Services on Demand
Journal
Article
Indicators
Related links
-
Cited by Google -
Similars in Google
Share
South African Journal of Enology and Viticulture
On-line version ISSN 2224-7904Print version ISSN 0253-939X
S. Afr. J. Enol. Vitic. vol.46 n.1 Stellenbosch 2025
https://doi.org/10.21548/46-1-6624
ARTICLES
Changes in Physicochemical Properties and Enzyme Activities of Four Soils Following the Application of Alkaline Winery Wastewater over Three Simulated Irrigation Seasons
L. MabongoI, II, ; W. GestringI; C.L. HowellII; D.E. ElephantI, III
IDepartment of Crop Science, School of Agricultural Sciences, Faculty of Natural and Agricultural Sciences, North-West University, Private Bag x2046, Mmabatho 2735, South Africa
IIARC Infruitec-Nietvoorbij, Private Bag X5026, Stellenbosch 7599, South Africa
IIIDepartment of Agronomy, University of Fort Hare, Private Bag X1314, Alice 5700, South Africa
ABSTRACT
The in-field fractional use (augmentation) of undiluted alkaline winery wastewater (WW) with raw water for the irrigation of grapevines can reduce the abstraction of water from natural resources and mitigate global water shortages. However, undiluted WW could pose a threat to soil function and enzyme activities, which are early soil quality indicators. Hence, this study used a pot experiment to compare changes in physicochemical properties and enzyme activities of four different soils irrigated with undiluted WW and municipal water (MW) over three simulated irrigation seasons. The soils were collected from the top 0 cm to 30 cm soil layer to which no WW had previously been applied - in the Stellenbosch (sandy loam and sand), Robertson (clay loam) and Lutzville (sand) regions. The water sources were MW, which served as the control, and undiluted WW, and they were both analysed before each irrigation event. Irrigation with undiluted WW resulted in larger increases in soil pH, electrical conductivity (EC) and exchangeable K and Na for all soils and simulated irrigation seasons. The activities of acid phosphatase, β-glucosidase and urease were negatively affected by the addition of undiluted WW. Changes in acid phosphatase activity were negatively correlated with changes in soil pH and EC, while changes in β-glucosidase activity were negatively correlated with changes in soil pH, EC and exchangeable K, Na and Mg. The pH had a dominant effect because of its influence on enzyme activities, precipitation reactions and the development of saline-sodic soils. Root exudates, acidification from nitrogen fertiliser and the uptake of K by crops can mitigate the potential risk of using undiluted alkaline wastewater.
Key words: undiluted winery wastewater; water quality; urease; phosphatase; ß-glucosidase
INTRODUCTION
Irrigating crops with large volumes of low-quality wastewater generated from various agricultural industries can reduce the abstraction of water from natural resources and mitigate global water shortages, which are expected to become severe over the coming years (Howell et al., 2018; Pörtner et al., 2022; Vlotman et al., 2022). Water shortages have also recently been experienced in the Western Cape province, a wine-producing region in South Africa, and measures are needed to mitigate these shortages when they occur again in the future. Supplementing vineyard irrigation with the large volumes of low-quality winery wastewater (WW) produced by the wineries - up to 6 million m3 during vintage - will reduce pressure on natural water resources (Vlotman et al., 2022). The benefits of WW being an additional water source, supply of organic matter (OM) and a source of nutrients, is often counteracted by the salinity and sodicity risks; high chemical oxygen demand (COD); and eutrophication hazard from the leaching of nitrates and phosphates (Bond 1998; Papini, 2000; Myburgh & Howell, 2014; Howell et al., 2016; Howell et al., 2018).
The WW is often diluted to targeted COD levels for the irrigation of vineyards and also to reduce the eutrophication hazard and salinity-sodicity risks (Mulidzi et al., 2015; Mulidzi & Wooldridge, 2016; Howell et al., 2018). However, the dilution of WW to a targeted parameter to use for irrigation is impractical, because it is difficult to continuously monitor WW quality and adjust the volumes of raw and wastewater to achieve the required level of dilution. A more practical approach would be to use the in-field fractional use (augmentation) of WW with raw water for irrigation (Howell et al., 2022). According to this approach, grapevines are irrigated as follows: for each irrigation, a certain percentage of the irrigation requirement is applied as undiluted WW. Raw water is then applied for the other part of the irrigation requirement. The risks associated with this approach need to be assessed under a controlled environment, with repeated applications, and using sensitive indicators.
Enzymes are rapid indicators of the changes in soil quality that could be brought about by undiluted WW (Adetunji et al., 2017). They are also preferred, because they are related to important soil quality parameters such as soil organic matter, soil physicochemical properties, microbial activity and biomass (Alkorta et al., 2003). In this way they are an integrated soil quality indicator and reflect the impact of amendments and management practices on soil biology (Ghosh et al., 2020). Despite the conflicting literature on the effects of environmental factors on enzyme activities, they play a crucial role in nutrient cycling, particularly β-glucosidase, phosphatase and urease, which are involved in carbon, phosphorus and nitrogen cycling, respectively (Xing et al., 2020). A decrease in the activity of these enzymes indicates low cycling of these nutrients from soil organic matter (Alkorta et al., 2003). A previous study reported an increase in β-glucosidase, phosphatase and urease activities following the application of diluted WW (Mulidzi & Wooldridge, 2016). However, the interaction between soil chemical properties and enzyme activities, which would give a broad understanding of the effects of WW, was not considered. This limits the prediction of what would happen with the in-field augmentation of undiluted alkaline WW or, any wastewater with varying water quality. Hence, the aim of this study was to evaluate the effects of undiluted alkaline WW on selected chemical properties and enzyme activities. The effect of irrigation with undiluted WW and municipal water (MW) on the changes in soil pH, EC, exchangeable cations and enzyme activities of four different soils were compared in a pot experiment over three simulated irrigation seasons. In addition, the relationship between changes in soil chemical properties and enzyme activities were explored.
MATERIALS AND METHODS
Experimental study and design
The study was conducted as a pot study at ARC Infruitec-Nietvoorbij with an experimental design of 4 x 2 x 3 factorial experiment fitted in a randomised complete block design (RCBD). The first factor was soil, where four soils that differed in their physicochemical parameters were used. The second factor was the irrigation water source, where two water sources were used. The third factor was the simulated irrigation season, which had three levels, namely season 1, season 2 and season 3. A season consisted of six irrigations. This resulted in 24 treatments that were replicated four times, and each treatment was randomly assigned within each replicate. Three pots were fitted within each treatment for destructive soil sampling after each irrigation season.
Soil selection, collection and preparation for pot trial
The four different soils used for this study were collected from the grape-growing regions in the Western Cape province. The soils were collected at selected sites near Stellenbosch (two soils), Robertson (one soil) and Lutzville (one soil) where no WW had previously been applied. The soils differed in their physicochemical properties, particularly clay contents, OM and pH (Table 1). Soils are herein named after the location from where they were collected and their texture, i.e. Stellenbosch sandy loam (SSL), Stellenbosch sand (SS), Robertson clay loam (RCL) and Lutzville sand (LS).
Soil samples were collected from the top 0 cm to 30 cm soil layer at each site and placed in plastic bags for transport and storage. Each composite sample consisted of seven sampling points for each soil. The soils were sieved using a 6 mm mesh sieve to remove large fragments of OM and stone fractions. The soils were put in pots with a diameter of 15.2 cm and a height of 20 cm after they had been sieved. The pot experiment was carried out under a fiberglass rain shelter at ARC Infruitec-Nietvoorbij. The soils were also sent to a commercial laboratory for determination of the initial basic physicochemical properties (Table 1).
Collection and characterisation of irrigation water
The two water sources used for this experiment were MW, which served as the control, and undiluted WW. The MW used for the control treatments was obtained from the tap at the lysimeter facility at ARC Infruitec-Nietvoorbij. The undiluted WW was collected from a winery near Stellenbosch and was stored in a 2 500 L plastic tank adjacent to the lysimeter facility. Samples of both water sources were collected for each irrigation event and analysed for N, P, K, Ca, Mg, Na, SO42-, HCO3-, Cl-, F-, Mn, Zn, Fe, Cu, B, pH, EC and COD by a commercial laboratory. The composition of each water source varied widely (Table 2), and the pH of undiluted WW was consistently alkaline. Although both water sources differed in their composition, they both had low concentrations of heavy metals, indicating low pollution risk.
Irrigation
The simulated irrigation season consisted of six irrigations, which, according to Myburgh (2013), is the number of irrigations a vineyard would require during the harvest period. Therefore, a total of 18 irrigations were applied over the three irrigation seasons. Irrigation of the pots started at the end of May 2020 and ended in February 2021. Soils were irrigated to field capacity (FC) with either MW or WW, using pumps by which water was distributed using a network of pipes and applied evenly to each pot using a 2 L/h pressure-compensating button dripper. The weight of the pot was recorded prior to filling it with the soil. The weight of the pot with the soil at FC (WMfc) was calculated using the formulae described by Mulidzi (2016). Pots were irrigated when the soil moisture content of the four representative pots per soil/water treatment dropped to 50% FC. The pots were weighed every two days using an electronic balance until 50% FC was reached for irrigation. This intermediate depletion level was designed to ensure sufficient soil aeration between irrigations. This aeration was considered crucial because of the high COD of the WW (Table 2), and could lower the chance of anaerobic conditions developing (Howell & Myburgh, 2018). The braces bearing the micro-tubes were removed before weighing these pots. When pots were removed for soil chemical analysis at the end of each simulated irrigation season, their irrigation water was stored and discarded in 500 mL glass beakers. The same irrigation system flow rate was maintained throughout the experiment. An example of the progression of the soil water content of the Lutzville soil is given in Fig. 1. The cumulative rate of element application in kg/ha for season 1 to season 3 is presented in Table 3.
The data includes maximum and minimum temperatures and daily maximum and minimum relative humidity for each month from May 2020 to February 2021 (Table 4). Generally, the 2020/2021 season showed slight variations from the long-term mean (LTM) across most parameters. Maximum temperatures in the 2020/2021 season were marginally higher in some months (May, June and July), and lower in others (such as August and September) than the LTM. Minimum temperatures followed a similar pattern, with some months showing slightly lower values in 2020/2021 compared to the LTM. Maximum relative humidity from May 2020 to February 2021 were similar to the LTM values, with only minor fluctuations. Notably, there were significant drops in minimum relative humidity for October and February in the 2020/21 season compared to LTM.
End of simulated season soil sampling and analyses
Following each simulated irrigation season, a pot for each treatment within each replicate was destructively sampled.
Soil samples were collected from the 0 cm to 18 cm layer in the pots of all the replications. Cored (1.5 cm diameter) was used as a sampling technique. Soil samples were air-dried and passed through a 2 mm mesh sieve. All soil chemical analyses were carried out by a commercial laboratory (Labserve Mycro, Stellenbosch). Triplicate samples were collected from the composited soils. Soil pH was measured in KCl extract (Thomas, 1996), and soil ECe in water (Longenecker & Lyerly, 1964). The Ca, Mg, K and Na were extracted with 1 M ammonium acetate buffered at pH 7 (AgriLASA, 2004), and their concentrations in the extract were determined by inductively coupled plasma optical emission spectrometry (ICP-OES, PerkinElmer Optima 7300 DV, Waltham, MA). The S-value obtained by summing the extractable cations was used to estimate cation exchange capacity (CEC), mainly because the process of determining CEC is tedious (Conradie, 1994; Mulidzi, 2016). Given the above-mentioned, the exchangeable potassium percentage (EPP) and exchangeable sodium percentage (ESP) of the soil could not be calculated. However, the extractable potassium percentage (ExPP) was calculated as the ratio of extractable potassium over CEC, multiplied by 100. Similarly, the extractable sodium percentage (ExSP) was calculated as the ratio of extractable sodium over CEC, multiplied by 100. The designation ExPP includes both the adsorbed K and K in solution; therefore, it should not be confused with EPP. Similarly, the designation ExSP includes both the adsorbed Na+ and Na+ in solution; it therefore should not be confused with ESP.
Soil enzyme analysis was performed at the Soil Microbiology Laboratory of the ARC Infruitec-Nietvoorbij for the three soil enzymes of interest. β-glucosidase was measured by a simple assay performed in the laboratory according to the Eivazi and Tabatabai (1988) process. Phosphatase was analysed by the procedure used by Icoz and Stotzky (2008). Urease activity (EC 3.5.1.5) was analysed by a 2 h incubation of a reaction mixture of 5.0 g of the field-moist soils and 2.5 mL of 80 mM urea solution at 37°C (Kandeler & Gerber, 1988).
Statistical analyses
Changes in soil physicochemical properties and enzyme activities were computed to standardise the data and allow comparisons between soils. This was achieved by subtracting initial values from those measured after each simulated irrigation season. The data was subjected to analyses of variance (ANOVA) using jamovi (jamovi version 2.3, 2023), and Tukey's HSD was calculated at the 5% level to compare treatment means. Box plots were then plotted to visualise the variations in the changes of soil physicochemical properties and enzyme activities. A correlation matrix was also computed using jamovi (The jamovi project, 2023).
RESULTS AND DISCUSSION
Soil pH and electrical conductivity
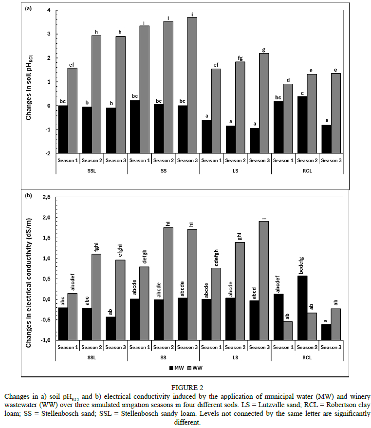
Changes in soil pH(KCl) induced by the application of WW were large, ranging between 0.63 and 3.95, compared to -1.03 and 0.44 induced by MW (Fig. 2a). Changes in soil pH induced by the application of MW were not different among the seasons for all soils. However, changes in soil pH induced by the application of WW increased from season 1 to season 2, and then plateaued for all soils except SS. The changes in soil pH induced by the different water sources and in different seasons reflect the accumulation of bicarbonates, which are known to increase soil pH (Laurenson et al., 2012; Mulidzi et al., 2015; Howell & Myburgh, 2018; Howell et al., 2018). Undiluted WW had higher bicarbonates compared to MW, and increased with increasing seasons (Table 4). In terms of soils, changes in soil pH induced by the application of MW were not different between the soils, except for LS, which had lower changes in soil pH. In contrast, changes in soil pH induced by the application of WW were higher in SS, followed by SSL and LS, and then lower in RCL. This is probably caused by the initial soil pH and pH-buffering capacity. The RCL has high clay and CEC, which cause high pH-buffering capacity, and is the reason for small changes in soil pH values and low variability. In addition, both RCL and LS had high initial soil pH values and both had low changes in soil pH. The SS, on the other hand, had the lowest CEC, which is indicative of low buffering capacity.
The soil pH of WW-irrigated soils ranged from 7.5 in season 1 for the Stellenbosch sandy loam soil to 10.1 in season 3 for Lutzville sand, and most of the values were above 8.0. These high pH values have implications for nutrient availability, microbial activity and soil structural stability. The pH value of 8.0 favours the precipitation of Ca and Mg carbonates (Laurenson et al., 2012). The moderate correlation between changes in soil pH and exchangeable Ca, and the lack of correlation between changes in soil pH and exchangeable Mg could be highlighting a reduction in exchangeable Ca and Mg arising from the precipitation of carbonates. This is concerning, because these high pH values also favour the development of saline-sodic soils, which, when coupled with the increasing ExSP and ExPP (see section below), can increase the risk of clay dispersion. Lastly, alkaline pH is also expected to favour soil biological properties (Deru et al., 2021), which could promote organic carbon and nutrient cycling.
Higher changes in soil ECe were induced by WW compared to WW in season 2 and 3 for SSL, SS and LS (Fig. 2b). Changes in soil EC induced by WW ranged between 0.86 and 2.65 dS/m compared to -1.09 and 1.09 dS/m induced by MW. Changes in soil ECe induced by WW were larger in season 2 compared to season 1. In contrast, changes in soil ECe induced by MW were not different among the seasons and the soils. Changes in soil ECe induced by WW were larger in SS and LS and lower in RCL. Changes in soil ECe were influenced by initial soil EC values and reflect the accumulation of salts from the application of undiluted WW over three simulated irrigation seasons. The consequence of the accumulation of salts is twofold. On the one hand, high soil ECe may mitigate the negative impact of Na on soil structure (Laurenson et al., 2012), while on the other hand, high soil EC can have a negative effect on crop productivity. The soil ECe values in season 2 and season 3 of the undiluted WW exceeded the threshold value of 1.5 dS/m in vine-growing soils and may negatively influence their growth (Petousi et al., 2019; Suarez et al., 2019). Furthermore, a high soil ECe value of 0.88 dS/m of WW has been reported to inhibit the germination of lucerne, millet and phalaris seeds (Mosse et al., 2010). This is probably the most limiting aspect of WW, particularly with the uncertain future climate and the expected droughts (Howell et al., 2018; Pörtner et al., 2022; Vlotman et al., 2022). With these anticipated droughts, the rainfall that could help leach salts will be limiting, and irrigation water will also be limiting.
Soil extractable calcium, magnesium, potassium and sodium
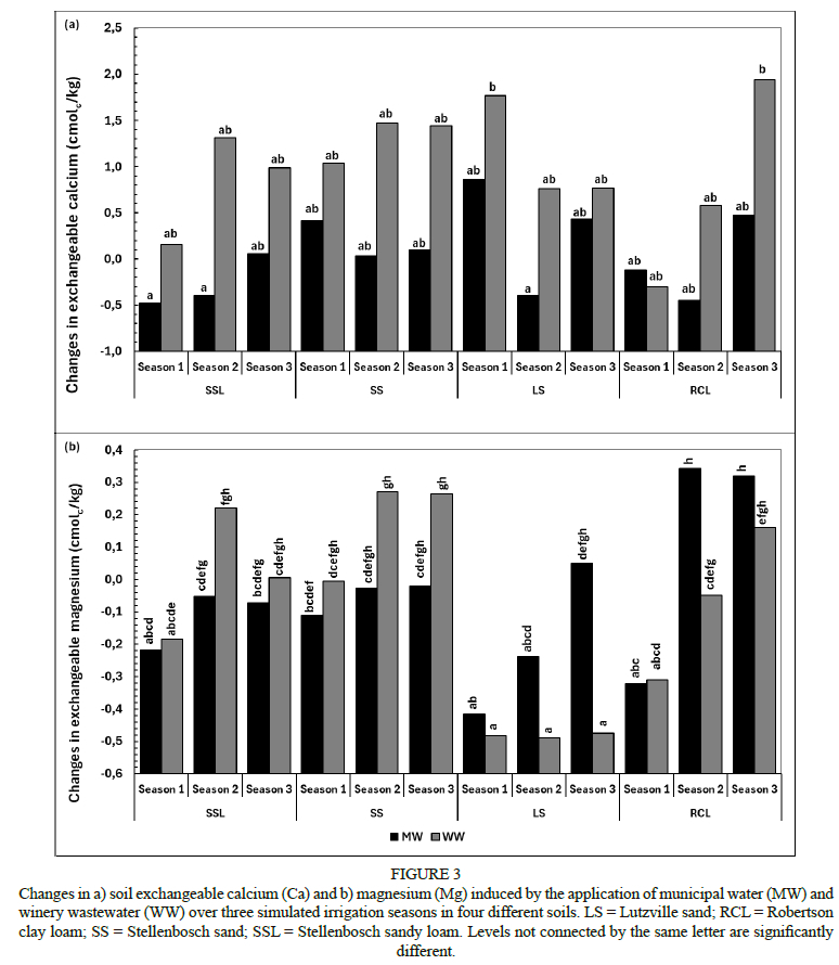
Changes in exchangeable Ca were not different between the water sources, the seasons or the soils (Fig. 3a). The lack of response could indicate that the changes in exchangeable Ca were not influenced by initial soil properties, such as texture, soil pH, exchangeable Ca or CEC, and that Ca did not accumulate with repeated application. The lack of accumulation of Ca could be attributed to the formation of Ca hydroxides and carbonates at the elevated soil pH measured in this study (Laurenson et al., 2012). These results are worrisome because Ca as a divalent cation has high flocculating capacity which could improve soil structure and water infiltration (Rengasamy & Marchuk, 2011). Similar results notably have been reported by Mulidzi et al. (2015) despite using acidic WW in a pot study, and this was attributed to the formation of Ca carbonates with increasing soil pH.
As in the case of the soil Ca, changes in exchangeable Mg induced by MW and WW were not different (Fig. 3b). There also was a lack of seasonal response. There was a general decrease in exchangeable Mg where MW and WW had been applied. The changes in exchangeable Mg are confounding and difficult to explain, particularly since WW had larger concentrations of Mg compared to MW, and yet the effect of water source was not significant. In addition, there is seasonal accumulation of Mg despite the lack of significant response to the water source. The only clear distinction relates to the soil response, where exchangeable Mg decreased in LS, which was characterised by initially high Mg saturation (24%) and soil pH. These conditions are favourable for the precipitation of carbonates.
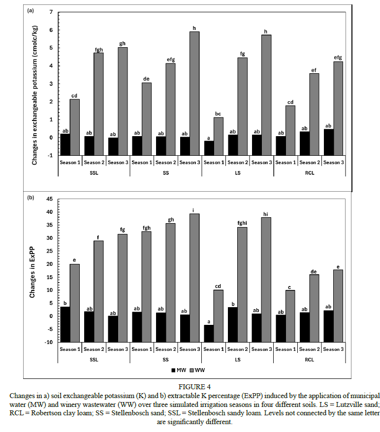
Changes in exchangeable K induced by the application of MW were not different across seasons and soils (Fig. 4a). Changes in exchangeable K induced by the application of WW were larger than those induced by MW across all seasons and soils. Changes in exchangeable K induced by the application of WW ranged between 0.89 and 6.90 cmolc/kg compared to 0.25 and 0.80 cmolc/kg induced by the MW. Changes in exchangeable K induced by the application of WW increased from season 1 through to season 3 for all soils. Changes in exchangeable K reflect the accumulation of K from the application of undiluted WW over the three simulated irrigation seasons. The observed results were expected, given the high K in the WW and weak interaction of K with the anions that are dominant at high soil pH. Similar results were reported in a pot study with four soils of varying texture, and a linear relationship was observed between exchangeable K and the cumulative applied K through the diluted WW (Mulidzi et al, 2015).
Changes in exchangeable K induced by the application of WW were larger in LS, SS and SSL and lower in RCL. Similar trends were observed for ExPP (Fig. 4b). The changes in both exchangeable K and ExPP seem to be influenced by CEC, and consequently K-buffering capacity. In this instance, RCL has high K-buffering capacity followed by SSL. High K-buffering capacity is important in regulating exchangeable K (Elephant et al., 2019) and might mitigate the negative effects of high K inputs from undiluted WW, which are associated with increased K uptake. This reduces grape juice quality and leads to deterioration of the soil structure (Kodur, 2011; Rengasamy & Marchuk, 2011; Hirzel et al, 2017). Soils thus are crucial when devising a strategy for handling undiluted WW. However, in the current study, ExPP increased and exceeded the threshold of 15, at which the deterioration of the soil structure begins (Levy & Torrento, 1995; Mulidzi et al, 2019).
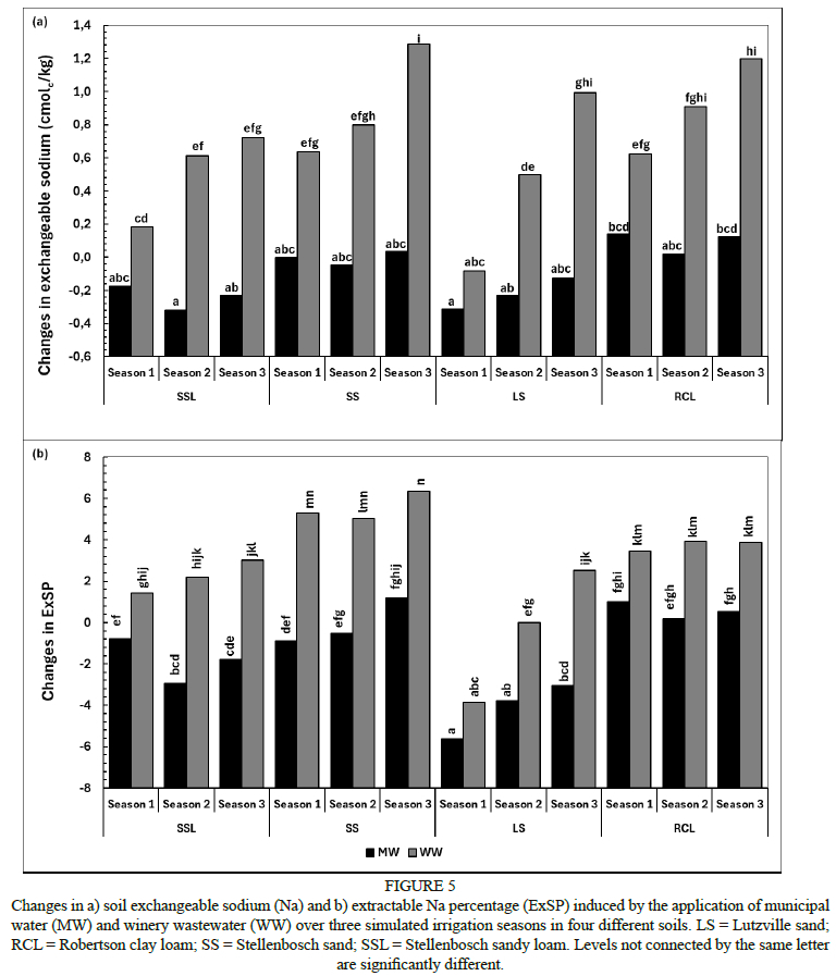
Changes in exchangeable Na induced by the application of MW were not different across seasons and soils (Fig. 5a). Changes in exchangeable Na and ExSP induced by the application of WW were larger than those induced by MW across all seasons and soils (Fig. 5a and 5b). Changes in exchangeable Na induced by the application of ranged between -0.14 and 1.56 cmolc/kg compared to -0.36 and 0.27 cmolc/kg induced by MW. Changes in exchangeable Na induced by the application of WW increased from season 1 through to season 3 for all soils. Similar to K, the larger changes in exchangeable Na were likely caused by high Na in the WW and the lack of precipitation of Na, with anions dominant at high pH. In a previous study of a pot trial with four soils of varying texture and in which WW diluted to 3 000 mg/L COD was used for irrigation, Mulidzi et al. (2015) reported a linear relationship between exchangeable Na and the cumulative applied Na through the diluted WW. Changes in exchangeable Na and ExSP induced by the application of WW were larger in RCL and lower in LS and SSL. The results reflect the adsorption of Na on exchange sites by soils with a high clay content. Similar results were reported by Mulidzi et al. (2015), who found the ratio of extractable to applied Na to increase with increasing clay content. These results are concerning, because high exchangeable Na is known to cause sodic soils, which disperse clay particles and result in the deterioration of soil structure. The high pH measured in the current study is conducive to the development of sodic soils (Qadir et al., 2007). Nonetheless, exchangeable Na did not reach detrimental levels by the termination of the study, and the highest ExSP values in WW-irrigated LS, RCL, SS and SSL were 11.3, 6.6, 10.7 and 8.6, respectively. These values are all below the critical threshold of 15% (Laker, 2004; Qadir et al, 2007; Seilsepour et al, 2009).
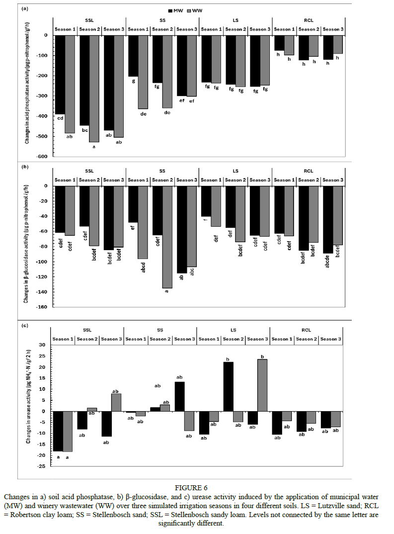
Soil β-glucosidase, acid phosphatase and urease activity
The activities of acid phosphatase, β-glucosidase and urease enzymes decreased from the initial values, as observed by negative values for changes in their activities (Fig. 6). This may be associated with the equilibration of the enzymes after the soils were collected, dried and prepared for the pot experiment (Mulidzi & Wooldridge, 2016; Rao et al., 2003). In this instance, the more negative the value of changes in enzyme activity, the larger the deviation from the initial values.
Decreases in acid phosphatase activity induced by the application of WW were larger than those induced by MW for all season of SSL and SS (Fig. 6a). In terms of seasons, decreases in acid phosphatase activity were larger in season 3 for both water sources, but only for SSL and SS. The decrease in acid phosphatase where undiluted WW was used might be caused by increasing pH and EC from WW, even though the correlations were weak (Table 4). However, the effects are also linked to soils, because differences between water source and seasons were only observed on SSL and SS. Furthermore, decreases in acid phosphatase activity were larger in SSL, followed by SS, LS, and RCL. The initial soil pH of SSL and SS was lower and greatly affected by the addition of WW compared to LS and RCL, which had alkaline soil pH initially. The soils with initial alkaline pH, namely RCL and LS, had lower changes in acid phosphatase activity. Furthermore, changes in acid phosphatase were smaller in RCL, which initially had higher EC, and showed no changes in EC after the application of undiluted WW. These results highlight the negative impact that the high pH and EC of undiluted WW may have on acid phosphatase activity and, consequently, on phosphorus cycling.
Decreases in β-glucosidase activity induced by the application of WW were larger than those induced by MW for season 1 and season 2 in SS only (Fig. 6b). In terms of seasons, decreases in β-glucosidase activity were larger in season 3 for both water sources, but only for SS. Decreases in β-glucosidase were larger in SS, followed by RCL, SSL and LS. The decrease in β-glucosidase activity where undiluted WW was used might be caused by the increased soil pH and EC from WW, even though the negative correlations were weak (Table 4). This relationship has been observed in other studies (Rietz & Haynes, 2003; Wang & Lu, 2006). Unexpectedly, there was also a negative correlation between changes in β-glucosidase activity and changes in exchangeable Mg, K and Na (Table 5). Although this is uncommon, it is possible that β-glucosidase activity is linked to soil structural changes. This might be supported by the negative correlation between β-glucosidase activity and sodicity (Rietz & Haynes, 2003), which causes the deterioration of soil structure, and a positive correlation between β-glucosidase activity and organic matter (Wang & Lu, 2006), which improves soil structure. Deteriorating soil structure may be unfavourable to soil organisms and consequently have a negative effect on β-glucosidase activity.
Changes in urease activity induced by MW and WW were similar across the seasons and soils (Fig. 6c). Changes in urease activity were only positively correlated with changes in soil ECe (Table 5). The relationship between urease activity and soil physicochemical properties remains unclear. Several studies have reported a positive correlation between urease and activity and organic carbon and total nitrogen (Guangming et al., 2017; Xie et al., 2017; Sudhakara et al., 2019). However, in relation to soil pH and EC, contradicting results have been reported. Both a negative correlation (Guangming et al., 2017; Xie et al., 2017) and no correlations (Pan et al., 2013; Sritongon et al., 2022) between urease activity and both soil pH and EC have been reported. In some studies, urease activity was negatively correlated with soil pH, but positively with soil EC (Antil et al., 1992; Medina et al., 2012). More studies investigating the interaction of undiluted alkaline WW are needed to further understand the relationship between urease activity and soil pH and EC, and to indicate the influence of WW on nitrogen cycling.
Principal component analysis
Principal component analysis revealed that the changes in soil physicochemical and enzyme activities measured after irrigation with MW and undiluted WW in three simulated irrigation seasons of four soils accounted for 62.5% variation from Dim1 (49.5%) and Dim2 (13.0%) (Fig. 6). Principal component 1 (Dim1) was positively correlated with soil pH, EC, exchangeable K, Na, Ca, Mg, ExPP and ExSP, and negatively correlated with acid phosphate and β-glucosidase activity. Principal component 2 (Dim2), on the other hand, was positively correlated with β-glucosidase activity, urease activity, EC and ExPP, and negatively correlated with ExSP and exchangeable Mg. The MW cluster was smaller than the WW cluster, indicating that changes in soil physicochemical and enzyme activities varied widely with the application of WW (Fig. 7a). The changes in soil pH, EC, exchangeable K, Na, Ca, Mg, ExPP, ExSP and urease activity were largely influenced by undiluted WW. The season 1 cluster was smaller than the season 3 cluster, which corresponds to a wider variation in the changes in soil physicochemical and enzyme activities (Fig. 7b). The changes in soil pH, ECe, exchangeable K, Na, Ca, Mg, ExPP, ExSP and urease activity were larger in season 1 and season 2. Similarly, the SSL cluster was smaller, followed by RCL and SS, and the largest cluster was observed for LS (Fig. 7c).
CONCLUSIONS
The overarching results of using undiluted alkaline WW for irrigating soils in a pot study were the increasing soil pH(KCl), ECe, exchangeable K and Na, and a negative effect on acid phosphatase and β-glucosidase activity. The pH had a dominant effect because of its influence on enzyme activities, precipitation reactions, and the development of saline-sodic soils. The risks associated with soil pH and high exchangeable K may be mitigated in the field, where there would be acidification from nitrogen fertiliser and root exudates, and from the uptake of K by crops. Furthermore, root exudates may counteract the negative effects of high pH and EC on acid phosphatase and β-glucosidase activity. It is recommended that this experiment is repeated using lysimeters with an indicator crop to better simulate field conditions and risks associated with undiluted alkaline WW. Furthermore, using lysimeters with an indicator crop would allow for the collection of the leachate. The lysimeter study could also assess the impact of irrigating with undiluted alkaline WW on plant growth. This approach would also provide a more realistic assessment of the long-term impacts of undiluted WW irrigation on soil quality, and the reliability of enzyme activities as indicators in this specific context.
LITERATURE CITED
Adetunji, A.T., Lewu, F.B., Mulidzi, R. & Ncube, B., 2017. The biological activities of β glucosidase, phosphatase and urease as soil quality indicators: A review. J. Soil Sci. Plant Nutr. 17(3), 794-807. http://dx.doi.org/10.4067/S0718-95162017000300018 [ Links ]
Agri Laboratory Association of Southern Africa (AgriLASA), 2004. Soil handbook. [ Links ]
Alkorta, I., Aizpurua, A., Riga, P., Albizu, I., Amézaga, I. & Garbisu, C., 2003. Soil enzyme activities as biological indicators of soil health. Rev. Environ. Health 18, 65-73. [ Links ]
Antil, R.S., Narwal, R.P. & Gupta, A.P., 1992. Urease activity and urea hydrolysis in soils treated with sewage. Ecol. Eng. 1(3), 229-237. https://doi.org/10.1016/0925-8574(92)90004-L [ Links ]
Bond, W.J., 1998. Effluent irrigation - An environmental challenge for soil science. Soil Res. 36, 543-556. https://doi.org/10.1071/S98017 [ Links ]
Conradie, W.J., 1994. Vineyard fertilisation. In: Proceedings of workshop on vineyard fertilization, September 1994. Nietvoorbij, 30. [ Links ]
Deru, J.G., Hoekstra, N., Van Agtmaal, M., Bloem, J., De Goede, R., Brussaard, L. & Van Eekeren, N., 2021. Effects of Ca:Mg ratio and pH on soil chemical, physical and microbiological properties and grass N yield in drained peat soil. New Zeal. J. Agr. Res. 66, 1-22. https://doi.org/10.1080/00288233.2021.1990087 [ Links ]
Eivazi, F. & Tabatabai, M.A., 1988. Glucosidases and galactosidases in soils. Soil Biol. Biochem. 20, 601-606. https://doi.org/10.1016/0038-0717(88)90141-1 [ Links ]
Elephant, D.E., Miles, N. & Muchaonyerwa, P., 2019. Accounting for potassium reserves and fixation in developing sugarcane fertiliser requirements. Soil Res. 57, 66-74. https://doi.org/10.1071/SR17300 [ Links ]
Ghosh, A., Singh, A.B., Kumar, R.V., Manna, M.C., Bhattacharyya, R., Rahman, M.M., Sharma, P., Rajput, P.S. & Misra, S., 2020. Soil enzymes and microbial elemental stoichiometry as bio-indicators of soil quality in diverse cropping systems and nutrient management practices of Indian Vertisols. Appl. Soil Ecol., 145, 103304. https://doi.org/10.1016/j.apsoil.2019.06.007 [ Links ]
Guangming, L., Xuechen, Z., Xiuping, W., Hongbo, S., Jingsong, Y. & Xiangping, W., 2017. Soil enzymes as indicators of saline soil fertility under various soil amendments. Agr. Ecosyst. Environ. 237, 274-279. https://doi.org/10.1016/j.agee.2017.01.004 [ Links ]
Hirzel, D.R., Steenwerth, K., Parikh, S.J. & Oberholster, A., 2017. Impact of winery wastewater irrigation on soil, grape and wine composition. Agr. Water Manag. 180, 178-189. https://doi.org/10.1016/j.agwat.2016.10.019 [ Links ]
Howell, C.L. & Myburgh, P.A., 2018. Management of winery wastewater by re-using it for crop irrigation - A review. S. Afr. J. Enol. Vitic. 39, 116-131. http://dx.doi.org/10.21548/39-1-2475 [ Links ]
Howell, C.L., Myburgh, P.A. & Hoogendijk, K., 2022. Use of winery wastewater as a resource for irrigation of vineyards in different environments. WRC Report No. 2651/1/22. [ Links ]
Howell, C.L., Myburgh, P.A., Lategan, E.L. & Hoffman, J.E., 2016. Seasonal variation in composition of winery wastewater in the Breede River Valley with respect to classical water quality parameters. S. Afr. J. Enol. Vitic. 37, 31 38. [ Links ]
Howell, C.L., Myburgh, P.A., Lategan, E.L. & Hoffman, J.E., 2018. Effect of irrigation using diluted winery wastewater on the chemical status of a sandy alluvial soil, with particular reference to potassium and sodium. S. Afr. J. Enol. Vitic. 39, 1-13. http://dx.doi.org/10.21548/39-2-3171 [ Links ]
Icoz, I. & Stotzky, G., 2008. Fate and effects of insect-resistant Bt crops in soil ecosystems. Soil Biol. Biochem. 40, 559-586. https://doi.org/10.1016/j.soilbio.2007.11.002 [ Links ]
Kandeler, E. & Gerber, H., 1988. Short-term assay of soil urease activity using colorimetric determination of ammonium. Biol. Fertil. Soils 6, 68-72. https://doi.org/10.1007/BF00257924 [ Links ]
Kodur, S., 2011. Effects ofjuice pH and potassium on juice and wine quality, and regulation of potassium in grapevines through rootstocks (Vitis): A short review. Vitis: J. Grapevine Res. 50, 1-6. [ Links ]
Laker, M.C., 2004. Advances in soil erosion, soil conservation, land suitability evaluation and land use planning research in South Africa, 1978-2003. S. Afr. J. Plant Soil 21, 345-368. https://doi.org/10.1080/02571862.2004.10635069 [ Links ]
Laurenson, S., Bolan, N.S., Smith, E. & McCarthy, M., 2012. Use of recycled wastewater for irrigating grapevines. Aust. J. Grape Wine Res. 18, 1-10. https://doi.org/10.1111/j.1755-0238.2011.00170.x [ Links ]
Levy, G.J. & Torrento, J.R., 1995. Clay dispersion and macroaggregate stability as affected by exchangeable potassium and sodium. Soil Sci. 160, 352-358. https://doi.org/10.1097/00010694-199511000-00004 [ Links ]
Longenecker, D.E. & Lyerly, P.J., 1964. Making soil pastes for salinity analysis: A reproducible capillary procedure. Soil Sci. 97, 268-275. https://doi.org/10.1097/00010694-196404000-00008 [ Links ]
Medina, E., Paredes, C., Bustamante, M.A., Moral, R. & Moreno-Caselles, J., 2012. Relationships between soil physico-chemical, chemical and biological properties in a soil amended with spent mushroom substrate. Geoderma 173-174, 152-161. https://doi.org/10.1016/j.geoderma.2011.12.011 [ Links ]
Mosse, K.P., Patti, A.F., Christen, E.W. & Cavagnaro, T.R., 2010. Winery wastewater inhibits seed germination and vegetative growth of common crop species. J. Hazard. Mater. 180, 63-70. https://doi.org/10.1016/j.jhazmat.2010.02.069 [ Links ]
Mulidzi, A.R., 2016. The effect of winery wastewater irrigation on the properties of selected soils from the South African wine region. Dissertation, Stellenbosch University, Private Bag X1, 7602 Matieland (Stellenbosch), South Africa. [ Links ]
Mulidzi, A.R. & Wooldridge, J., 2016. Effect of irrigation with diluted winery wastewater on enzyme activity in four Western cape soils. Sustain. Environ. 1, 141. http://dx.doi.org/10.22158/se.v1n2p141 [ Links ]
Mulidzi, A.R., Clarke, C.E. & Myburgh, P.A., 2015. Effect of irrigation with diluted winery wastewater on cations and pH in four differently textured soils. S. Afr. J. Enol. Vitic. 36, 402-412. https://doi.org/10.21548/36-3-973 [ Links ]
Mulidzi, A.R., Clarke, C.E. & Myburgh, P.A., 2019. Response of soil chemical properties to irrigation with winery wastewater on a well-drained sandy soil. S. Afr. J. Enol. Vitic. 40, 1-13. http://dx.doi.org/10.21548/42-2-3403 [ Links ]
Myburgh, P.A., 2013. Effect of shallow tillage and straw mulching on soil water conservation and grapevine response. S. Afr. J. Plant Soil 30, 219-225. https://doi.org/10.1080/02571862.2013.867459 [ Links ]
Myburgh, P.A. & Howell, C.L., 2014. The impact of wastewater irrigation by wineries on soils, crop growth and product quality. WRC Report No. 2651/1/22. [ Links ]
Pan, C., Liu, C., Zhao, H. & Wang, Y., 2013. Changes of soil physico-chemical properties and enzyme activities in relation to grassland salinization. Eur. J. Soil Biol. 55, 13-19. https://doi.org/10.1016/j.ejsobi.2012.09.009 [ Links ]
Papini, A.G., 2000. Land treatment of grape-processing effluents near Robertson, Western Cape. Thesis, University of Cape Town, Cape Town, South Africa. [ Links ]
Petousi, I., Daskalakis, G., Fountoulakis, M.S., Lydakis, D., Fletcher, L., Stentiford, E.I. & Manios, T., 2019. Effects of treated wastewater irrigation on the establishment of young grapevines. Sci. Total Environ. 658, 485-492. https://doi.org/10.1016/j.scitotenv.2018.12.065 [ Links ]
Pörtner, H.O., Roberts, D.C., Adams, H., Adler, C., Aldunce, P., Ali, E., Begum, R.A., Betts, R., Kerr, R.B., Biesbroek, R. & Birkmann, J., 2022. Climate change 2022: Impacts, adaptation and vulnerability. IPCC, Geneva, Switzerland. [ Links ]
Qadir, M., Oster, J.D., Schubert, S., Noble, A.D. & Sahrawat, K.L., 2007. Phytoremediation of sodic and saline-sodic soils. Adv. Agron. 96, 197-247. https://doi.org/10.1016/S0065-2113(07)96006-X [ Links ]
Rao, M.A., Sannino, F., Nocerino, G., Puglisi, E. & Gianfreda, L., 2003. Effect of air-drying treatment on enzymatic activities of soils affected by anthropogenic activities. Biol. Fertil. Soils 38, 327-332. https://doi.org/10.1007/s00374-003-0660-z [ Links ]
Rengasamy, P. & Marchuk, A., 2011. Cation ratio of soil structural stability (CROSS). Soil Res. 49, 280-285. https://doi.org/10.1071/SR10105 [ Links ]
Rietz, D.N. & Haynes, R.J., 2003. Effects of irrigation-induced salinity and sodicity on soil microbial activity. Soil Biol. Biochem. 35, 845-854. https://doi.org/10.1016/S0038-0717(03)00125-1 [ Links ]
Seilsepour, M., Rashidi, M. & Khabbaz, B.G., 2009. Prediction of soil exchangeable sodium percentage based on soil sodium adsorption ratio. Am. J. Agric. Environ. Sci. 5, 1-4. [ Links ]
Sritongon, N., Sarin, P., Theerakulpisut, P. & Riddech, N., 2022. The effect of salinity on soil chemical characteristics, enzyme activity and bacterial community composition in rice rhizospheres in Northeastern Thailand. Scientific Reports 12, 20360. https://doi.org/10.1038/s41598-022-24902-2 [ Links ]
Suarez, D.L., Celis, N., Anderson, R.G. & Sandhu, D., 2019. Grape rootstock response to salinity, water and combined salinity and water stresses. Agron. 9, 321. https://doi.org/10.3390/agronomy9060321 [ Links ]
Sudhakara, S., Ramanathi, M.K., Yarra, C. and Ghosh, P.K., 2019, September. An Improved Goodness of Pronunciation (GoP) Measure for Pronunciation Evaluation with DNN-HMM System Considering HMM Transition Probabilities. In INTERSPEECH (Vol. 2, pp. 954-958). [ Links ]
The jamovi project (2023). jamovi (Version 2.3) [Computer Software]. Retrieved from https://www.jamovi.org [ Links ]
Thomas, G.W., 1996. Soil pH and soil acidity. In: Sparks, D.L., Page, A.L., Helmke, P.A., Loeppert, R.H., Soltanpour, P.N. Tabatabai, M.A., Johnston, C.T. & Sumner, M.E. (eds). Methods of soil analysis: Part 3 chemical methods, 5. SSA Book Series, https://doi.org/10.2136/sssabookser5.3.c16. pp. 475-490. [ Links ]
Vlotman, D.E., Key, D. & Bladergroen, B.J., 2022. Technological advances in winery wastewater treatment: A comprehensive review. S. Afr. J. Enol. Vitic. 43, 58-80. http://dx.doi.org/10.21548/43-1-4931 [ Links ]
Wang, X.-C. & Lu, Q., 2006. Beta-glucosidase activity in paddy soils of the Taihu Lake region, China. Pedosphere 16(1), 118-124. https://doi.org/10.1016/S1002-0160(06)60033-7 [ Links ]
Xie, X., Pu, L., Wang, Q., Zhu, M., Xu, Y. & Zhang, M., 2017. Response of soil physicochemical properties and enzyme activities to long-term reclamation of coastal saline soil, Eastern China. Sci. Total Environ. 607-608, 1419-1427. https://doi.org/10.1016/j.scitotenv.2017.05.185 [ Links ]
Xing, W., Cheng, X., Xiong, J., Yuan, H. & Yu, M., 2020. Variations in soil biological properties in poplar plantations along coastal reclamation stages. Appl. Soil Ecol. 154, 103649. https://doi.org/10.1016/j.apsoil.2020.103649 [ Links ]
Accepted for publication: December 2024
* Corresponding author: mabongol@arc.agric.za
Acknowledgements: This study formed part of Project K5/2561//4, which was initiated, managed and funded by the Water Research Commission (WRC), and co-funded by Winetech and the Agricultural Research Council (ARC). The WRC is thanked for the allocation of the WRC/DST-linked Water RDI Roadmap Bursary funding for 2019 and 2020 for Mr Luvuyo Mabongo to work on the project. We are grateful to the ARC for providing infrastructure and resources. The staff of the Soil and Water Science Division at ARC Infruitec-Nietvoorbij are thanked for their technical assistance












