. It also indicates that to maintain process outputs, process parameters need to be changed when the welded workpiece curvature changes.
□ Except for feed rate and spindle speed, plunge depth also shows significant influence on sensor measurements. Unlike flat plate welding, especially for round tubes with small diameters, the full tool/workpiece contact is obtained only when the tool plunges into workpiece material with sufficient depth.
4.3 Variance percentage contribution
Is the percentage contribution, which reflects the portion of the total variation observed in the experiment ascribed to a factor. A factor with higher percentage contribution to a state variable indicates that the state variable is more sensitive to that factor. The calculation of percentage contribution of a factor is given as10:

Where vF is degree of freedom; KF is number of levels for the factor; nFi is number of observations under level i of the factor; T is sum of all observations; N is total number of observations; and Fi is sum of observations under ith level of factor.
Using analysis of variance (ANOVA) of the OA experiment, the percentage contribution of each factor to each state variable variance was calculated. Table 2 shows the percentage contribution of each process parameter (feed, speed, tilt and plunge) on sensor measurements of data collected from the OA experiments of Al 6061 and Al 5251 plate welds.

Table 3 shows the percentage contribution of process parameters (feed, speed, tilt and plunge) and process condition (curvature) on sensor measurements from the data of Al 6061 round tube welds.

It can be seen from table 2 and table 3 that temperature is the most sensitive signal to spindle speed, tilt angle, and plunge depth. Fz has a higher sensitivity to feed and speed than plunge and tilt. Torque is more sensitive to plunge depth and tilt angle than the other sensor signals. Both the flat plate and round tube experimental data illustrate that the error contributions associated with sensor signals are acceptable (less than 8%). This implies that the most important process conditions and parameters that influence these characteristics were included in the experiment11.
4.4 Correlation analysis
Correlation coefficient, a normalized measure of the strength of the linear relationship between two variables, is used in this study to investigate the dependency of a sensor signal on a process parameter12. The correlation coefficient r(x, y) of variable y to variable x is calculated as:

Where xi is the ith element of variable x;
is the mean value of variable x; yi is the ith element ofvariablex;v, and
is the mean value of variable y.
Table 4 shows the correlation coefficients of sensor measurements to process parameters of Al 6061 and Al 5251 flat plate welds. It shows that all sensor measurements have high correlation to feed and speed; while torque and temperature show higher correlation to plunge and tilt than the other two sensor measurements.

4.5 Further discussion
During complex curvature FSW, physical condition changes dynamically due to complexity. The optimized process parameters for certain material and curvature need to be adaptable for different curvature. Using the statistical analysis of data from the OA experiments and additional experiments, sensor features which are sensitive to process conditions (curvature, material, etcetera) are to be selected as control variables for process monitoring and control; while process parameters which are sensitive to those control variables are to be selected for on-line adjustment to maintain the control variables within a certain range. A process model, which characterizes the relationships between control variables, process parameters, and process conditions, is to be built with the experimental data using a sensor fusion method such as neural network in further research.
5. Conclusion
A table-tilting multi-axis system consisting of three translational axes and one rotation axis was implemented to perform complex curvature FSW. Process parameters (feed, speed, tilt and plunge) and process conditions (material and curvature) were used as experiment factors in OA experiments to acquire sensor measurements (force, torque and tool temperature) with a multi-sensor and telemetry system. The average effect and variance percentage contribution of each factor level on sensor measurements were analysed. Correlations of sensor measurements to process parameters were also used to investigate the relationship between process parameters, process conditions and sensor data during complex curvature FSW. Further research on sensor fusion and intelligent process control is needed in order to establish the on-line monitoring and control system for the nonlinear process of complex curvature FSW.
Acknowledgements
The authors wish to express their thanks to the South African National Research Foundation for providing funding towards this research.
References
1.Thomas W, Threadgill P and Nicholas E, The feasibility of friction stir welding steel, Science and Technology of Welding and Joining, 1999, 4(6) 365-372. [ Links ]
2. Thomas WM, Nicholas ED, Needham JC and Murch MG, Temple-Smith P and Dawes CJ, Friction Stir Butt Welding. International patent application No. PCT/GB92/02203 and GB patent application No. 9125978.8, 6 December 1991.
3.James MN, Hattingh DG and Bradley GR, Weld tool travel speed effects on fatigue life of friction stir welds in 5083 aluminium, International Journal of Fatigue, 2003, 25, 1389-1398. [ Links ]
4.Reynolds AP, Tang W, Gnaupel-Herold T and Prask H, Structure, properties, and residual stress of 304L stainless steel friction stir welds, Scripta Materialia, 2003, 48, 1289-1294. [ Links ]
5.Nakata K, Inoki S, Nagano Y, Hashimoto T, Johgan S and Ushio M, Friction stir welding of AZ91D thixomolded sheet, Proceedings of 3rd International Friction Stir Welding Symposium, Kobe, Japan, 2001, Session 2, Paper 3.
6.Ericsson M and Sandström R, Influence of welding speed on the fatigue of friction stir welds and comparison with MIG and TIG, International Journal of Fatigue, 2003, 25, 1379-1387. [ Links ]
7. Hirano S, Okamoto K, Aota K, Okamura H, Aono Y and Odakura T, Development of 3 dimensional type friction stir welding equipment, 3rd International Symposium on Friction Stir Welding, Kobe, Japan, 2001, Session 1, Paper 3.
8.Blignault C, A Friction Stir Weld Tool and Response Surface Model Characterizing Tool Performance and Weld Joint Integrity, DTech Thesis, Department of Mechanical Engineering, Nelson Mandela Metropolitan University, Port Elizabeth, South Africa, 2005. [ Links ]
9.Kruger G, Intelligent Monitoring and Control System for a Friction Stir Welding Process, MTech dissertation, Port Elizabeth Technikon, South Africa, 2003. [ Links ]
10.Ross PJ, Taguchi Techniques for Quality Engineering. ISBN 0070539588, McGraw-Hill, 2nd ed., New York, 1995.
11.Azouzi R and Guillot M, On-line prediction of surface finish and dimensional deviation in turning using neural network based sensor fusion, International Journal of Machine Tools and Manufacture, 1997, 37 (9), 1201-1217. [ Links ]
12.The MathWorks, MATLAB: The Language of Technical Computing, version 7, 2004.
Received 13 June 2006
Revised form 23 April 2007
Accepted 17 May 2007












