Serviços Personalizados
Journal
Artigo
Indicadores
Links relacionados
-
Citado por Google -
Similares em Google
Compartilhar
African Entomology
versão On-line ISSN 2224-8854versão impressa ISSN 1021-3589
AE vol.31 Pretoria 2023
https://doi.org/10.17159/2254-8854/2023/a16110
SHORT COMMUNICATION
Coexistence of Ammoxenus (Gnaphosidae) spider species on and between termitaria of Microhodotermes viator (Hodotermitidae) at a Karoo site
Joh R. HenschelI, II; W. Richard J. DeanIII, IV, †; Suzanne J. MiltonI, III, IV; Ansie S. Dippenaar-SchoemanV
ISouth African Environmental Observation Network, Arid Lands Node, Kimberley, South Africa
IICentre for Environmental Management, University of the Free State, Bloemfontein, South Africa
IIIWolwekraal Conservation and Research Organisation, Prince Albert, South Africa
IVFitzPatrick Institute, University of Cape Town, Rondebosch, South Africa
VDepartment of Zoology, University of Venda, Thohoyandou, South Africa
ABSTRACT
Previous studies of some species of Ammoxenus spiders demonstrated them to be monophagous predators of certain termites. Upon observing Ammoxenus spiders preying on the hodotermitid, Microhodotermes viator, we examined the distribution of spiders on or off termitaria (termed heuweltjies) at the Tierberg-LTER study site in the Karoo using pitfall traps deployed monthly over two years. Four species of Ammoxenus were found, but only one, Ammoxenus pentheri, has been described, the other three being new to science. Their coexistence prompts questions concerning niche partitioning among several specialist predators. Our initial study revealed that Ammoxenus and other ground spiders were more abundant on heuweltjies than in the matrix between heuweltjies. The different Ammoxenus species appeared to be disparately associated or disassociated with heuweltjies and had different phenologies. This case of niche partitioning among specialist predators warrants further study.
Keywords: heuweltjie, monophagous predators, niche partitioning, termites, sand-diving spiders, Tierberg-LTER
Ammoxenus spiders (Gnaphosidae) are free-living soil dwellers (Dippenaar-Schoeman et al. 1996a) usually found in the soft soil dumps left after excavation by the termites close to the nest entrance (Dippenaar-Schoeman and Harris 2005). The genus is endemic to southern Africa and presently known from six species (Dippenaar and Meyer 1980) but several new species await decription (Bird 2003). They are very active spiders, usually found in areas with a high termite presence, running rapidly over the soil surface, moving between foraging termites and even entering tunnels of termite nests (van den Berg and Dippenaar-Schoeman 1991). All Ammoxenus species studied can dive head-first into the sand, using specialised setae on the chelicerae as digging apparatus, while the legs are kept close to the body as the spider pushes into the sand (pers. obs.). They construct sac-like silk retreats in soil mounds where they rest while not foraging.
Harvester termites forage mainly on grass, leaves, fine twigs and organic litter in the field outside their nests and are thus exposed to terrestrial predators. Among these predators are Ammoxenus spiders, invariably found near termite tunnel portals (Wilson and Clark 1977; Dippenaar and Meyer 1980; Dean 1988; van den Berg and Dippenaar-Schoeman 1991; Dippenaar-Schoeman et al. 1996a, b; Dippenaar-Schoeman and Harris 2005; Petrakova et al. 2015; Haddad et al. 2016). During prey capture, the spider grabs a termite, immobilises it by biting between its head capsule and the thorax, and drags the termite into the soil where the spider starts feeding (Dippenaar-Schoeman et al. 1996a, b; Dippenaar-Schoeman and Harris 2005; Petrakova et al. 2015).
Petrakova et al. (2015) provided the first solid evidence of Ammoxenus spiders being true monophagous predators. They used Next Generation Sequencing for molecular analysis of the gut contents of Ammoxenus amphalodes Dippenaar and Meyer comparing them to sequences of available prey in a grassland habitat. Their results showed that 99.8% of the extracted sequences belonged to Hodotermes mossambicus (Hagen) (Hodotermitidae), southern harvester termites. Dippenaar-Schoeman et al. (1996a) reported Ammoxenus coccineus Simon preying on snouted harvester termites Trinervitermes trinervoides (Sjöstedt) (Termitidae: Nasutitermitidae), indicating that different Ammoxenus species may specialise on different termites. The difference here is that A. coccineus must forage in soft sand near the termitaria, which are hard and impenetrable for Ammoxenus digging. Ammoxenus spiders were also reported preying on southern harvester termites Microhodotermes viator (Latreille) (Hodotermitidae) (Dean 1988) at Tierberg in the Karoo of the Western Cape. The four Ammoxenus species sampled there were included in a taxonomic revision by Bird (2003) and three species were identified as new to science. The unpublished results of Bird's (2003) revision indicated the presence of several sympatric species from Tierberg (Dippenaar-Schoeman et al. 2022) as well as sites near Hopetown, Kimberley and Cederberg (Foord et al. 2016).
The different Ammoxenus species were recorded at Tierberg-LTER (33.165461° S, 22.267926° E), a research site established in 1987 in a fenced livestock exclosure of 100 ha near Prince Albert in the Western Cape (Milton et al. 1992; Arena et al. 2018). The only termites recorded at this site are M. viator and Amitermes sp. (Termitidae: Termitinae) (Milton and Dean 1996) and Psammotermes allocerus Silvestri (Rhinotermitidae) (pers. obs.). However, the site is located within the broad distribution ranges also of Angulitermes sp. and Microcerotermes sp. (Termitidae: Termitinae), and Fulleritermes mallyi (Fuller) (Termitidae: Nasutitermitinae) (Uys 2002). It is unknown whether the Tierberg Ammoxenus spp. eat any termites other than M. viator. The sympatric occurrence of several species of Ammoxenus on 100 ha of semi-arid Karoo prompts the question of whether all of these Ammoxenus species are as strictly monophagous as found in previous studies (Dippenaar and Meyer 1980; Dippenaar-Schoeman et al. 1996a; Petrakova et al. 2015). If so, do the different Ammoxenus species prey on different termite species? Our data do not allow testing this for Ammoxenus but such segregation was found to be the case in sympatric termitophagous Stenaelurillus species (Salticidae) by Pekar et al. (2021).
However, it is possible to cast some light on a possible alternative hypothesis, namely that different Ammoxenus species specialise in different spatial and/or temporal niches of M. viator availability as prey at or away from their termitaria. Although the different morphospecies of Ammoxenus were identified from voucher specimens usually combined for both habitats (Bird 2003; Dippenaar-Schoeman et al. 2022), it was possible to examine the seasonal occurrence of Ammoxenus at the generic level in different habitats, following the approach used by Dean and Griffin (1993) for solifuges and Arena et al. (2020) for ants from the same dataset. The two habitats investigated in this study are defined by distinct patchiness due to the presence of 250 evenly-spaced 5-13 m wide termitaria of Microhodotermes viator, low mounds commonly called heuweltjies, which differ in terms of plant community composition and density, water infiltration rates, soil characteristics and biodiversity from the surrounding vegetation on the plains, or the matrix between the termitaria (Armstrong and Siegfried 1990; Milton and Dean 1990; Dean 1992; Milton et al. 1992).
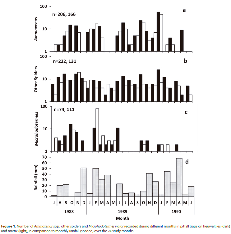
From mid-1987 to mid-1990, pitfall trapping was conducted within the Tierberg exclosure for 24-h periods. Here we analyse the most consistent records during the final 24 months between July 1988 and June 1990, amounting to 960 trap days. The annual precipitation from July 1988 to June 1989 was 252 mm and 263 mm from July 1989 to June 1990, markedly higher than the long-term mean annual precipitation of 177 mm at Tierberg (Arena et al. 2018). Tin cans of 90 mm diameter were placed into the soil with the top rim flush with the ground surface. One trap was positioned on each of 20 heuweltjies. Another 20 traps were placed in a 5 χ 4 grid, 20 m apart from each other on the plains (matrix). Field records separated Ammoxenus spp. from all other spiders combined, later identified by Dippenaar Schoeman et al. (2022). Voucher specimens were deposited in the National Collection of Arachnida at the Agricultural Research Council, Pretoria. Pitfall-trapped M. viator were also recorded to indicate their availability as potential prey in the two habitats in different months. We compared the number of Ammoxenus spiders, collectively all other ground spiders, and M. viator, trapped monthly at heuweltjies and the matrix (t-test) and tested possible relationships of these variables with rainfall using linear regression. We also tested for correlations between Ammoxenus abundance and termite abundance (Pearson correlation) and presence or absence of termites (Mann-Whitney (7-test). Statistical tests were performed using Statistica 7.1 with significance level set to 0.05.
During the current study period, the pitfall traps captured 725 spiders of 40 identifiable taxonomic categories (Dippenaar-Schoeman et al. 2022), with Ammoxenus spp. constituting 51.3% of the catch (67 Ammoxenus pentheri Simon; 251 sp. 1; 44 sp. 2; 6 sp. 3; 4 undetermined). Ammoxenus numbers were not significantly correlated with termite numbers (r = 0.25; p > 0.5), nor with the presence or absence of termites (Mann-Whitney: U22,26 = 250; p > 0.05). There was no correlation, not even when lagged, between the occurrences of Ammoxenus and M. viator (r < 0.37). The abundances of ammoxenids and other spider taxa in both habitats were unrelated to the rainfall pattern (Figure 1; r2 < 0.051). The only common seasonal pattern was that fewer spiders were recorded during winter than during the spring and summer months of October to March.
Overall, Ammoxenus were more abundant on heuweltjies than the matrix (206 vs 166), although the monthly abundances were strongly correlated between habitats (r = 0.93). Due to high variability, differences in the mean monthly abundances of Ammoxenus on and off the heuweltjies were not significant (mean abundance over the trapping period: 8.2 ± 12.1 vs 6.6 ± 9.6; t = 1.70, p > 0.05; Figure 1). However, "other spiders" were, on average, significantly more abundant on the heuweltjies than in the matrix (8.9 ± 5.7 vs 5.3 ± 3.9; paired-t24 = 3.6, p < 0.002; r = 0.53; Figure 1). Monthly records of Ammoxenus were strongly correlated with those of other spiders on the heuweltjies (r = 0.72, p < 0.05) but not on the matrix (r = 0.20). There was no significant difference in the highly variable numbers (CV = 300%) or frequency of M. viator occurrences in traps between habitats (p > 0.05; Figure 1).
The three Ammoxenus species had different seasonal activities (Figure 2, Table S1); the fourth species was uncommon (n = 6) and seasonal data could not be generated. The most abundant species, Ammoxenus sp. 1, was most active in summer, December to February and least during winter, June to August. The bulk of the captures (54%) were adult males. During the peak season, the sex ratio was strongly skewed at 4.61
:1
(χ21 = 42.3, p < 0.001). Some 29% of the voucher specimens were accompanied by habitat data, all referring to heuweltjies. It can therefore be assumed that Ammoxenus sp. 1 is most strongly associated with termitaria. By contrast, 94% of Ammoxenus pentheri were recorded during spring, September to November (Figure 2), with the sex ratio of 1.53
:
not significantly skew. None of these records indicated heuweltjie habitat, and it can be assumed that A. pentheri is associated with the matrix. A third species, Ammoxenus sp. 2, was also most active during spring (48%), but this species was recorded throughout the year (Figure 2) with a skew sex ratio (3.14
:1
, χ21 = 42.3, p < 0.005). Only one record was from a heuweltjie. Too few Ammoxenus sp. 3 (3
, 2
1 juv.) were recorded to analyse.
Our observations indicate that Ammoxenus and other ground spiders were more abundant or active at heuweltjies than in the matrix, just as previously recorded for web spiders (Henschel and Lubin 2018). Ammoxenus spp. and M. viator were occasionally recorded on and off heuweltjies. These termites forage irruptively across the entire area, emerging from foraging portals (Figure 3) on or up to tens of metres from the termitaria to collect plant matter. However, their foraging events are highly sporadic and unpredictable, making it difficult for predators to track the appearance of termites foraging on the surface (Dean 1993).
Pitfall traps are probably ill-suited to track the swarms of M. viator during their briefappearances on the surface (Southwood 1978) but may perhaps catch the odd foraging scout. Pitfall traps would also be unlikely to collect the termites when they emerge over very short distances at ejecta portals to push out frass and other debris from their nest. However, the frequent appearance of termites at the ejecta portals may enable Ammoxenus, waiting on the frass heaps, to capture them, as do several other predators such as Eurychora sp. (Coleoptera: Tenebrionidae), crabronid wasps (Hymenoptera), spiders, birds, lizards and small mammals (pers. obs.). Although prey availability at frass heaps would be more predictable, given the daily activities of termites at certain ejecta portals for weeks to months on end (pers. obs.), predators and prey are probably difficult to detect with pitfall traps due to the short distances moved. Also, arthropod predators face several risks at ejecta portals. Termite soldiers may injure Ammoxenus, but with these spiders' ability to burrow themselves they are usually able to escape predators, and vertebrate predators such as birds and lizards may also capture the spiders (pers. obs.). The observation at Tierberg of a swarm of M. viator termites attacking a theraphosid spider and driving it out of its burrow by day reflects risks for burrowing spiders at termitaria, even when not hunting (Henschel and Jürgens 2022).
Conditions are different for Ammoxenus on the matrix, where these spiders can only wait for termite irruptions from foraging portals whenever and wherever they occur (Dean 1988). The density of foraging portals diminishes with distance from termitaria due to the termites' central place foraging patterns (Laurie 2002). Ammoxenus waiting for surface-active M. viator midway between heuweltjies would therefore experience slimmer resource levels than those on or near heuweltjies. Nevertheless, as soon as termites emerge from the foraging portals, Ammoxenus spiders emerge from soil mounds or soft soil around these portals (Dippenaar-Schoeman et al. 1996a). Laboratory observations have shown that A. amphalodes and A. pentheri can readily detect the presence of termites, and the spiders immediately surface after termites have been introduced into their containers (Dippenaar-Schoeman et al. 1996a). In the field, their presence near foraging holes apparently enables them to detect termite foraging activity, perhaps through soil vibrations or chemical cues. Wilson and Clark (1977) have shown that A. daedalus can detect termite activity throughout a 24-hour period in the field and that the spiders adapt their activity pattern to that of H. mossambicus. The same may be true for Tierberg with Ammoxenus foraging for M. viator.
The binary recording of habitat (either heuweltjie or matrix) in our study does not allow for more refined analyses besides noting that Ammoxenus were overall more abundant on heuweltjies than off. The different Ammoxenus species at Tierberg may perhaps utilise different niches represented by decreasing resource levels with increasing distances from the termitaria, enabling sympatry of monophagous species with different traits. Perhaps Ammoxenus sp. 3, which was seldom recorded in our study, was more abundant in habitats that were not sampled, such as among the nearby riparian vegetation. Additionally, as diet was not tested, one or more of these species might be preying on other species of termites, just as A. coccineus preys on nasutitermitine termites (Dippenaar-Schoeman et al. 1996a).
Our findings indicate that there may be spatiotemporal separation of species. The numerically dominant species, Ammoxenus sp. 1, appears to be most closely associated with heuweltjies, while Ammoxenus pentheri may avoid heuweltjies, and Ammoxenus sp. 2 is perhaps intermediate, at the heuweltjie margins. Differences in phenology regarding seasonal activity and maturity patterns further separate these species even though they may specialise on the same prey. These conclusions require confirmation, including elucidating the alternative hypothesis concerning the possibility that these sympatric monophagous predators could be hunting different prey.
ACKNOWLEDGEMENTS
The Terrestrial Ecosystems Programme, Foundation for Research Development, provided funding for this fieldwork as part of the Karoo Biome Project. This project benefitted from discussions with Tharina Bird, who also commented on a draft manuscript.
AUTHOR CONTRIBUTION
JRH: Formal Analysis, Writing - Original Draft; WRJD: Conceptualisation, Data Curation, Investigation, Methodology, Project Administration, Resources; SJM: Data Curation, Funding Acquisition, Writing - Review and Editing; ASD: Data Curation, Investigation, Writing - Review and Editing
ORCIDS
Joh R. Henschel: https://orcid.org/0000-0001-7122-2768
Suzanne J. Milton: https://orcid.org/0000-0003-4390-6040
Ansie S. Dippenaar-Schoeman: https://orcid.org/0000-0003-1532-1379
REFERENCES
Arena G, Dean WRJ, Milton SJ. 2020. Ant communities in two habitats in Succulent Karoo shrubland. African Entomology 28(1):202-209. https://doi.org/10.4001/003.028.0202. [ Links ]
Arena G, Van der Merwe H, Todd SW, Pauw, MJ, Milton SJ, Dean WRJ, Henschel JR. 2018. Reflections, applications and future directions of Long-Term Ecological Research at Tierberg. African Journal of Range & Forage Science 35:257-265. https://doi.org/10.2989/10220119.2018.1513072. [ Links ]
Armstrong AJ, Siegfried WR. 1990. Selective use of heuweltjie earth mounds by sheep in the Karoo. South African Journal of Ecology 1:77-80. [ Links ]
Bird TL. 2003. Revision of the Afrotropical spider genus Ammoxenus Simon (Araneae, Ammoxenidae), with Notes on its Higher Relationships. Unpublished MSc thesis, University of Pretoria, South Africa. [ Links ]
Dean WRJ. 1988. Spider predation on termites (Hodotermitidae). Journal of the Entomological Society of Southern Africa 51:147-148. [ Links ]
Dean WRJ. 1992. Effects of animal activity on the absorption rate of soils in the southern Karoo, South Africa. Journal of the Grasslands Society of Southern Africa 9(4):178-180. https://doi.org/10.1080/02566702.1992.9648321. [ Links ]
Dean WRJ. 1993. Unpredictable foraging behaviour in Microhodotermes viator (Isoptera: Hodotermitidae): an antipredator tactic? Journal of African Zoology 107:281-285. [ Links ]
Dean WRJ, Griffin E. 1993. Seasonal activity patterns and habitats in Solifugae (Arachnida) in the southern Karoo, South Africa. South African Journal of Zoology 28(2):91-94. https://doi.org/10.1080/02541858.1993.11448299. [ Links ]
Dippenaar-Schoeman AS, De Jager M, Van den Berg A. 1996a. Ammoxenus species (Araneae: Ammoxenidae) - specialist predators of harvester termites in South Africa. African Plant Protection 2:103-109. [ Links ]
Dippenaar-Schoeman AS, De Jager M, Van den Berg A. 1996b. Behaviour and biology of two species of termite-eating spiders, Ammoxenus amphalodes and A. pentheri (Araneae: Ammoxenidae), in South Africa. African Plant Protection 2:15-17. [ Links ]
Dippenaar-Schoeman AS, Harris R. 2005. Food storage by a wandering ground spider (Araneae, Ammoxenidae, Ammoxenus). The Journal of Arachnology 33(3):850-851. https://doi.org/10.1636/0161-8202(2005)033[0850:FSBAWG]2.0.CO;2. [ Links ]
Dippenaar AS, Meyer MKP. 1980. On the species of the African genus Ammoxenus (Araneae: Ammoxenidae), with descriptions of two new species. Journal of the Entomological Society of Southern Africa 43:41-49. [ Links ]
Dippenaar-Schoeman AS, Dean WRJ, Milton SJ. 2022. A checklist of spiders (Arachnida, Araneae) of Tierberg Long Term Ecological Research site, Prince Albert, Western Cape, South Africa. SANSA Newsletter 43:25-32. [ Links ]
Foord SH, Dippenaar-Schoeman AS. 2016. The effect of elevation and time on mountain spider diversity: a view of two aspects in the Cederberg mountains of South Africa. Journal of Biogeography 43(12):2354-2365. https://doi.org/10.1111/jbi.12817. [ Links ]
Haddad CR, Brabec M, Pekár S, Fourie R. 2016. Seasonal population dynamics of a specialized termite-eating spider (Araneae: Ammoxenidae) and its prey (Isoptera: Hodotermitidae). Pedobiologia 59(3):105-110. https://doi.org/10.1016/j.pedobi.2016.03.003. [ Links ]
Henschel JR, Jürgens N. 2022. Organisms and their interactions found on, underneath and around fairy circles - animals. In: Schmiedel U, Finckh M, editors. Fairy Circles of the Namib Desert - Ecosystem Engineering by Subterranean Social Insects. Biodiversity & Ecology 7. Windhoek: Klaus Hess Publisher.
Henschel JR, Lubin YD. 2018. Web spider abundance is affected by sheep farming in the Karoo. African Journal of Range & Forage Science 35(3-4):319-324. https://doi.org/10.2989/10220119.2018.1522514. [ Links ]
Laurie H. 2002. Optimal transport in central place foraging, with an application to the overdispersion of heuweltjies. South African Journal of Science 98:141-146. [ Links ]
Milton SJ, Dean WRJ. 1990. Mima-like mounds in the southern and western Cape: are the origins so mysterious. South African Journal of Science 86:207-208. [ Links ]
Milton SJ, Dean WRJ. 1996. Rates of wood and dung disintegration in arid South African rangelands. African Journal of Range & Forage Science 13(3):89-93. https://doi.org/10.1080/10220119.1996.9647904. [ Links ]
Milton SJ, Dean WRJ, Kerley GIH. 1992. Tierberg Karoo Research Centre: history, physical environment, flora and fauna. Transactions of the Royal Society of South Africa 48(1):15-46. https://doi.org/10.1080/00359199209520254. [ Links ]
Pekár S, Petráková Dusátková L, Michálek O, Haddad CR. 2020. Coexistence of two termite-eating specialists (Araneae). Ecological Entomology 45(6):1307-1317. https://doi.org/10.1111/een.12914. [ Links ]
Petrakova L, Liznarova E, Pekar S, Haddad CR, Sentenska L, Symondson WO. 2015. Discovery of a monophagous true predator, a specialist termite-eating spider (Araneae: Ammoxenidae). Scientific Reports 5(1):e14013. https://doi.org/10.1038/srep14013. [ Links ]
Southwood TRE. 1978. Ecological Methods with particular Reference to the Study of Insect Populations. Chapman and Hall, London.
Uys V. 2002. A Guide to the Termite Genera of Southern Africa. ARC-Plant Protection Research Institute, Pretoria.
Van den Berg A, Dippenaar-Schoeman AS. 1991. Ground-living spiders from an area where the harvester termite Hodotermes mossambicus occurs in South Africa. Phytophylactica 23:247-253. [ Links ]
Wilson DS, Clark AB. 1977. Above ground predator defence in the harvester termite, Hodotermes mossambicus (Hagen). Journal of the Entomological Society of South Africa 40:271-282. [ Links ]
Correspondence:
Joh R. Henschel
Email:joh.henschel@gmail.com
Received: 8 May 2023
Accepted: 20 September 2023
† Deceased











