Services on Demand
Journal
Article
Indicators
Related links
-
Cited by Google -
Similars in Google
Share
Water SA
On-line version ISSN 1816-7950Print version ISSN 0378-4738
Water SA vol.51 n.1 Pretoria Jan. 2025
https://doi.org/10.17159/wsa/2025.v51.i1.4096
RESEARCH PAPER
Temporal trends in fisher catch and effort, and the impact of Covid-19 on inland fisheries: a case study from Gariep Dam, South Africa
PJ SwanepoelI, II, IV; LM BarkhuizenI, III; BR EllenderV; LL van AsI; OLF WeylIV, V, †
IDepartment of Zoology and Entomology, University of the Free State, PO Box 339, Bloemfontein 9300, South Africa
IIFree State Department of Agriculture and Rural Development, Private Bag X01, Glen, Bloemfontein 9360, South Africa
IIIFree State Department of Economic, Small Business Development, Tourism and Environmental Affairs, Private Bag X20801, Bloemfontein 9300, South Africa
IVDST/NRF Research Chair in Inland Fisheries and Freshwater Ecology, South African Institute for Aquatic Biodiversity (SAIAB), Private Bag X1015, Makhanda 6140, South Africa
VSouth African Institute for Aquatic Biodiversity (SAIAB), Private Bag X1015, Makhanda 6140, South Africa
†Deceased
ABSTRACT
Hook-and-line fishing is commonly used in South African inland fisheries; however, very little quantitative information on catch and effort exists, even though it is essential to advise management of the sector. To provide information towards management of South Africa's largest impoundment, the Gariep Dam, roving creel surveys were conducted to quantify annual fish harvest and to identify changes in fisher catch, effort and harvest data in comparison to historic data. The surveys were also conducted during the Covid-19 pandemic which presented an additional opportunity to describe fishery dynamics during the pandemic. Randomly stratified sampling was conducted from November 2020 to October 2021, in which catch and effort data of hook-and-line fishers were collected. Two fishery user groups were encountered: recreational and subsistence users were present, but the fishery was dominated by subsistence fishers. There was a more skewed dominance between these fisher groups than what was found during similar surveys in 2007/2008. Catch per unit effort was similar to previous estimates, at 0.51 kg-fisher-1h-1 (95% CI:0.47-0.54). There was, however, a significant reduction in fishing effort during the sampling period when compared to historic data, and estimated annual total harvest was only one third of what was previously reported. It was also noted that recreational fishers avoided fishing during the Covid-19 pandemic, whereas the subsistence fishers could not avoid fishing as it is their primary means of livelihood. The results of the study suggested that subsistence fisheries provide valuable livelihood support to communities, and serve as an example on what impacts a crisis such as a global pandemic may have on inland fisheries.
Keywords: inland fisheries, roving creel surveys, CPUE, subsistence, recreational
INTRODUCTION
Globally, inland fishery resources are increasingly being recognised for their critical contribution as a source of food, primary income, supplementary income, protein provision and recreation (Jimenez et al., 2019). This sector is often invisible, but plays an integral role because of the substantial contribution it makes to livelihoods and the possible prevention of poverty (Lynch et al. 2017). Inland fisheries represent 12.2% of the total global capture fisheries production and more than 11 million tonnes of freshwater fish were harvested during 2018, with an estimated economic value of 26 billion USD (FAO, 2018). Inland fisheries contribute considerably more food resources than previously estimated and are globally thought to be undervalued by as much as 65% (Fluet-Chouinard et al., 2018).
Inland fisheries are particularly important in the African context, where they provide a vital source of food security and economic sustainability across the continent. FAO (2018) reported that Africa ranks second in inland fisheries production, after Asia, with an estimated total catch of 2.86 million tonnes in 2018. The role of inland fisheries in food security has an important economic value (McCafferty et al., 2012), thus understanding this sector is vital to the conservation and management of fish resources.
Apart from historic traditional fisheries (Andrew et al., 2000), the primary users of inland fish in South Africa have historically been recreational fishers; however, there is evidence of increasing utilisation of inland fisheries for subsistence (Van der Waal, 2000; McCafferty et al., 2012, Gilliland 2016). Hook-and-line fishing is currently the dominant form of utilisation of inland fisheries in South Africa, as gill netting is illegal, unless permitted by authorities (Weyl et al., 2007; Ellender et al., 2009; Barkhuizen et al., 2017). This comes in two forms, fishers using hook and line to catch fish as a source of food or supplementary income, and recreational fishing. Commercial inland fisheries in South Africa are limited and periodic attempts to establish commercial inland fisheries have largely failed as they are generally economically unviable (Barkhuizen et al., 2016; Hugo and Weyl, 2021). Inland water bodies in South Africa are of considerable socio-economic value for recreational fishing (Weyl et al., 2007) and subsistence fishing is an important contributor to livelihoods and food security (Ellender et al., 2010a; Tapela et al., 2015) (see Table 1).
Participation in the South African recreational fishing sector for both marine and freshwater is estimated to be more than 1.3 million anglers, who spend a total of 18.9 billion ZAR per year. This recreational sector contributes 32.6 billion ZAR to the South African economy annually (Potts et al., 2022). In addition, subsistence users, largely undocumented, are making increasing use of inland water bodies (Weyl and Cowley, 2016). In a 2007/08 case study of the Gariep Dam, subsistence angling dominated the fishery, accounting for 61% of fishing effort (Ellender et al., 2009; McCafferty et al., 2012). Subsistence use was recorded in 6 out of 10 dams surveyed in the North West Province, South Africa (Weyl et al., 2007). Assessments of the current fishing effort and harvest by these fishing sectors in South African inland waters are, however, limited, with few isolated case studies, and further monitoring is an urgent requirement (Weyl et al., 2020).
The effective management of recreational and subsistence fisheries can pose challenges as they have different and sometimes competing motivations (Mann and Mann-Lang, 2020). According to Nyboer et al. (2022), it is also difficult to classify an individual as a recreational or subsistence fisher as there is a fuzzy boundary between these sectors. The inland fisheries sectors of South Africa are described through the review of literature to outline what sets these fisheries sectors apart (Table 1). To manage these fisheries sustainably, clear descriptions for fishing sectors are essential, and the determination and monitoring of utilisation patterns and periodic assessments of the fish resources are required (Kramer et al., 2017; Mann and Mann-Lang, 2020). According to Weyl et al. (2020), information on harvest rates is important not only for management, but also for the assessment of food security at a national level.
Understanding the spatio-temporal patterns in the distribution of recreational and subsistence fishing effort is important for fishery management, monitoring illegal fishing and for monitoring trends in participation over time (Ellender et al., 2010b; Mann and Mann-Lang, 2020). Catch assessment surveys are methods to generate information relating to both fish catches and fishing effort, from a fishery point of view to manage fisheries for the benefit of communities, and are regularly used by government institutions to assist with management decisions (KCDP, 2013; McCormick and Meyer, 2017). Roving creel surveys are a type of catch assessment survey tool designed to estimate catches, catch rates and effort, when fishers are geographically dispersed and do not enter through specific entry points (Pollock et al., 1994). Creel surveys can also provide data on changes in fishery resources and fishing habits of fishers over time (Molai et al., 2020).
The catch and effort from the recreational and subsistence fishery of the Gariep Dam was previously investigated through roving creel surveys during 2007/08 (Ellender et al. 2009, 2010a, 2010b). This study provided a comprehensive assessment which quantified the annual fish harvest to be 79 t-y-1 and estimated the fishing effort at 16 392 fisher days-1-yr-1. The participation of subsistence users was estimated at 448 regular fishers, who accounted for more than 61% of the total fishing effort. By repeating this assessment a decade later, an updated status of the fishery would provide vital information on potential growth of the fishery and changes in utilisation patterns that have both management and conservation implications.
The aim of the current study was to repeat the roving creel surveys to determine estimates of annual harvest and effort figures for the Gariep Dam fishery, and to compare the results with the similar survey that was conducted during 2007/08. The data were used to identify potential temporal changes in the sector and identify variations in fishery resources over time. As the current surveys were conducted during the Covid-19 pandemic, it also presented the ideal opportunity to describe fishing patterns during the pandemic to determine the potential impact the pandemic had on the Gariep Dam fisheries.
The Covid-19 pandemic rapidly and dramatically altered patterns of human behaviour which had both positive and negative outcomes for inland fisheries globally (Stokes et al., 2020; Cooke et al., 2021). The pandemic led to environmental recovery in some ecosystems because of the reduction in regional and global movements of people, but in some cases fish species were increasingly exploited by food-insecure communities in response to the disruptions of normal livelihoods and economic wellbeing (Cooke et al., 2021).
Nyiawung et al. (2022) found that Covid-19 had a significant impact on small-scale fishers of Cameroon and Liberia, where a reduction in fish catch was observed during the pandemic because of the implementation of safety and health protocol initiatives. The authors explain that these Covid-19 initiatives affected the entire fish value chain and negatively affected the social well-being of those who depend on small-scale fisheries for livelihoods. According to Bennett et al. (2020), many fisheries faced complete shutdowns during the Covid-19 pandemic and had to adhere to social distancing protocols.
The first objective of this study was to quantify the annual fish harvest from the Gariep Dam fishery and estimate angling effort for the study period. The second objective was to compare catch and effort results to the previous assessment of Ellender et al. (2010a, 2010b), in order to identify temporal changes in utilization patterns. A final aim was to assess the impact the Covid-19 pandemic had on the Gariep Dam fisher catch and effort trends. Information on lessons from and disruptions due to Covid-19 on global inland fisheries (Stokes et al., 2020; Cooke et al., 2021), and the impact of the pandemic on inland fisheries in an African context has been documented previously (Aura et al., 2020, 2023; Fiorella et al., 2021; Nyiawung et al., 2022). However, this study represents the first quantitative assessment of the impact the Covid-19 pandemic had on small-scale inland fisheries of South Africa.
MATERIALS AND METHODS
Study site
Gariep Dam is the largest impoundment in South Africa, with a total surface area of 35 216 ha at full capacity (DWS, 2019). The dam, also referred to as Lake Gariep, was constructed in the Orange River at the Ruigte Valley gorge, east of Norvalspont (Van Vuuren, 2012). The dam is located across the borders of the Free State and Eastern Cape Provinces of South Africa (30° 37' 24.5" S; 25° 30' 35" E) and has a varying shoreline of 400-528 km, depending on water levels (Hamman 1981; Van Vuuren, 2012).
The dam was constructed for the purposes of hydroelectricity generation, irrigation and domestic use, and was completed in 1972 (DWS, 2019). The Gariep Dam has a capacity of 5 950 million cubic metres, with an average depth of 15.2 m at full capacity. The dam wall is 90.5 m high (above foundation) with a crest length of 909.5 m (Winker, 2010; Van Vuuren, 2012; DWS, 2019).
The climate of Gariep Dam is described as semi-arid and forms part of the Upper Karoo Bioregion (Hamman, 1981; Winker et al., 2010a). According to Keulder (1979), the rainfall in the Orange River catchment area in the east can be as high as 600 mm annually, but the annual rainfall at Gariep Dam is less than 400 mm. The Gariep Dam's water supply is usually seasonal with inflow during spring and summer, and water levels fluctuate considerably because of water release for power generation and agricultural supply downstream (Winker et al., 2010b).
The dam is characterised by gradually sloping muddy and gravel bays (90%), interspersed with steep rocky shores (10%) devoid of vegetation (Hamman, 1981; Ellender et al., 2010a). Cambray et al. (1978) found that during drawdown phases the exposed shoreline around bays was colonised by grasses and small shrubs. These authors also noted that the limited flora on the shoreline was because of wind action, the semi-arid environment and rapid water-level fluctuations.
Winker et al. (2012) and Ellender and Weyl (2016) noted from fishery-independent gillnet surveys, the dominant fish species in Gariep Dam are the smallmouth yellowfish Labeobarbus aeneus (Burchell, 1822), and the Orange River mudfish Labeo capensis (Smith, 1841). According to Winker et al. (2012), the moggel Labeo umbratus (Smith, 1841) is less common in the Gariep Dam, but this species has been recorded previously (Hamman, 1980; Ellender et al., 2012; Barkhuizen, 2015). The Orange-Vaal River System's largest cyprinid, the piscivorous largemouth yellowfish Labeobarbus kimberleyensis (Gilchrist and Thompson, 1913), which is classified as 'Near Threatened' (lUCN 2021), is listed in South Africa as a protected species under the Threatened or Protected Species Regulations (NEM: BA; RSA, 2004). This species is widespread in the Gariep Dam; however, Winker (2010) found that it does not occur in high numbers since it is the apex predator of the system. Enteromius oraniensis (Barnard, 1942) is also found within the upper Orange River, and Hamman (1981) and Cambray et al. (1978) found that this species is the only minnow that occurs in Gariep Dam. The rock catfish Austroglanis sclateri (Boulenger, 1901) also occurs in the Orange River and the Gariep Dam (Hamman 1980, Skelton 2001). However, their abundances are low because their preferred habitat is flowing water over rocky substrates, which is scarce in the Gariep Dam. The sharptooth catfish Clarias gariepinus (Burchell, 1822) is a common fish species with a wide distribution that includes the Orange River (Skelton, 2001). The sharptooth catfish is a popular fishing species in the Gariep Dam and is regularly caught and harvested by recreational and subsistence fishers (Ellender et al., 2010a).
Four rural towns are situated near the shoreline, i.e., Gariepdam town and Bethulie in the Free State, and Venterstad and Oviston in the Eastern Cape. Hereafter,' 'Gariep Dam' will refer to the impoundment and 'Gariepdam' the town on the western side of the dam, close to the dam wall. The towns have various fishing areas that are used by both recreational and subsistence fishers (Fig. 1). The terrestrial habitat adjacent to the dam falls under the jurisdiction of two conservation authorities: the Free State Department of Economic, Small Business Development, Tourism and Environmental Affairs (FS DESTEA) and the Eastern Cape Parks and Tourism Agency (ECPTA) (Ellender et al., 2010b). Most of the extensive ± 400 km shoreline of the Gariep Dam is closed for fishing (approximately 87%), but designated fishing areas have been set aside by conservation authorities. These comprise 25 km of shoreline in the Gariep Dam Nature Reserve close to the town of Gariepdam and 27 km in the Oviston Nature Reserve close to the towns of Oviston and Venterstad (Fig. 1). Recreational boat fishing, although very limited, does take place in the Gariep Dam, and a few boat angling competitions regulated by FS DESTEA have previously been held at the dam (PJ Swanepoel, personal observation).
The study was conducted during the Covid-19 pandemic and during the sampling surveys various governmental restrictions were put in place (including curfew times and travel bans), which prevented fishers from accessing sections of the open fishing areas in order to adhere to social distancing protocols. A detailed overview of restrictions and their implications for fishing is provided in Fig. 2. During most of the study period, fishers were not allowed to enter some sections of the open fishing areas in the Gariep Dam Nature Reserve, because the reserve's accommodation was used by the Department of Health as a Covid-19 quarantine site. Certain sections of the fishing areas in the Oviston Nature Reserve were also closed to the public during part of the study because of governmental Covid-19 restrictions, as well as no access being allowed because of hunting activities. Anecdotal reports also indicated that local law enforcement prevented fishers from accessing open fishing areas during the study period.
Roving creel surveys
Randomly stratified roving creel surveys were conducted from November 2020 to October 2021 (1 full year of sampling), replicating the methods outlined in Ellender et al. (2010a) to determine catch and effort estimates during the Covid-19 pandemic. This was done to take seasonal changes and behaviours of fishers into account. Sampling events were conducted every 2 months, for 2 weeks, with a 7-day assessment period in each of the two fishing areas, i.e., Gariepdam and Oviston (total of 6 sampling events). In order to ensure consistency, all the roving creel surveys were conducted by one surveyor (PJ Swanepoel) across all regions. The 7-day assessment period at each fishing area included surveys on 3 randomly selected weekdays and both weekend days, to account for the influence of the specific day of the week. The two fishing areas in Gariepdam and Oviston were divided into strata by Ellender (2008) and these were also used in the current study. This was done in order to divide the two fishing areas into smaller sub-areas for stratified random sampling. On a sampling day, fisher effort counts were done in all stratums in the respective fishing area and a stratum was selected randomly for fisher interviews with questionnaires to collect harvest and fisher data. During the fisher interviews, the surveyor moved at a constant speed through the selected stratum until all fishers were interviewed, or until the surveyor ran out of time.
During each individual fisher interview, all fish caught were identified to species level according to Skelton (2001), weighed to the nearest gram with an Adrenalin Lip Grip Digital Scale, BTI-EHSP-650, 25kg, and measured to the nearest mm fork length (mm FL) or total length (mm TL), depending on the species. Fishing start time, time of interview, and expected end-time of the day were also recorded.
Data from the study period (November 2020 to October 2021) were used to determine the annual catch, effort estimates, species composition and length frequencies of the fish species caught by fishers. To determine fish harvest values of fishers, calculating the catch per unit effort (CPUE) is the generally accepted method (Pollock et al., 1997; Alexiades et al., 2015). Because of a high proportion of fishers with zero catches during the time of the interview, the CPUE was right-skewed similar to Ellender et al. (2010a); a zero-altered model based on a delta-X distribution should be fitted to derive a more realistic expected CPUE estimate. This was done to calculate a non-zero CPUEpos (that excludes zero catches) that was log-normally distributed, and the expected CPUE was calculated by scaling CPUEpos by the probability of an interviewed fisher in the sample to have caught a fish (PC = probability of capture). The application of this approach is described in Ellender et al. (2010a), and was also used in the current study. Individual CPUE for each fisher was expressed as:

where: the catch (kg) of each fisher per time fished (h) was used. Expected CPUEi was expressed in the form of a delta-lognormal model:

where: probability of capture (PC,) is the probability of the interviewed fisher having caught a fish during a bimestrial sampling event i, logCPUEpos,i. are the log transformed CPUEpos observed during bimestrial sampling event i. σ2 is the variance of logCPUEpos,i
To determine the fishing effort for Gariep Dam, fishers were counted twice a day (once in the morning and once in the afternoon) in all strata in the respective fishing area. This was done to determine the number of people accessing the Gariep Dam for fishing, per day. An instantaneous count of each stratum was done from a vantage point where the whole stratum could be observed, the number of fishers were counted using binoculars (Olympus 10 x 50 Explorer S) and the time was recorded.
The mean fishing effort for the Gariep Dam was calculated separately, using an equation developed by Pollock et al. (1994) and modified by Ellender et al. (2010b):

where: Ei is the expected number of fishers during any time of the fishing day, is the number of observed fishers on the ith day in stratum j and ni,j is the number of instantaneous counts on the ith day in stratum j.
To calculate the mean total catch per day (TCday,i) during the bimestrial sampling event, the mean CPUEi was multiplied by the mean fishing effort of each sampling event:

The total annual catch was calculated by using the total mean total catch per day, converted to a 60-day bimestrial sampling event as outlined by Ellender et al. (2010a).
Data analysis was conducted using MS-Excel data analysis tools. The relative abundance of fish species caught by fishers during surveys was tested with the chi-square test of independence and the fishing effort and catch were tested between the sampling events, regions and user groups by using t-tests and one-way ANOVAs.
To examine the historical trend in subsistence and recreational catch and effort estimates, a comparison was made between the results of the current study (2020/21) and that of Ellender et al. (2010a, 2010b) conducted during 2007/08. The methodology used during the current study was intentionally kept the same as that used in the study conducted during 2007/08, in order for the results to be comparable. Both studies were also conducted in the same fishing areas with the same number of sampling days over a period of 12 months.
RESULTS
A total of 60 roving creel survey sampling days were undertaken, with 30 survey days in the Gariepdam and 30 survey days in the Oviston fishing areas, with a total of 331 catch assessment interviews conducted over the sampling period (November 2020 to October 2021). Two fishery user groups were encountered, i.e., subsistence and recreational users. Catch interviews were dominated by subsistence fishers (94%) over the sampling period.
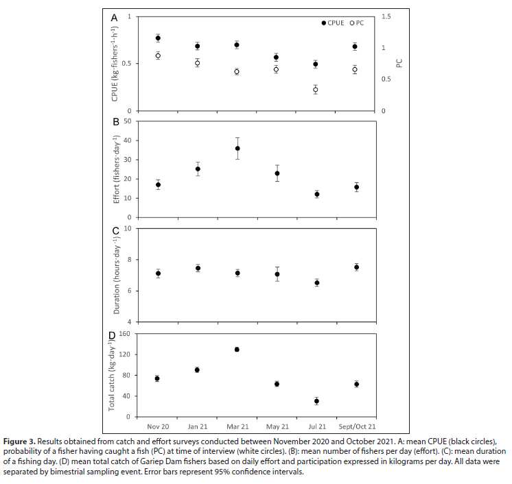
Fishing effort
The fishing effort counts showed a significant difference between the bimestrial sampling surveys (t-test, p < 0.005) and this was used to separate the results. The mean combined fishing effort for both sampling areas is presented in Fig. 3B. The mean total number of fishers at any time of any fishing day was calculated at 21.5 ± 0.54 fishers-day-1, and the total number of fishers ranged between 35.9 ± 0.9 fishers-day-1 in March 2021 and 12.05 ± 0.31 fishers-day-1 in July 2021. There was no significant difference in the mean duration of a fishing day during the bimestrial sampling events, which fluctuated between 6.5 ± 1.9 h-day-1 (July 2021) and 7.5 ± 2.8 h-day-1 (September/October 2021) (Fig. 3C).
Annual catch
Of all the fishers interviewed, 75% had caught at least 1 fish, whereas 25% of fishers had a zero catch at time of interview. The CPUEpos between recreational and subsistence fishers did not differ significantly (t-test, p > 0.05), but the CPUEpos differed significantly between the six bimestrial sampling events (one-way ANOVA, df = 5; p < 0.05).
The mean expected CPUE was calculated using non-zero log abundance positive catches described by Ellender et al. (2010a). The mean expected CPUE was calculated at 0.51 (95% CI: 0.470.54) kg-fisher-1-h-1. The probability of capture (PC), i.e., the probability of an interviewed fisher to have caught at least 1 fish at the time of interview was the highest in summer (November 2021 PC: 0.88) and the lowest in the winter (July 2021 PC: 0.33). The CPUE for the different bimestrial sampling events follows the same trend as the PC, with the highest CPUE recorded in the summer, at 0.61 kg-fisher-1-h-1 (November 2021), and the lowest in the winter, at 0.39 kg-fisher-1-h-1 (July 2021) (Fig. 3A).
The expected end-day catch of fishers was 2.5 kg-fisher-1-day-1 in July 2021 and almost double, at 4.3 kg-fisher-1-day-1, in November 2021. The total catches from all fishers per day in both the Gariepdam and Oviston areas were the highest in March 2021 (129.7 kg-day-1) and the lowest in July 2021 (30.4 kg-day-1), with an estimated mean harvest of 75.1 kg-day-1 throughout a calendar year (Fig. 3D). The total annual catch by subsistence and recreational fishers from both Gariepdam and Oviston between November 2020 and October 2021 (1 year) was estimated at 27.042 t-yr-1. During the sampling period, no fishing competitions were held at the Gariep Dam.
Fishing trends
A historical comparison of hook-and-line fishers of the Gariep Dam between surveys of 2007/08 and the surveys of the current study revealed important changes over time. The first noticeable difference between the two studies is the proportion of subsistence to recreational fishers. The surveys conducted more than a decade ago encountered a higher number of recreational fishers, whereas the current surveys found fishers to be predominantly subsistence and very little participation from recreational fishers was noted (Table 2). There was, however, little change in the number of fishers interviewed who had caught at least 1 fish, the CPUE for fishers, and the fishing duration between 2007/08 and 2020/21 (Table 2).
There was a marked decline in the number of fishers per day between 2007/08 and the current study. This decline in fisher numbers resulted in a significant difference in the total estimated fishing effort between the two studies, and a reduction of 62% in the total estimated annual catch by subsistence and recreational fishers in 2020/21 (Table 2). This reduction in the annual catch from the Gariep Dam fisheries during the current study can likely be attributed to the impact that the Covid-19 pandemic had on the sector.
Species composition
The catch of Gariep Dam fishers consisted of 5 species, C. carpio, C. gariepinus, L. aeneus, L. capensis, and L. kimberleyensis (see Table 3). Labeobarbus aeneus dominated the fisher catches in both fishing areas, contributing 34.1% by weight and 53.1% by number to all fish caught. The contribution of Cyprinus carpio, which is a non-native species, to fisher catches was 37.6% by weight, but only 17.2% by number. The relative abundance of species by number differed between the two fishing areas (x2 test of independence; X2 = 98.4, df = 4; p < 0.05). The proportion by number of L. aeneus caught per area showed a significant difference, with 68.8% caught at Gariepdam and 42.1% at Oviston. Cyprinus carpio (13.5%; 19.9%) and L. capensis (15.2%; 31.5%) were less prominent in fisher catches in Gariepdam compared to Oviston, respectively (Table 3).
The mean length at capture for L. capensis, C. carpio and C. gariepinus was above the length-at-50%-maturity (Table 4) and this is also evident in the population length frequency distributions (Fig. 4). For the two yellowfish species, L. aeneus and L. kimberleyensis, mean length at capture and the highest proportion of fish harvested were below length-at-50%-maturity.
DISCUSSION
Findings from the current study reveal interesting changes in the Gariep Dam fishery. Over the past decade, there has been a general shift in sectoral use of the fishery, with the historically significant recreational fishery decreasing in importance. The outbreak of the Covid-19 pandemic had a large impact on the subsistence fishing sector with a reduction in fishing effort, which could have had food security and livelihood implications. However, catch rates and CPUE remained similar, indicating that the fish stock is currently not being overexploited and that the fishery resources of the Gariep Dam are likely stable. The study indicates the importance of regular monitoring to acquire information that can inform adaptive management to respond to ecological and social changes that are driving fishery utilisation patterns, as found in the present study.
Catch and effort
The current assessment of the Gariep Dam indicates that the fishery was used by both subsistence and recreational fishers and the catch and effort was significant despite the Covid-19 pandemic.
The mean expected number of fishers per day of the Gariep Dam (22 fishers day-1) is much higher than what was reported, for example, at the Kosi estuarine lake system, which was estimated to be 3.07 fishers day-1 (James et al., 2001). The Kosi estuarine system consists of4 lakes offresh and brackish water that span approximately 10 km and are influenced by the sea. James et al. (2001) also noted that the mean number of hours fishers spent fishing in the lake system was 5.3 h, which is also less time than what was found in the current study (7.1 hours a day). This high fishing effort of the Gariep Dam fishery, compared to other similar fisheries in South Africa, could be an indication that the resource is vitally important to the adjacent communities, who need to spend more time fishing to meet livelihood needs. This emphasises the importance ofthe Gariep Dam fishery and the significant fishing effort should be acknowledged, managed and protected against future developments that may harm the fishery. This information provides fisheries scientists and managers with more reliable information that can be used to make management decisions (Mann and Mann-Lang, 2020).
The CPUE of Gariep Dam fishers over the sampling period was, as expected, the highest in summer and lowest in winter. When the CPUE ofthe Gariep Dam (0.51 kg fisher-1 h-1) is compared to other data for Southern African hook-and-line fisheries, it is noticeably much higher than what was reported for other water bodies. Van der Waal (2000) estimated the CPUE of subsistence fisher catches of Mutshindudi River in Limpopo to be 0.055 kg fisher-1 h-1. The CPUE for hook-and-line fishing in Lake Chicamba, Mozambique, was estimated to be 0.1-0.5 kg fisher-1 h-1 (Booth and Weyl, 2004). James et al. (2001) reported that the mean CPUE for fishers of the Kosi estuary was 0.16 kg fisher-1 h-1. Ellender et al. (2010a) suggest that the high CPUE of Gariep Dam might be indicative of low utilisation of the fish resource, with only approximately 13% of the Gariep Dam shoreline accessible for fishing. The low Gariep Dam shoreline access means that most of its shoreline is underutilised and could potentially made available for inland fisheries development. Future development initiatives should, however, be done with caution and current utilisation of fish resources should be taken into consideration. CPUE generally decreases as total catch and effort on fish stocks increases, and a decrease in CPUE would impact the hook-and-line fishery of the Gariep Dam negatively (Ellender et al., 2010a).
Species composition
The largest proportion of L. aeneus and L. kimberleyensis were harvested before they reached sexual maturity. Labeobarbus kimberleyensis is listed as protected (NEM:BA; RSA, 2004) and is considered a conservation priority (lUCN, 2021). According to the Free State Nature Conservation Ordinance No.8 of 1969 and Regulations of 1983, it is illegal to catch the species, and if caught by fishers it should immediately be released (OFSPG, 1969, 1983). The mean size at capture for the three other species was above length-at-50%-maturity. This is an indication that most of the fish were harvested by the fishery at least after they have reached maturity. This gives individuals a chance to spawn and, as a result, re-stock the fish population. Alternatively, the non-native and invasive C. carpio made up 32.7% of fisher catches by weight and ranked second-highest of all species caught. This information can be used to propose future development of the fishery by targeting the non-native fish species that have no conservation importance. However, adaptive management should still be done to evaluate, understand and monitor ecological changes and fisher needs.
The impact of Covid-19
Ellender et al. (2010b) estimated that Gariep Dam had a population of more than 448 subsistence fishers, while the current study estimated 431 (Swanepoel et al., 2025). This is an indication that the subsistence fishing population remained similar, despite the Covid-19 pandemic. However, because of the pandemic, the total estimated fishing effort was reduced by more than half, from 16 329 fishers day-1 yr-1 during 2007/08 to 7 822 fishers day-1 yr-1 in 2020/21. This reduction of fishing effort is likely linked to the movement restrictions that were enforced because of the Covid-19 pandemic in South Africa. This decreased fishing effort ultimately reduced the total annual catch, potentially impacting the livelihoods of vulnerable communities surrounding Gariep Dam who are dependent on its fish resources.
Barkhuizen et al. (2017) reported a decline in recreational tournament fishing effort in the Free State between 2000 and 2014, and the same trend is apparent for recreational fishing at the Gariep Dam, based on results of the current study. Although reports of a general decline in the recreational fishing sector in South Africa exist, the Covid-19 pandemic also affected the sector negatively. This impact is evident through comparing the proportion of recreational to subsistence fishers found by Ellender et al. (2010a) and in the current study. The surveys of 2007/08 found that 67% of fishers of the Gariep Dam were subsistence fishers, while the current study found that 94% were subsistence fishers. The opposite was true for recreational fishers, where a reduction of participation was noted from 33% to only 6%. The reason for this is that the recreational fishers, who use the resource primarily for leisure purposes, could avoid fishing activity to prevent the risk of infection during the pandemic, but the subsistence fishers that are reliant on the resource as food or income, could not avoid the risk, as they had no alternative.
CONCLUSION
In the Gariep Dam fisheries assessment, a reduction in the percentage of recreational fishers was evident compared to subsistence fishers. The fish resources, therefore, provided a much-needed buffer against the Covid-19 impacts and subsistence fishers did not completely lose their means of protein provision or supplementary income, as happened for other income-generating activities during the pandemic. An increase in subsistence fishing was expected over the pandemic as a mechanism to sustain livelihoods; however, a total decline in fishing effort for both recreational and subsistence fisheries was found, which ultimately resulted in a decline in the estimated annual catch, to only a third of what was previously reported. Findings of the current study suggest that subsistence and recreational fisheries are vulnerable to rapid-onset calamities, such as a pandemic, and intervention plans should be in place to sustain livelihoods of affected communities and minimise future similar impacts to small-scale fishing communities.
This study revealed that the subsistence sector is the majority fishery group at the Gariep Dam and fisheries authorities should protect, support and recognise the subsistence fishers as a fishing sector. This is also the case for other inland waters in South Africa, where Britz et al. (2015) and Tapela et al. (2015) reported that 77% dams surveyed support some form of fishing for livelihood purposes. The National Freshwater (Inland) Wild Capture Fisheries Policy for South Africa does not acknowledge the subsistence fishing sector, as it is simply incorporated as part of small-scale fisheries (DFFE 2021). This study highlights the need for the subsistence fishery to be recognised as its own subsector in policy and legislation, in order for management to support this group. The authors also recommend that the subsistence fishery sector should be recognised as an essential aspect of livelihood services, to avoid the access restrictions the sector experienced during the pandemic. According to Lynch et al. (2017), an opportunity exists to enhance the visibility of and safeguard inland fisheries against losses by promoting the sustainable development thereof as means for both economic and social growth, as well as a 'safety net' to prevent further poverty escalation.
Results of these roving creel surveys provide fisheries scientists and managers with reliable information on which to base management decisions. It is recommended that fishery monitoring surveys should be conducted regularly (5-year intervals) to track trends in the fishery and identify or highlight changes that could affect the sector negatively and evaluate any management interventions needed.
ACKNOWLEDGEMENTS
This study forms part of a PhD project that was funded by National Research Foundation (NRF) - South African Research Chairs Initiative of the Department of Science and Innovation (DSI) (Inland Fisheries and Freshwater Ecology, Grant No. 110507). PJ Swanepoel thanks the Free State Department of Agriculture and Rural Development (FS DARD) for support during the study of inland fisheries of the Gariep Dam and for providing necessary transportation for surveys and infrastructure at the Aquaculture Technology Demonstration Centre (ATDC) in Gariepdam. We are grateful for the use of infrastructure and equipment provided by the NRF-SAIAB Research Platform and the University of the Free State. We acknowledge the Gariep Dam Nature Reserve of the FS DESTEA and the Oviston Nature Reserve of the ECPTA for allowing access to sampling sites.
This research was given ethics clearance by the University of the Free State Animal Research Ethics Committee (Ethics Approval Number: UFS-AED2016/0127) and the General/ Human Research Ethic Committee (Ethics Approval Number: UFS-HSD2020/116/0212). Permission for fish surveys was granted by FS DESTEA under Permit Number JM 3293/2018. Lastly, we would like to thank and acknowledge Prof Olaf LF Weyl who supervised this research project and sadly passed away before its completion. Any opinions, findings, conclusions or recommendations expressed in this material are those of the authors and the NRF of South Africa does not accept any liability in this regard.
AUTHOR CONTRIBUTIONS
Pieter Swanepoel: conceptualisation, investigation, data curation, formal analysis, writing - original draft, review and editing. Leon Barkhuizen: visualization, investigation, supervision, writing -review and editing. Bruce Ellender: methodology, supervision, writing - review and editing. Liesl van As: supervision, writing - review and editing. Olaf Weyl: conceptualisation, methodology, supervision, funding.
ORCIDS
PJ Swanepoel: https://orcid.org/0000-0002-1660-4461
LM Barkhuizen: https://orcid.org/0009-0001-6258-7260
BR Ellender: https://orcid.org/0000-0002-4398-9491
LL van As: https://orcid.org/0000-0001-5625-5756
OLF Weyl: https://orcid.org/0000-0002-8935-3296
REFERENCES
ALEXIADES AV, MARCY-QUAY B, SULLIVAN PJ and KRAFT CE (2015) Measurement error in angler creel surveys. N. Am. J. Fish. Manage. 35 (2) 253-261. https://doi.org/10.1080/02755947.2014.996689 [ Links ]
ANDREW TG, ROUHANI QA and SETI SJ (2000) Can small-scale fisheries contribute to poverty alleviation in traditionally non-fishing communities in South Africa? Afr. J. Aquat. Sci. 25 (1) 49-55. https://doi.org/10.2989/160859100780177938 [ Links ]
AURA CM, AWUOR FJ, AWANDU H, OWITI H, MUSA S, OWOKO W and NJIRU JM (2023) How the pre and post COVID-19 era have shaped system understanding of the socioeconomic impact of small-scale inland fisheries. Soc. Sci. Human. Open 7 (1) 100377. https://doi.org/10.1016/J.SSAHO.2022.100377 [ Links ]
AURA CM, NYAMWEYA CS, ODOLI CO, OWITI H, NJIRU JM, OTUO PW, WAITHAKA E and MALALA J (2020) Consequences of calamities and their management: The case of COVID-19 pandemic and flooding on inland capture fisheries in Kenya. J. Great Lakes Res. 46 (6) 1767-1775. https://doi.org/10.1016/J.JGLR.2020.09.007 [ Links ]
BARKHUIZEN LM (2015) An assessment of fish and fisheries in impoundments in the upper Orange-Senqu River basin and lower Vaal River basin. PhD thesis, University of the Free State. [ Links ]
BARKHUIZEN LM, WEYL OLF and VAN AS JG (2016) A qualitative and quantitative analysis of historic commercial fisheries in the Free State Province in South Africa. Water SA 42 (4) 601-605. https://doi.org/10.4314/wsa.v42i4.10 [ Links ]
BARKHUIZEN LM, WEYL OLF and VAN AS JG (2017) An assessment of recreational bank angling in the Free State Province, South Africa, using licence sale and tournament data. Water SA 43 (3) 442-449. https://doi.org/10.4314/wsa.v43i3.09 [ Links ]
BENNETT NJ, FINKBEINER EM, BAN NC, BELHABIB D, JUPITER SD, KITTINGER JN, MANGUBHAI S, SCHOLTENS J, GILL D and CHRISTIE P (2020) The COVID-19 pandemic, small-scale fisheries and coastal fishing communities. Coast. Manage. 48 (4) 336-347. https://doi.org/10.1080/08920753.2020.1766937 [ Links ]
BOOTH AJ and WEYL OLF (2004) Investigation into a potential directed fishery for Labeo cylindricus on Lake Chicamba, Mozambique. Afr. Zool. 39 (1) 77-90. https://doi.org/https://hdl.handle.net/10520/EJC17906 [ Links ]
BRITZ P (2015) The history of South African inland fisheries policy with governance recommendations for the democratic era. Water SA 41 (5) 624-632. https://doi.org/10.4314/wsa.v41i5.05 [ Links ]
BRITZ PJ, HARA MM, WEYL OLF, TAPELA BN and ROUHANI QA (2015) Scoping study on the development and sustainable utilisation of inland fisheries in South Africa. WRC Report No. TT615-1.14. Water Research Commission, Pretoria, South Africa. 1-272pp. [ Links ]
CAMBRAY JA, HAHNDIEK S and HAHNDIEK Q (1978) THE JUVENILE FISH POPULATION IN THE MARGINAL AREAS OF THE HENDRIK VERWOERD DAM. J. Limnol. Soc. South. Afr. 4 (1) 21-30. https://doi.org/10.1080/03779688.1978.9633145 [ Links ]
CARLITZ RD and MAKHURA MN (2021) Life under lockdown: Illustrating tradeoffs in South Africa's response to COVID-19. World Dev. 137 105168. https://doi.org/10.1016/j.worlddev.2020.105168 [ Links ]
COOKE SJ, TWARDEK WM, LYNCH AJ, COWX IG, OLDEN JD, FUNGE-SMITH S, LORENZEN K, ARLINGHAUS R, CHEN Y, WEYL OLF and co-authors (2021) A global perspective on the influence of the COVID-19 pandemic on freshwater fish biodiversity. Biol. Conserv. 253 108932. https://doi.org/10.1016/J.BIOCON.2020.108932 [ Links ]
DE VILLIERS C, CERBONE D and VAN ZIJL W (2020) The South African Government's response to COVID-19. J. Public Budget. Account. Fin. Manage. 1-17. https://doi.org/10.1108/JPBAFM-07-2020-0120 [ Links ]
DFFE (Department of Forestry, Fisheries and Environment, South Africa) (2021) National Freshwater (Inland) Wild Capture Fisheries Policy for South Africa. DFFE, Pretoria. [ Links ]
DWS (Department of Water and Sanitation, South Africa) (2019) List of registered dams. URL: https://www.dws.gov.za/DSO/Publications.aspx (Accessed 28 December 2021). [ Links ]
ELLENDER BR (2008) The impact of angling on smallmouth and largemouth yellowfish, Labeobarbus aeneus and Labeobarbus kimberleyensis, in Lake Gariep, South Africa. MSc dissertation, Rhodes University. [ Links ]
ELLENDER BR, WEYL O and WINKER H (2009) Who uses the fishery resources in South Africa's largest impoundment? Characterising subsistence and recreational fishing sectors on Lake Gariep. Water SA 35 (5) 677-682. https://doi.org/10.4314/wsa.v35i5.49194 [ Links ]
ELLENDER BR and WEYL OLF (2016) Success of a large riverine cyprinid smallmouth yellow fish Labeobarbus aeneus in a southern African impoundment. Fish. Manage. Ecol. 23 44-54. https://doi.org/10./fme.12154 [ Links ]
ELLENDER BR, WEYL OLF and WINKER H (2012) Age and growth and maturity of southern Africa's largest cyprinid fish, the largemouth yellowfish Labeobarbus kimberleyensis. J. Fish Biol. 81 (4) 1271-1284. https://doi.org/10.1111/j.1095-8649.2012.03395.x [ Links ]
ELLENDER BR, WEYL OLF, WINKER H and BOOTH AJ (2010a) Quantifying the annual fish harvest from South Africa's largest freshwater reservoir. Water SA 36 (1) 45-51. https://doi.org/10.4314/wsa.v36i1.50906 [ Links ]
ELLENDER BR, WEYL OLF, WINKER H, STELZHAMMER H and TRAAS GRL (2010b) Estimating angling effort and participation in a multi-user, inland fishery in South Africa. Fish. Manage. Ecol. 17 (1) 19-27. https://doi.org/10.1111/j.1365-2400.2009.00708.x [ Links ]
FAO (2018) Review of the state of the world: Inland fisheries. In: FAO Fishery and Aquaculture Circular C942 Rev 3. Food and Agricultural Organisation, Rome. [ Links ]
FIORELLA KJ, BAGEANT ER, MOJICA L, OBUYA JA, OCHIENG J, OLELA P, OTUO PW, ONYANGO HO, AURA CM and OKRONIPA H (2021) Small-scale fishing households facing COVID-19: The case of Lake Victoria, Kenya. Fish. Res. 237 105856. https://doi.org/10.1016/J.FISHRES.2020.105856 [ Links ]
FLUET-CHOUINARD E, FUNGE-SMITH S and MCINTYRE PB (2018) Global hidden harvest of freshwater fish revealed by household surveys. PNAS 115 (29) 7623-7628. https://doi.org/10.1073/pnas.1721097115 [ Links ]
GILLILAND TL (2016) Characteristics of fishers: a case study of Zeekoevlei, Cape Town. MSc dissertation, University of Cape Town. [ Links ]
HAMMAN K (1980) Post-Impoundment trends in the fish populations of the Hendrik Verwoerd Dam, South Africa. J. Limnol. Soc. South. Afr. 6 101-108. https://doi.org/10.1080/03779688.1980.9634554 [ Links ]
HAMMAN K (1981) Aspekte van die visbevolkingsdinamika van die Hendrik Verwoerddam met verwysing na die ontwikkeling van 'n vissery bestuursplan. PhD thesis, Randse Afrikaanse Universiteit. [ Links ]
HARA M, MUCHAPONDWA E, SARA J, WEYL OLF and TAPELA B (2021) Inland Fisheries Contributions to Rural Livelihoods: An assessment of fisheries potential, market value chains and governance arrangements. WRC Report No. 2497/1/20. Water Research Commission, Pretoria. [ Links ]
HUGO S and WEYL OLF (2021) Proposed approaches to systematic planning of research and monitoring to support a South African inland fisheries policy. Water SA 47 (3) 367-379. https://doi.org/10.17159/wsa/2021.v47.i3.11865 [ Links ]
IUCN (2021) Largemouth Yellowfish (Labeobarbus kimberleyensis). URL: https://www.iucnredlist.org/species/63292/174782649 (Accessed 2 February 2022). [ Links ]
JAMES NC, BECKLEY LE, MANN BQ and KYLE R (2001) The recreational fishery in the Kosi estuarine lake system, South Africa. Afr. Zool. 36 (2) 217-228. https://doi.org/10.1080/15627020.2001.11657140 [ Links ]
JIMENEZ ÉA, BARBOZA RSL, AMARAL MT and LUCENA FRÉDOU F (2019) Understanding changes to fish stock abundance and associated conflicts: Perceptions of small-scale fishers from the Amazon coast of Brazil. Ocean Coast. Manage. 182 104954. https://doi.org/10.1016/J.OCECOAMAN.2019.104954 [ Links ]
KCDP (Kenyan Coastal Development Project) (2013) Catch Assessment Survey of Marine and Coastal Fisheries in Kenya: Standard Operating Procedures-2013/2016. Technical Report. Kenyan Coastal Development Project, Kenya. [ Links ]
KEULDER PC (1979) Hydrochemistry of the upper orange river catchment. J. Limnol. Soc. South. Afr. 5 (1) 39-46. https://doi.org/10.1080/03779688.1979.9633181 [ Links ]
KRAMER RW, MANN BQ, DUNLOP SW, MANN-LANG JB and ROBERTSON-ANDERSSON D (2017) Changes in recreational shore anglers' attitudes towards, and awareness of, linefish management along the KwaZulu-Natal coast, South Africa. Afr. J. Mar. Sci. 39 (3) 327-337. https://doi.org/10.2989/1814232X.2017.1373704 [ Links ]
LYNCH AJ, COWX IG, FLUET-CHOUINARD E, GLASER SM, PHANG SC, BEARD TD, BOWER SD, BROOKS JL, BUNNELL DB, CLAUSSEN JE and co-authors (2017) Inland fisheries - invisible but integral to the UN Sustainable Development Agenda for ending poverty by 2030. Glob. Environ. Change 47 167-173. https://doi.org/10.1016/j.gloenvcha.2017.10.005 [ Links ]
MANN BQ and MANN-LANG JB (2020) Trends in shore-based angling effort determined from aerial surveys: a case study from KwaZulu-Natal, South Africa. Afr. J. Mar. Sci. 42 (3) 169-181. https://doi.org/10.2989/1814232X.2020.1740785 [ Links ]
MCCAFFERTY JR, ELLENDER BR, WEYL OLF and BRITZ PJ (2012) The use of water resources for inland fisheries in South Africa. Water SA 38 (2) 327-344. https://doi.org/10.4314/wsa.v38i2.18 [ Links ]
MCCORMICK JL and MEYER KA (2017) Sample size estimation for on-site creel surveys. N. Am. J. Fish. Manage. 37 (5) 970-980. https://doi.org/10.1080/02755947.2017.1342723 [ Links ]
MOLAI C, BOSSERELLE P, KINCH J, SHEDRAWI G and HALFORD A (2020) Creel surveys increase understanding of fisher patterns across three atolls in Kiribati. Pacific Community, Noumea Cedex, New Caledonia. [ Links ]
OFSPG (Orange Free State Provincial Government) (1969) Nature Conservation Ordinance No. 8 of 1969. Orange Free State Provincial Government, Bloemfontein. [ Links ]
OFSPG (Orange Free State Provincial Government) (1983) Orange Free State Provincial Government. Nature Conservation Regulations, Administrator's Notice 184 of 12 August 1983. Orange Free State Provincial Government, Bloemfontein. [ Links ]
NYBOER EA, EMBKE HS, ROBERTSON AM, ARLINGHAUS R, BOWER S, BAIGUN C, BEARD D, COOKE SJ, COWX IG, KOEHN JD and co-authors (2022) Overturning stereotypes: The fuzzy boundary between recreational and subsistence inland fisheries. Fish Fish. 23 (6) 1282-1298. https://doi.org/10.1111/faf.12688 [ Links ]
NYIAWUNG RA, AYILU RK, SUH NN, NGWANG NN, VARNIE F and LORING PA (2022) COVID-19 and small-scale fisheries in Africa: Impacts on livelihoods and the fish value chain in Cameroon and Liberia. Mar. Polic. 141. https://doi.org/10.1016/j.marpol.2022.105104 [ Links ]
POLLOCK KH, HOENIG JM, JONES CM, ROBSON DS and GREENE CJ (1997) Catch rate estimation for roving and access point surveys. American Fisheries Society Special Publication 17 1-1. https://doi.org/10.1577/1548-8675(1997)017<0011:CREFRA>2.3.CO;2 [ Links ]
POLLOCK KH, JONES C and BROWN T (1994) Angler Survey Methods and their Applications in Fisheries Management. American Fisheries Society, United States of America. 371 pp. [ Links ]
POTTS WM, SAAYMAN M, SAAYMAN A, MANN BQ, VAN DER MERWE P, BRITZ P and BOVA CS (2022) Understanding the economic activity generated by recreational fishing in South Africa provides insights on the role of recreational fisheries for social development. Fish. Manage. Ecol. 29 (1) 29-43. https://doi.org/10.1111/fme.12515 [ Links ]
RSA (Republic of South Africa) (2004) National Environmental Management: Biodiversity Act, No. 10 of 2004. Republic of South Africa, Cape Town. [ Links ]
SKELTON PH (2001) A Complete Guide to the Freshwater Fishes of Southern Africa. Struik, Cape Town. 395 pp. [ Links ]
SOUTH AFRICAN GOVERNMENT (2023) COVID-19 / Coronavirus. URL: https://www.gov.za/Coronavirus (Accessed 17 August 2023). [ Links ]
STOKES GL, LYNCH AJ, LOWE BS, FUNGE-SMITH S, VALBO-JØRGENSEN J and SMIDT SJ (2020) COVID-19 pandemic impacts on global inland fisheries. PNAS 117 (47) 29419-29421. https://doi.org/10.1073/pnas.2014016117 [ Links ]
SWANEPOEL PJ (2022) Assessing small-scale fisheries potential of Gariep Dam, South Africa's largest impoundment. PhD Thesis, University of the Free State. [ Links ]
SWANEPOEL PJ, BARKHUIZEN LM, ELLENDER BR, VAN AS LL and WEYL OLF (2025) Social demographic patterns and participation of the Gariep Dam fishery, South Africa during the Covid-19 pandemic. Water SA 51 (1) 58-66. [ Links ]
TAPELA BN, BRITZ PJ and ROUHANI QA (2015) Scoping study on the development and sustainable utilisation of inland fisheries in South Africa. WRC Report No. TT615/2/14, Water Research Commission, Pretoria. 171 pp. [ Links ]
VAN DER WAAL BCW (2000) Fish as a resource in a rural river catchment in the northern province, South Africa. Afr. J. Aquat. Sci. 25 (1) 56-70. https://doi.org/10.2989/160859100780177839 [ Links ]
VAN VUUREN L (2012) In the Footsteps of Giants: Exploring the History of South Africa's Large Dams. Water Research Commission, Pretoria. 333 pp. [ Links ]
WEYL OLF, BARKHUIZEN LM, CHRISTISON K, DALU T, HLUNGWANI HA, IMPSON D, SANKAR K, MANDRAK NE, MARR SM, SARA JR and co-authors (2020) Ten research questions to support South Africa's Inland Fisheries Policy. Afr. J. Aquat. Sci. 46 (1) 1-10. https://doi.org/10.2989/16085914.2020.1822774 [ Links ]
WEYL OLF and COWLEY PD (2016) Fisheries in subtropical and temperate regions of Africa. In: Craig JF (ed.) Freshwater Fisheries Ecology. John Wiley & Sons, Ltd., West Sussex. https://doi.org/10.1002/9781118394380.ch21 [ Links ]
WEYL OLF, POTTS W, ROUHANI Q and BRITZ P (2007) The need for inland fisheries policy in South Africa: A case study of the North West Province. Water SA 33 (4) 497-504. [ Links ]
WINKER H (2010) Post-Impoundment population dynamics of non-native common carp Cyprinus carpio in relation to two large native cyprinids in Lake Gariep, South Africa. PhD thesis, Rhodes University. [ Links ]
WINKER H, ELLENDER BR, WEYL OLF and BOOTH AJ (2010a) Validation of growth zone deposition in otoliths of two large endemic cyprinids in Lake Gariep, South Africa. Afr. Zool. 45 (1) 133-138. https://doi.org/10.3377/004.045.0110 [ Links ]
WINKER H, WEYL OLF, BOOTH AJ and ELLENDER BR (2010b) Validating and corroborating the deposition of two annual growth zones in asteriscus otoliths of common carp Cyprinus carpio from South Africa's largest impoundment. J. Fish Biol. 77 (10) 2210-2228. https://doi.org/10.1111/j.1095-8649.2010.02797.x [ Links ]
WINKER H, WEYL OLF, BOOTH AJ and ELLENDER BR (2012) Life history strategy and population characteristics of an unexploited riverine cyprinid, Labeo capensis, in the largest impoundment in the Orange River Basin. Afr. Zool. 47 (1) 85-99. https://doi.org/10.1080/15627020.2012.11407527 [ Links ]
Correspondence:
PJ Swanepoel
Email: swanepoelpj@outlook.com
Received: 14 September 2023
Accepted: 7 January 2025












