Servicios Personalizados
Revista
Articulo
Indicadores
Links relacionados
-
Citado por Google -
Similares en Google
Compartir
Water SA
versión On-line ISSN 1816-7950versión impresa ISSN 0378-4738
Water SA vol.50 no.4 Pretoria oct. 2024
https://doi.org/10.17159/wsa/2024.v50.i4.4089
RESEARCH PAPER
Distribution and redistribution of salt ions in saline soils with shallow groundwater table
VN Mathinya; ML Molomo
Department of Soil, Crop and Climate Sciences, University of the Free State, Bloemfontein, South Africa
ABSTRACT
Saline water resources are more abundant than freshwater. Bringing these resources into sustainable, productive use will offer opportunities to reduce competition for freshwater resources, especially in arid and semi-arid areas where freshwater is scarce. Hence, the primary objective of this study was to elucidate the dynamics of salt ions in saline profiles of various soil types (sandy Clovelly and sandy loam Bainsvlei) under malt barley cultivation across 2 seasons where no leaching between the seasons took place. Results of this lysimeter study investigating increasing irrigation salinity (ECi) set at 1.5, 4.5, 6, 9, and 12 dS·m-1 over 2 seasons were used to explore ion dynamics of a saline environment. The lysimeter set-up included a saline constant (1.2 m) groundwater table with its salinity corresponding to ECi. Findings showed that ion concentrations are higher closer to the water source only in the Bainsvlei soil and remain variable in the Clovelly soil. Salt dynamics were more predictable in sandy loam soil than in sandy soil, making management of saline sandy soils far more challenging when leaching is not possible. Therefore, our hypothesis that the absence of leaching between seasons will lead to a differentiated progressive accumulation of salt ions in the soil profile, with variable effects on the soil depending on soil texture, was true. We conclude that the desalinized zone, which we determined to be at a depth of 600 mm, should be used to guide crop selection. Furthermore, in addition to the apparent provision for leaching of saline profiles, fertilization should target restoring ion balances, especially provisioning for calcium deficiencies. Both soils were prone to nutritional disorders, most especially calcium deficiency. Therefore, in addition to provision for leaching saline profiles, fertilization should target calcium provisioning for crop production in arid saline environments.
Keywords: ion distribution, irrigation water quality, nutrients, salinity, shallow ground water table
INTRODUCTION
Water scarcity and the subsequent excessive accumulation of soluble salts - a process referred to as salinization - has persisted as a long-standing issue in the agricultural sectors of arid regions such as Southern Africa. With an average precipitation of about 460 mm·yr-1 and exceptionally high potential evapotranspiration with a range of <1 800 mm·yr-1 in the country's east to >3 000 mm·yr-1 in the northwestern part of the country (Du Preez and Van Huyssteen, 2020), South Africa is no exception. This limited availability of water resources leads to a water allocation contention for agricultural, industrial, and domestic demands. This contention mandates the use of low-quality water for crop irrigation (De Clercq et al., 2021). Therefore, it is unsurprising that by the 1980s, salinization had affected 10% of irrigated land in South Africa (Du Plessis, 1986).
Consequently, salinization of soil and water resources poses a severe challenge, directly diminishing the agricultural potential of soil and indirectly impacting land-based livelihoods (Pessoa et al., 2022). Extensive research has been undertaken to enhance sustainable staple crop production in arid environments where salt stress prevails. Despite the scarcity of salinity-related research across Africa, studies have documented the effects of salt-induced stress on cereal grain growth and yields (Dikgwatlhe et al., 2008; Mathinya et al., 2021) as well as allowable salinity threshold values (Mathinya et al., 2019). It is evident from the literature that the extent of growth inhibition caused by salinity on cereal grains may be influenced by the nutritional status of the plant (Munns, 2002; Al-Seedi, 2008) or the phytotoxicity of specific ions in saline soils (Anjum et al., 2015). Moreover, Bernstein et al. (1974) emphasized that increasing salinity not only elevates plant nutrient requirements but also hinders the uptake of nutrient cations. Recent research efforts have explored avenues such as crop breeding for improved salt tolerance (Mujeeb-Kazi et al., 2019), the application of bio-stimulants (Rakkammal et al., 2023), and soil amendments (Mahdy, 2011; Bello et al., 2021) to mitigate salinity effects.
Furthermore, parallel to the examination of salinity effects on crops, studies have investigated the response of soil properties to escalating salinity levels. Elevated salt content can induce physicochemical deterioration of the soil (Babcock et al., 1959; Grattan and Grieve, 1999; Haj-Amor et al., 2018), leading to soil structural damage (Chemura et al., 2014), reduction in soil pore volume (Barnard et al., 2009), and ultimately diminishing soil hydraulic conductivity. Additionally, salinity fosters soil structural instability by clogging soil pores (Rengasamy, 2018) and forming a thin crust at the soil surface, thereby reducing the infiltration rate of irrigation water into the soil profile, consequently affecting crop water use. Research underscores the considerable variation in these effects based on factors such as soil type, depth, microclimate, and the presence of limiting layers (Zhao et al., 2019). Limiting layers, often leading to perched water tables, emerge as primary factors influencing the transport, accumulation, release, and subsequent redistribution of soil water and salts, closely intertwining with groundwater level and salinity (Zhao et al., 2019).
Additionally, recent investigations into the transport characteristics of soil salt ions have furnished a theoretical framework and technical support for averting secondary soil salinization (Zhao et al., 2019; Muhammed et al., 2023). However, significant gaps persist in our understanding and management of saline profiles, particularly concerning the distribution and redistribution of soil salt ions in soil-crop systems with saline perched water tables, where no leaching occurs between seasons - a situation exacerbated by limited water resources and climate change (Du Preez and Van Huyssteen, 2020). A better understanding of salt dynamics in such conditions may aid in better nutrient management for sustainable crop production in saline soils. Hence, the primary objective of this study was to elucidate the dynamics of salt ions in saline profiles of various soil types under malt barley cultivation across 2 seasons where no leaching between the seasons took place. We hypothesized that the absence ofleaching between seasons will lead to a differentiated progressive accumulation of salt ions in the soil profile, with variable effects on the soil depending on soil texture.
MATERIALS AND METHODS
Experimental site
A lysimeter experiment (Fig. 1) was conducted at the experimental research facility of the Department of Soil, Crop and Climate Sciences (SCCS), the University of the Free State (UFS) at Kenilworth near Bloemfontein (29° 01' 00" S, 26° 08' 50" E), South Africa, by Mathinya et al. (2019). The experiment was conducted over 2 successive winter growing seasons on sandy (Clovelly) and sandy loam (Bainsvlei) soil to investigate the response of malt barley water use and grain yield to saline irrigation under shallow groundwater table conditions. During the 2 seasons, the mean minimum temperatures were 9.4 and 7.9°C for the first and second seasons, respectively.

The corresponding mean maximum temperatures were 28.9 and 27.3°C. With a reference evapotranspiration (ET0) of 6.4 mm and a maximum relative humidity (RHx) of 67.9%, the second season was drier than the first season, which recorded an ET0 of 5.2 mm and a RHx of 66.3% (Mathinya et al., 2019). The lysimeter facility was deemed appropriate not only because it was constructed to closely resemble the natural soil profiles under malt barley irrigation in the Northern Cape but also because its movable shelter offered protection against rainfall events with the potential to interfere with the experiment by dilution of the irrigation treatments.
Barley was irrigated with 5 irrigation water quality levels (EC,), i.e., T1 (1.5), T2 (4.5), T3 (6), T4 (9), and T5 (12 dS·m-1). These treatments were prepared using a combination of 6 salts as follows: sodium chloride (NaCl), calcium chloride (CaCl2), magnesium sulfate (MgSO4), sodium sulfate (Na2SO4), potassium chloride (KCl), and magnesium chloride (MgCl2). The ratios and combination of salts to obtain the required EC and sodium adsorption ratio (SAR) values were established through laboratory experimentation based on long-term values of the Lower Vaal River and its tributaries. The same water used for irrigation was also used to maintain the height of the water table. So, the salinity of this constant (1.2 m) groundwater table corresponded to that of the ECi. A split-plot design with 3 replicates was used where the main plots were assigned by irrigation water quality while sub-main plots were assigned for soil type.
Soil and plant analysis
Without any leaching of the profiles in between the seasons (Season 1 - the beginning of the first season; transition season -end of the first season, which is also the beginning of the second season; Season 2 - the end ofthe second season), soil samples were collected from each lysimeter at the beginning and end of each season at 300 mm depth intervals up to a depth of 1 800 mm (540 soil samples in total). The samples were then stored in cool dark rooms in the basement of the SCCS Department, and portions were used for different analyses as necessary. For the current investigation, the remaining portions of the soil samples were analysed for pH and cations, i.e., calcium (Ca), magnesium (Mg), potassium (K), sodium (Na), and phosphorus (P), using standard procedures (The Non-affiliated Soil Analysis Work Committee, 1990) by the accredited laboratory of the SCCS Department at the UFS. Table 1 presents the results of the soil analyses before the commencement of the experiment; further details on the soil properties and the agronomic aspects of the study may be found in Mathinya et al. (2019).
Additionally, the harvested barley grains per treatment and soil type were kept in a ventilated refrigerator at temperatures ranging from 0 to 1°C (Mathinya et al., 2021). For the current study, the grains from 2 harvests (end of the first season and end of the second season) were passed through a stainless-steel grinder with a 20-mesh sieve and mixed thoroughly to produce a homogenized sample. These homogeneous samples were digested using perchloric acid and analysed for cation content using atomic absorption or flame emission spectrophotometry as per standardized laboratory procedures for analyses of plant samples (Agrilasa, 1993).
Quality control and quality assurance
As communicated by the laboratory, all equipment was well maintained and calibrated throughout the analysis period as the laboratory actively participates in a Proficiency Testing Scheme for both soil and plant analysis. As such, certified reference materials and proficiency testing samples were included in sample analysis as a quality control and assurance measure.
Statistical analysis
The relationships between soil solution composition and barley grain nutrient content were expressed with Spearman's rank correlation analysis using MS Excel 2013. The treatment mean values and standard deviations (SD) were calculated for all results. Data were tested for normal distribution before analysis of variance. All data exploration and statistical analyses were conducted in R Studio (version 4.3.1, 2023). The R package, gg plot, was used for all figures.
RESULTS
Soil chemical properties
Results of all the measured soil chemical properties at the beginning of the first season (Season 1), the end of the first season - which was also the beginning of the second season as there was no leaching between the seasons (transition season), and the end of the second season (Season 2) are presented in Table A1 (Appendix). Below we present the variation of these results with soil type throughout the seasons.
Calcium
The highest Ca concentrations were recorded in the transition season (Fig. 2). In this transition season, treatments of lower ECi (Treatments 1 and 2) had higher concentrations of Ca than treatments with higher ECi (Treatments 3, 4 and 5). The sandy Clovelly soil recorded lower Ca concentrations for all the treatments than the sandy loam Bainsvlei soil. At the beginning of the first season, Ca concentrations were stable in both soil types for all treatments. Calcium concentrations in the second season were generally lower than that of the transition season. Treatment 1 (ECi = 1.5 dS·m-1) showed the biggest decrease from the transition season to the second season in both soils relative to the rest of the treatments.
Magnesium
The Bainsvlei soil had higher concentrations of Mg than the Clovelly soil (Fig. 3). Generally, Treatment 4 (9 dS·m-1) had the highest Mg concentrations. The transition season had the highest variation in the concentration ofMg. Generally, Mg concentrations were decreased in every treatment on the Clovelly soil in all seasons. The opposite was true for the Bainsvlei soil. Treatment 5 did not follow the general increase in Mg concentration trend with an increase in ECi.
Potassium
Of all the measured ions, K showed the most variation throughout the seasons (Fig. 4). However, it had stabilised by the end of the second season. At the end of the second season, K concentrations were generally higher on the Clovelly soil than on the Bainsvlei soil. This is the opposite trend to what was observed for Ca. Potassium concentrations still increased with an increase in ECi.
Sodium
Sodium increased with an increase in ECi (Fig. 5). Like Ca and Mg, concentrations of Na were highest in the Bainsvlei soil. Like K concentrations, Na concentrations had stabilised by the end of the second season. However, unlike with the concentrations of K, Treatment 5 had lower Na and did not follow the general trend of increasing with an increase in ECi.
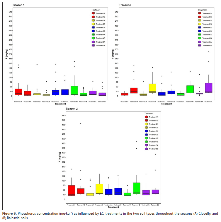
Phosphorus
Phosphorus had the lowest concentrations of any measured ion. These concentrations (Fig. 6) showed no marked increase from season to season. Generally, concentrations of P were higher in the Bainsvlei soil. Phosphorus concentrations did not show marked increases with increasing ECi.
Distribution and redistribution of salt ions (concentration with depth)
Across all seasons, the Ca concentration was the highest in the top 300 mm and lowest at the Clovelly soil's 1 200-1 500 mm soil depth (Fig. 7A). By the end of the second season, the rest of the profiles had similar concentrations, except for the first 300 mm layer, which still had higher Ca concentrations. Similar observations could be made for the Bainsvlei soil, except that Ca concentrations were lowest at the 900-1 200 mm layer in this soil (Fig. 7B). The rest of the ions also showed differences regarding where they were most and least accumulated in the different soils and seasons (Table 2).
Generally, ion concentrations were lowest at the 600 mm soil depth in the Bainsvlei soil. Although with some variation, ion concentrations were highest at the 300 and 1 800 mm depths for all seasons. For the Clovelly soil, on the other hand, no generalizations could be made. Depths of the highest and lowest concentrations seem to be ion-specific in all seasons. For example, Na and K are highest at the 1 800 mm depth and lowest at the 600 mm depth. On the other hand, Ca and Mg are the highest at the 300 mm depth and lowest at the 1 500 and 1 800 mm depths, respectively.
Although clear trends could be observed with regard to the differences in cation dynamics in the different soil types, a more detailed perspective of the respective ion dynamics with depth could have been provided by a concurrent look at anions at the respective depths.
Relationships between soil and barley grain ion concentrations
Results of the soil chemistry (Table A1, Appendix) were correlated to the results of grain ion concentrations (Table A2, Appendix) to produce the two correlation matrices discussed here. The concentration of all ions in the grain, except Ca, was as reported by Wozniak et al. (2014). This was only true for the end of the first season. These concentrations were variably higher at the end of the second season. In the first season, most negative correlations, whether strong or not, were found in the Bainsvlei soil (Table 3). The only significant correlation from this soil was between grain Mg and grain Na, which were positively correlated. In the Clovelly soil, relationships were mostly positive and strong. In this soil, Mg and K were significantly positively correlated. The only other significant correlation was between soil Ca and grain K.
The second season differed from the first season in that the most observed negative relationships were now found in the Clovelly soil (Table 4). On the Bainsvlei soil, most negative relationships were with soil Ca. Significantly positive correlations were between soil K, grain Na, grain Ca, and grain K. On the Clovelly soil, soil Na had a significant positive correlation with 3 parameters, i.e., soil Ca, Mg, and K.
Soil Mg also had a significantly positive correlation with soil K. The other significantly positive correlations were between grain K and Ca and grain K and Mg. The last two significantly positive correlations were that of grain Na and Mg and, grain Na and grain K.
DISCUSSION
The availability and uptake of nutrients by plants in saline environments are affected by many factors. Salts can accumulate on the soil surface along with the upward capillary transport in saline irrigated soil profiles with a saline water table, thereby completely changing the distribution and redistribution of ions in the soil profile. If no leaching occurs at the end of the season on such a profile, how would the new ion dynamics influence the growing environment for the next crop? This is an area of salinity research that warrants immediate attention as irrigation water of good quality is continuously diminishing. Yet, such research is scanty, and with this study we contribute to this area of inquiry with three perspectives: soil chemical properties, ion distribution, and redistribution with depth, and look at the relationships of ion concentrations between the soil and the grain.
Soil chemical properties
Our results have indicated that at lower salinities, Ca concentrations are higher (Fig. 2). This reduced availability of Ca with increasing salinity has been attributed to ion precipitation with anions (Grattan and Grieve, 1999). Furthermore, saline soils are known to harbour conditions of high ionic strength that reduce the availability of some ions, such as Ca in this case. Therefore, plant Ca requirements will be expected to increase as salinity increases, and Ca deficiencies may be more common in saline profiles. Since a primary effect of Ca deficiency is the restriction of root growth and penetration, Ca deficiency induced by salinity stress may further aggravate moisture stress by limiting root proliferation (Fageria and Moreira, 2011), with an implication that fertilization recommendations for saline profiles need to account for the inherently lower Ca availability in such profiles.
Salinity disrupts the expected ion compositions and interactions in the soil, with the soil texture contributing to these dynamics. Unlike Ca, Mg and Na, K was higher in the sandy Clovelly soil than in the sandy loam Bainsvlei soil. On the other hand, P showed no marked increases or decreases throughout the seasons, regardless of the soil type. This is contrary to the findings of Xie et al. (2022) who showed that an increase in salinity led to reduced P availability. In addition to ionic strength effects that reduce ion availability, P concentrations in the soil are also influenced by sorption processes (Grattan and Grieve, 1999), which may explain the differences in our findings. Hence, the coupled effect of saline water irrigation and saline shallow groundwater table presents an even more complex soil profile (Mathinya et al., 2019). Furthermore, the concentration and ratios of accompanying elements can influence the availability, uptake, and transport of a particular nutrient and may indirectly affect the uptake and translocation of others (Pessoa et al., 2022; Muhammed et al., 2023). This may also explain why P showed no marked increases with increasing ECi. Additionally, we acknowledge that the contrary findings may be due to the missing link to the anions, which were not analysed in this study.
Distribution and redistribution of ions with depth
This study noted higher concentrations of ions closer to the water source (both irrigation water at the soil surface and water table). However, this observation was only for the sandy loam Bainsvlei soil. On this soil, lower concentrations were recorded at the 600 mm depth. On the other hand, accumulation with depth had no general trend for the sandy Clovelly soil and appeared instead to be ion-specific. For example, concentrations of Ca and Mg were highest at the 300 mm level but lowest at 1 500- and 1 800-mm depths, respectively. It was also noted that Na and K were highest closer to the water table and lowest at the 600 mm depth. This is where, as referred to by Zhang et al. (2021), the desalinization zone would occur. A desalinized zone of 500 to 600 mm was observed by Zhu et al. (2023) in an irrigated cropland area. However, a desalinized zone has, to the best of our knowledge, never been determined for the conditions represented by our experimental setup, making the findings of this study critical and pertinent to management of saline soil profiles. This an important parameter that can be used for planning purposes regarding the type of crop to be planted in saline soils of a sandy loam nature.
Similar results of higher ion concentrations in levels closer to the water source were noted by Ahmed et al. (2012), although the authors did not account for the influence of soil type. Furthermore, Zong et al. (2022) noted the influence of potential evapotranspiration on ion dynamics with depth in a saline profile. As indicated by the findings of these authors, salt concentrations were higher in the shallow soil layers where the impact ofpotential evapotranspiration was higher. With our findings, the implication is, therefore, that crops could perhaps be successfully cultivated in saline soils provided their effective rooting zone coincides with the desalinised zone. This is an area on which future research efforts could be focused for improved management of saline soils for crop production.
Relationships between soil and the barley grain ion concentrations
With the exception of Ca, soil salinity at progressively higher levels increased the accumulation of ions in the barley grain, as expected (Talbi et al., 2011). Our findings are similar to those of Zeiner et al. (2022) who demonstrated that the salinity treatments applied significantly influenced the single-element contents in the different parts of the plant. Without periodic leaching, Ca shows more antagonistic effects with other ions in the Bainsvlei soil but not the Clovelly soil. At lower salinity (end of the first season), the sandy loam Bainsvlei soil gave more negative correlations than the Clovelly soil. However, the opposite becomes true at higher salinity (end of Season 2). Therefore, in saline conditions, ion deficiencies are predominant. Uptake of K, in contrast to the uptake of Na and Mg, was suppressed by increasing levels of soil salinity. Like Grattan and Grieve (1999), we found Na-K antagonistic eflects in barley. Furthermore, the suppressive effect on K was also by Ca, although this was only the case in the sandy Clovelly soil and only at the end of the second season (with no leaching). This is yet another indicator of the critical role the soil type plays in salinity dynamics and management. It is even more essential to take note of the soil type for crop production in arid soil environments due to the immobility of some ions, such as P. Suffice it to say that crop production under saline soil profiles is knowledge- and management-intensive and requires a detailed view of the ion or nutrient dynamics in such profiles, which the current study has shed light on.
CONCLUSION
Saline water resources are more abundant than fresh water. Bringing these resources into sustainable, productive use will offer opportunities to reduce competition for freshwater resources, especially in arid and semi-arid areas where this resource is scarce. However, this study has demonstrated that saline profiles are prone to nutritional disorders, most especially Ca deficiency. The absence of leaching in between growing seasons further exacerbates ion imbalances and deficiencies in saline profiles, making crop production with saline resources knowledge- and management-intensive. The movement of salt ions in sandy loam soil has a predictable pattern, which can be useful for formulating management strategies. On the other hand, the same cannot be said for sandy soils, making them far more challenging to manage effectively without the luxury of leaching in between the seasons. Even so, there is a potential for sustainable crop production in these environments if the effective rooting zone of the crop could be matched to the desalinised zone that we determined in this study.
Our results supported our hypothesis that the absence of leaching between seasons will lead to a differentiated progressive accumulation of salt ions in the soil profile, with variable effects on the soil depending on soil texture. Hence, we conclude that the desalinized zone, which we determined to be at a depth of 600 mm, should be used to guide crop selection for production in saline soils irrigated with water of poor quality. However, dynamics in other soil types may be different and could potentially also change the location of the desalinized zone. This is an area on which future research efforts could be focused for improved management of saline soils. Furthermore, in addition to the obvious need for provision for leaching of saline profiles, management of saline profiles for crop production must include fertilization that targets the restoration of ion balances, especially provisioning for Ca deficiencies.
AUTHOR CONTRIBUTIONS
Mathinya VN: conceptualization, formal analysis; funding acquisition, methodology, original draft. Molomo ML: laboratory analysis, data curation, visualization, review, and editing.
DECLARATION OF COMPETING INTEREST
The authors declare no conflict of interest.
ACKNOWLEDGMENTS
Mr T Boingotlo for technical assistance in the laboratory. The Department of Soil, Crop and Climate Sciences of the University of the Free State in the faculty of Natural and Agricultural Sciences, for partial funding for the laboratory analysis of both soil and plant samples.
REFERENCES
AGRILASA ALAoSA (1993) Method_Nr_6.5.1AVV. https://www.agrilasa.co.za (Accessed 12 August 2024). [ Links ]
AHMED BC, MAGDICH S, ROUINA BB, BOUKHRIS M. and ABDULLAH BF (2012) Saline water irrigation effects on soil salinity distribution and some physiological responses of field grown Chemlali olive. J. Environ. Manage. 113 538-544. https://doi.org/10.1016/j.jenvman.2012.03.016 [ Links ]
AL-SEEDI S (2008) The effect of salinity on germination, growth characters, and emergence of barley Hordeum vulgaris L. in different soil textures. J. Thi-Qar Univ. 1 (4) 17-26. [ Links ]
ANJUM NA, SINGH HP, KHAN MIR, MASOOD A, PER TS, NEGI AB, DAIZY RK, NAFEES AD, ARMANDO CP and EDUARDA AI (2015) Too much is bad - an appraisal of phytotoxicity of elevated plant-beneficial heavy metal ions. Environ. Sci. Pollut. Res. 22 (5) 3361-3382. https://doi.org/10.1007/s11356-014-3849-9 [ Links ]
BABCOCK KL, CARLSON RM, SCHULZ RK and OVERSTREET R (1959) A study of the effect of irrigation water composition on soil properties. J. Agric. Sci. 29 (3) 155-164. https://doi.org/10.3733/hilg.v29n03p155 [ Links ]
BARNARD JH, VAN RENSBURG LD and BENNIE ATP (2009) Leaching irrigated saline sandy to sandy loam apedal soils with water of a constant salinity. Irrig. Sci. 28 (2) 191-201. https://doi.org/10.1007/s00271-009-0175-y [ Links ]
BELLO SK, ALAYAFI AH, AL-SOLAIMANI SG and ABO-ELYOUSR KA (2021) Mitigating soil salinity stress with gypsum and bio-organic amendments: a review. Agronomy 11 (9) 1735. https://doi.org/10.3390/agronomy11091735 [ Links ]
BERNSTEIN L, FRANCOIS LE and CLARK RA (1974) Interactive effects of salinity and fertility on yields of grains and vegetables 1. Agron. J. 66 (3) 412-421. https://doi.org/10.2134/agronj1974.00021962006600030023x [ Links ]
CHEMURA A, KUTYWAYO D, CHAGWESHA TM and CHIDOKO P (2014) An assessment of irrigation water quality and selected soil parameters at Mutema Irrigation Scheme, Zimbabwe. J. Water Resour. Protect. 06 (02) 132-140. https://doi.org/10.4236/jwarp.2014.62018 [ Links ]
DE CLERCQ W, DE WITT M and LAKER G (2021) Challenges and opportunities for water conservation in irrigated agriculture in South Africa. S. Afr. J. Plant Soil 38 (3) 238-246. https://doi.org/10.1080/02571862.2021.1891475 [ Links ]
DIKGWATLHE SB, CERONIO GM and RENSBURG LDV (2008) Wheat (Triticum aestivum L.) growth and yield response to saline irrigation water under controlled conditions. S. Afr. J. Plant Soil 25 (3) 172-177. https://doi.org/10.1080/02571862.2008.10639913 [ Links ]
DU PLESSIS MCF (1986) Soil degradation. S. Afr. J. Nat. Sci. Technol. 5 126-168. https://doi.org/10.4102/satnt.v5i3.987 [ Links ]
DU PREEZ CC and VAN HUYSSTEEN CW (2020) Threats to soil and water resources in South Africa. Environ. Res. 183 109015. https://doi.org/10.1016/j.envres.2019.109015 [ Links ]
FAGERIA NK and MOREIRA A (2011) Chapter Four. The role of mineral nutrition on root growth of crop plants. In: Sparks DL (ed) Advances in Agronomy. Academic Press, San Diego. 251-331. https://doi.org/10.1016/B978-0-12-385531-2.00004-9 [ Links ]
GRATTAN SR and GRIEVE CM (1999) Salinity-mineral nutrient relations in horticultural crops. Sci. Hort. 78 127-157. https://doi.org/10.1016/S0304-4238(98)00192-7 [ Links ]
HAJ-AMOR Z, HASHEMI H and BOURI S (2018) The consequences of saline irrigation treatments on soil physicochemical characteristics. Euro-Med. J. Environ. Integr. 3 (1). https://doi.org/10.1007/s41207-018-0064-y [ Links ]
MAHDY AM (2011) Comparative effects of different soil amendments on amelioration of saline-sodic soils. Soil Water Res 6 (4) 205-216. https://doi.org/10.17221/11/2011-SWR [ Links ]
MATHINYA VN, BARNARD JH, BELLO ZA and VAN DER WATT E (2021) Response of malt barley grain quality characteristics to increasing irrigation water salinity. S. Afr. J. Plant Soil 38 (2) 159-170. https://doi.org/10.1080/02571862.2021.1888391 [ Links ]
MATHINYA VN, RENSBURG LD, MAVIMBELA SSW and BARNARD JH (2019) Malt barley (Hordeum vulgare L.) Water use and grain yield response to saline irrigation under shallow groundwater table conditions. Irrig. Drain. 68 (5) 867-880. https://doi.org/10.1002/ird.2389 [ Links ]
MUHAMMED M, WAHEED A, WAHAB A, MAJEED M, NAZIM M, LIU YH, LI L and LI WJ (2023) Soil salinity and drought tolerance: An evaluation of plant growth, productivity, microbial diversity, and amelioration strategies. Plant Stress 100319. https://doi.org/10.1016/j.stress.2023.100319 [ Links ]
MUJEEB-KAZI A, MUNNS R, RASHEED A, OGBONNAYA FC, ALI N, HOLLINGTON P, DUNDAS I, SAEED N, WANG R, RENGASAMY P, SADDIQ MS, DE LEON JLD, ASHRAF M and RAJARAM S (2019) Breeding strategies for structuring salinity tolerance in wheat. Adv. Agron. 155 121-187. https://doi.org/10.1016/bs.agron.2019.01.005 [ Links ]
MUNNS R (2002) Comparative physiology of salt and water stress. Plant Cell Environ. 25 (2) 239-250. https://doi.org/10.1046/j.0016-8025.2001.00808.x [ Links ]
PESSOA LG, FREIRE MBDS, GREEN CH, MIRANDA MF, DE A FILHO JC and PESSOA WR (2022) Assessment of soil salinity status under different land-use conditions in the semiarid region of Northeastern Brazil. Ecol. Indic. 141 109139. https://doi.org/10.1016/j.ecolind.2022.109139 [ Links ]
RAKKAMMAL K, MAHARAJAN T, CEASAR SA and RAMESH M (2023) Biostimulants and their role in improving plant growth under drought and salinity. Cereal Res. Commun. 51 (1) 61-74. https://doi.org/10.1007/s42976-022-00299-6 [ Links ]
RENGASAMY P (2018) Irrigation water quality and soil structural stability: a perspective with some new insights. Agronomy 8 (5). https://doi.org/10.3390/agronomy8050072 [ Links ]
TALBI ZO, ABDELLY C and DEBEZ A (2011) Interactive effects of salinity and phosphorus availability on growth, water relations, nutritional status and photosynthetic activity of barley (Hordeum vulgare L.). Plant Biol. 13 (6) 872-880. https://doi.org/10.1111/j.1438-8677.2011.00450.x [ Links ]
THE NON-AFFILIATED SOIL ANALYSIS WORK COMMITTEE (1990) Handbook of Standard Soil Testing Methods for Advisory Purposes. Soil Science Society of South Africa, Pretoria. [ Links ]
WOŹNIAK a, MAKARSKI B, STEPNIOWSKA a and MAKARSKI B (2014) Chemical composition of spring barley (Hordeum vulgare L.) grain cultivated in various tillage systems. J. Elementol. https://doi.org/10.5601/jelem.2014.19.2.438 [ Links ]
XIE W, YANG J, GAO S, YAO R and WANG X (2022) The effect and influence mechanism of soil salinity on phosphorus availability in coastal salt-affected soils. Water 14 (18) 2804. https://doi.org/10.3390/w14182804 [ Links ]
ZHANG Y, LI X, SIMÜNEK J, SHI H, CHEN N, HU Q and TIAN T (2021) Evaluating soil salt dynamics in a field drip-irrigated with brackish water and leached with freshwater during different crop growth stages. Agric. Water Manage. 244 106601. https://doi.org/10.1016/j.agwat.2020.106601 [ Links ]
ZHAO X, XIA J, CHEN W, CHEN Y, FANG Y and QU F (2019) Transport characteristics of salt ions in soil columns planted with Tamarix chinensis under different groundwater levels. PLoS One 14 (4) e0215138. https://doi.org/10.1371/journal.pone.0215138 [ Links ]
ZHU C, DING J, ZHANG Z, WANG J, CHEN X, HAN L, SHI H and WANG J (2023). Soil salinity dynamics in arid oases during irrigated and non-irrigated seasons. Land Degrad. Dev. 34 (13) 3823-3835. https://doi.org/10.1002/ldr.4632 [ Links ]
ZONG R, HAN Y, TAN M, ZOU R and WANG Z (2022) Migration characteristics of soil salinity in saline-sodic cotton field with different reclamation time in non-irrigation season. Agric. Water Manage. 263 107440. https://doi.org/10.1016/j.agwat.2021.107440 [ Links ]
Correspondence:
VN Mathinya
Email: MathinyaVN@ufs.ac.za
Received: 20 June 2023
Accepted: 8 October 2024
APPENDIX












