Serviços Personalizados
Journal
Artigo
Indicadores
Links relacionados
-
Citado por Google -
Similares em Google
Compartilhar
Water SA
versão On-line ISSN 1816-7950versão impressa ISSN 0378-4738
Water SA vol.43 no.4 Pretoria Out. 2017
https://doi.org/10.4314/wsa.v43i4.06
Water and salt balances of two shallow groundwater cropping systems using subjective and objective irrigation scheduling
Johannes Hendrikus Barnard*; Leon Daniel van Rensburg; Alan Thomas Peter Bennie; Christiaan Cornelius du Preez
Department of Soil, Crop and Climate Sciences, University of the Free State, P.O. Box 339, Bloemfontein 9300, South Africa
ABSTRACT
Evidence suggests that, in general, subjective rather than objective irrigation scheduling decisions are adopted by farmers. Irrigators have 'calibrated' themselves with years of experience to irrigate subjectively according to perceived crop water requirements. This study aimed to determine the associated benefits of objective versus subjective scheduling of two shallow groundwater cropping systems. Weekly measurements included rainfall and irrigation amounts, soil water content, groundwater table depth, artificial drainage volumes, and electrical conductivity of irrigation water, groundwater and drainage water. Simulations of evaporation and transpiration were done with the SWAMP model. Based on soil water and salinity status, matric and osmotic stress during the four cropping seasons is considered unlikely. When rainfall-plus-irrigation was compared to evapotranspiration, objective scheduling resulted in an under-supply of 15%, and rainfall and shallow groundwater served as supplementary water sources. Subjective scheduling did not use rainfall efficiently as a source of water and resulted in an over-supply of 10%. Approximately 50% less salt was leached with objective compared to subjective irrigation scheduling. Under shallow groundwater conditions, irrigating subjectively according to crop water requirement results in excessive irrigation, salt addition and leaching compared to objective scheduling. Farmers can address some of the environmental problems associated with irrigation by adopting objective scheduling and reducing the leaching fraction (< 0.15) of shallow groundwater cropping systems.
Keywords: evapotranspiration, leaching, salinity, water conservation, water degradation
INTRODUCTION
On-farm water and salt management must be continually evaluated and improved. Salt tends to accumulate in poorly drained soils under irrigation if inadequate water and salt management practices are applied. Furthermore, over-irrigation may deteriorate the quality of water resources, because of salt pollution resulting from excessive drainage and leaching (United States Salinity Laboratory Staff, 1954; Van Schilfgaarde, 1990; Letey, 1994; Rhoades, 1997; Hillel, 2000; Oster and Wichelns, 2003; Hillel and Vlek, 2005; Kijne, 2006; Le Roux et al., 2007; Van Rensburg et al., 2008; Van Rensburg et al., 2011). The days when the sole purpose of irrigation was to increase crop production are now in the distant past. Farmers are under increasing pressure, specifically to prevent the degradation of water resources, and also to produce higher yields with less water (Hillel and Vlek, 2005; Pott et al., 2009; Kijne, 2011). Advocates for a more sustainable irrigation sector attempt to empower farmers and encourage them to continually evaluate and improve on-farm water and salt management (Kijne, 2006).
Research over recent decades has contributed tremendously to the advancement of on-farm water and salt management (Oster and Wichelns, 2003; Hillel and Vlek, 2005; Kijne, 2006; Kijne, 2011). Means became available to utilize rainfall and groundwater within or just below the potential root zone, as a water source to supply in crop water requirements (Ayars et al., 2006; Jhorar et al., 2009; Isidoro and Grattan, 2011; Singh, 2013). Theory and practices for the reduction of drainage water and subsequent use for crop production is better understood than ever before (Rhoades et al., 1992; Singh, 2004; Malash et al., 2005; Sharma and Minhas, 2005). Advances in soil water measuring technology have made soil water monitoring easy and more affordable for farmers and service providers (Van der Westhuizen and Van Rensburg, 2011; Van Rensburg, 2010; Annandale et al., 2011).
Despite this tremendous progress, excessive drainage, leaching, soil salinization and waterlogging still occur, and even increase annually in irrigation schemes across the world (Heuperman et al., 2002). This is also the case in the Lower Vaal River Basin, central South Africa, which includes the Orange, Riet and Modder Rivers. The sandy to clayey soils in the region (± 100 000 ha) are subject to extensive shallow groundwater conditions and have been irrigated for more than 50 years. The major field crops grown on these soils include maize (Zea mays L.), wheat (Triticum aestivum L.), groundnut (Arachis hypogaea L.), cotton (Gossypium hirsitum L.) and barley (Hordeum vulgare L.). The majority of farmers use highly efficient irrigation systems like centre pivots (Herold and Bailey, 1996; Ellington et al., 2004; Viljoen et al., 2006; Ehlers et al., 2007; Van Rensburg et al., 2012).
According to Reinders et al. (2010), an efficient irrigation system will apply water at the desired amount, at an accurate application rate uniformly over the field, at the precise time, and with the smallest amount of non-beneficial water consumption. When these systems are used, farmers should have good control over their water and salt management practices if they employ sound irrigation scheduling decisions. Accurate irrigation scheduling could (i) reduce the amount of irrigation applied by utilizing rainfall and shallow groundwater as supplementary water sources, (ii) minimize irrigation-induced drainage, leaching and salt additions, and (iii) manage plant available water (matric and osmotic stress) to maintain optimum yields. Decisions on when and how much to irrigate need to be based on objective (scientific knowledge and measurements) as opposed to subjective scheduling decisions. Unfortunately, 80% of South African (Stevens et al., 2005) and 67% of Australian (Montagu and Stirzaker, 2008) irrigators do not use scientific irrigation scheduling. There remains therefore a great challenge to improve not only water use efficiency, but also salt management, of vast irrigated fields.
Montagu and Stirzaker (2008) argued that subjective irrigation scheduling methods would continue to dominate in enterprises such as pastures that do not benefit primarily from improved crop water management, unless drivers other than profitability or water productivity emerge. Jackson et al. (2008) proposed that irrigators should be assessed against broader issues that stretch beyond the crop field and are of local, national and global importance. These issues can possibly include energy consumption and greenhouse gas emissions, as well as soil and water resource degradation due to salinization. Another hypothesis might also be that irrigators who employ subjective scheduling have 'calibrated' themselves, in terms of crop water requirements, over decades of irrigation. Hence, it is argued that, because they irrigate according to crop water requirements, salt management will be good - with a perception of no significant benefit when adopting scientific scheduling. The aim of this study was to determine the associated benefits of objective versus subjective scheduling under field conditions.
METHODOLOGY
Two fields, similar in terms of climate, soil, tillage practices and cropping systems, were selected. Dissimilar irrigation scheduling decisions (objective and subjective, respectively) were applied by the farmers. With the subjective scheduling method (Case Study 1) irrigation was based entirely on experience of the farmer. The objective scheduling method (Case Study 2) employed an approach where soil water content was measured weekly with capacitance probes installed to a depth of 600 mm. Irrigation amounts were calculated as the difference between the measured soil water content and a predetermined drained upper limit. For both case studies, a weekly irrigation interval was used.
Location and description of case studies
The research was conducted in the central part of South Africa within the Orange-Riet (Case Study 1) and Vaalharts (Case Study 2) Irrigation Schemes (Fig. 1). Orange-Riet is situated between the Orange River and the Riet River in the Free State, with a small area positioned in the Northern Cape (Fig. 2a). North of Orange-Riet, situated between the Harts River and the Vaal River in the Northern Cape, lies Vaalharts (Fig. 2b).
Orange-Riet and Vaalharts have a semi-arid climate, with an aridity index of 0.23 and 0.26, respectively (Van Rensburg et al. 2012). At both schemes, rainfall mainly occurs in the form of thunderstorms during the summer months. The long-term rainfall from November to April is normally more than 40 mm per month (means for these months amount to 52 and 50 mm for Orange-Riet and Vaalharts, respectively) The soil of Case Study 1 comprises aeolian sandy deposits on lime and is classified as a Hutton form and Ventersdorp family (Soil Classification Working Group 1991). The A and B1 horizons fall in the fine sandy textural class and the B2 and C horizons in the fine loamy sand textural class, all exhibiting an apedal massive structure.
Soil physical properties, including silt-plus-clay content, saturated hydraulic conductivity and bulk density are presented in Table 1. This soil has a groundwater table that fluctuates between 1 600 and 1 900 mm.

The soil of Case Study 2 is, in terms of textural class, saturated hydraulic conductivity and bulk density, for all practical purposes the same as that of Case Study 1. The only difference is that there were enough signs of wetness at a depth of 1 100 mm, due to a fluctuating groundwater table, to classify this soil as a Bloemdal form and Roodeplaat family (Soil Classification Working Group 1991). At both fields, an internal drainage system was installed at a depth of 1 800 mm in order to remove sub-surface drainage water.
Case Study 1 followed a winter wheat-summer maize crop rotation during the measuring period of 2 years. Case Study 2 followed a wheat-maize crop rotation during the first year, but a barley-maize cycle during the second year. Wheat was replaced with barley during the second year due to infection by the fungus Gaeumannomyces graminis var. tritici. Details of other agronomical practices employed at the two fields are summarized in Table 2.
Measurements
Data were collected during four growing seasons to quantify the soil water and salt balances at the two locations. Two measuring positions, or1 and or2 (Case Study 1) and v1 and v2 (Case Study 2), were selected per crop field located above an artificial drainage lateral. Two neutron probe access tubes were installed 1 m apart (2 m deep) in the centre of a 16 m2 area per measuring point. One observation well was also installed 2 m further from the access tubes (63-mm diameter PVC tubes, 3 000 mm deep with the bottom end perforated). Approximately 10 m from the 16 m2 area a square area of 6 m2 was cleared to install a rain gauge level to the soil surface.
Soil water content was measured with a calibrated neutron probe, groundwater table depth manually with a measuring tape and artificial drainage with a bucket and stop watch (L min-1). Artificial drainage was converted to mm water drained by taking the drainage area into consideration. Electrical conductivity of the irrigation water, groundwater and water flowing from the artificial drainage system were measured with a calibrated handheld CON 6/TDS 6 Hand-held Conductivity/TDS Meter (Oakton instruments, Vernon Hills, USA).
These measuring points were assumed to be representative of the fields, since field evaluation indicated that both centre pivots were efficient in water application (Table 3, Appendix 1). It is recognized that the soil water and salt content will vary across the two fields. The focus of the research was, however, not on the spatial quantification of soil water and salt balances, but rather on how the two scheduling approaches affected the processes involved.
At the start and end of each growing season, subsamples of the unsaturated soil above the groundwater table were taken at each measurement position per 300-mm depth interval, using a 75-mm diameter auger. These samples were dried at 40°C and passed through a 2-mm sieve for the determination of electrical conductivity of a saturated extract (ECe, mS m-1) with a standard procedure (The Non-Affiliated Soil Analysis Work Committee 1990). The crops within each 16 m2 area were harvested at maturity, dried (45°C) to a constant weight and threshed to determine the seed mass and total above-ground biomass.
Soil water and salt balance
To solve the soil water balance equation where a fluctuating shallow groundwater table occurs within the potential root zone (maximum rooting depth of most crops, 0-2 000 mm) under field conditions is challenging. Crop water uptake between the soil surface and the capillary fringe (unsaturated zone) is recharged by water from irrigation or rainfall. Crop water uptake between the capillary fringe and the groundwater table (capillary zone) is recharged by (i) percolation from the unsaturated zone or (ii) upward capillary rise from the saturated zone. Water uptake from the saturated zone is recharged by lateral groundwater inflow into the potential root zone or vertical percolation from the capillary zone. When the depth of the groundwater table increases, uptake from the capillary fringe and/or lateral groundwater drainage is more than vertical percolation from the unsaturated zone and/or lateral groundwater inflow and vice versa. The soil water balance equation was rearranged to calculate the net lateral groundwater inflow (+D, mm) and drainage (−D, mm) during a specific week (w) from the change in soil water content of this zone (∆Wsoil, mm), rainfall (R, mm), irrigation (I, mm), evaporation (E, mm), transpiration (T, mm) and artificial drainage (AD, mm) over the same time period (Eq. 1). This is possible because the supply and/or removal of drainage water in the potential root zone will be reflected in soil water content measurements, i.e., the groundwater table is present within the potential root zone.

Validation of the Soil Water Management Program (SWAMP) (Bennie et al. 1998) was previously reported in Table 5 and Fig. 6 of Barnard et al. (2013) and Table 5 and Fig. 4 in Barnard et al. (2015). It was therefore assumed that weekly evaporation and actual transpiration (daily values were summed for a week) due to matric and osmotic stress were simulated accurately with SWAMP. It is recognized however, that calculations done with Eq. 1 depend on evaporation and transpiration estimates. Weekly changes in soil water content, rainfall, irrigation and artificial drainage were measured. From Eq. 1, the weekly salt balance of the potential root zone is described by Eq. 2, with daily simulations of the change in salt content (∆SSoil, kg·ha-1) over 2 000 mm that were summed for the week, and weekly measurements of salt additions through rainfall (SR, kg·ha-1), irrigation (SI, kg·ha-1) and losses through artificial drainage (SAD, kg·ha-1). At the start of each growing season the net amount of salts remaining in the soil from fertilizer application (F, kg·ha-1) was also taken into consideration, i.e., the amount removed by the crop yield was subtracted from the total amount applied (Van Rensburg et al., 2012).

Table 4 summarizes the input data, initial and boundary conditions used in simulations for the two case studies and Table 5 the equations used to calculate the unmeasured parameters required for simulations. A detailed description of the various algorithms and parameters can be found in Barnard et al. (2015).
RESULTS
Water management
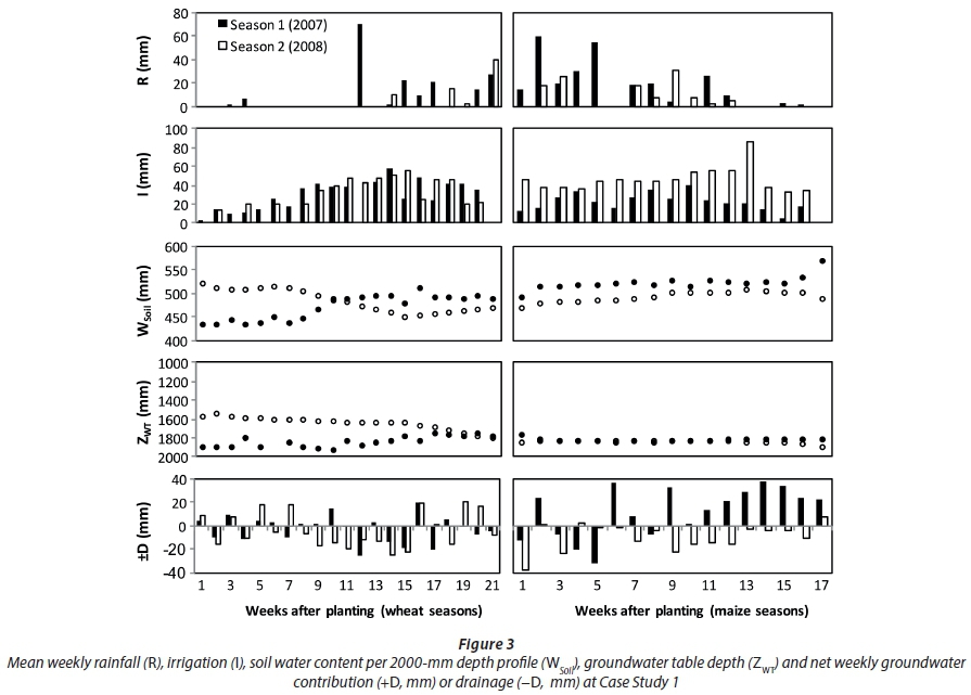
Mean weekly measured rainfall, irrigation, soil water content and groundwater table depth for Case Studies 1 and 2 during the four cropping seasons are shown in Figures 3 and 4, respectively. The mean weekly calculated net lateral groundwater inflow and drainage are included. The seasonal soil water balances for the two measurement positions are also provided per case study in Table 6.
Rainfall at the two case studies was characteristic of a semi-arid climate zone: unpredictable, erratic and poorly distributed. At both case studies, less irrigation was applied during the summer months because of higher rainfall. Water applications increased when the crops reached their peak water demand at the start of the reproductive period (Figs 3 and 4).
The mean groundwater table depth of 1 840 mm and standard deviation of 46 mm was deep enough to allow sufficient storage in the unsaturated zone for rainfall and irrigation, or groundwater and artificial drainage was sufficient to remove excess water. During the early part of the second wheat season (Week 1, 2008), the groundwater table level rose sharply to 1 500 mm, because of high rainfall (115 mm) that fell during the drying phase (data not shown) of maize grown during the first season (2007) when evapotranspiration was low (Fig. 3). During the later part of the second wheat season the groundwater table depth dropped back to around 1 800 mm.
The groundwater table at Case Study 2 was much shallower compared to Case Study 1, i.e., on average, 298 and 677 mm shallower over the two winter and summer seasons, respectively. In addition, the groundwater table depth fluctuated more than in Case Study 1 (standard deviation was 55% higher). Weekly changes in the groundwater table depth at Case Study 2 correlated well (r = −0.73) to periods during which weekly rainfall contributed more than 50% to weekly evapotranspiration. This was attributed to smaller storage capacity of the unsaturated zone above the capillary fringe for rain and irrigation compared to Case Study 1. Shortly after these high rainfall and irrigation events, the groundwater table depth dropped sharply again. This showed that the drainage system at Case Study 2 was functioning well, which in addition to lateral groundwater drainage quickly removed excess water.
Subjective scheduling did not utilize rainfall efficiently as a source of water. During three of the four cropping seasons, more water (rainfall-plus-irrigation) was supplied than evapotranspired by the crops.
During the first maize season, 20% less rainfall-plus-irrigation was supplied than required by the crop. However, during the first wheat, second wheat and second maize seasons, respectively, 17%, 7% and 23% over-irrigation occurred. Thus, in total over the four cropping seasons rainfall-plus-irrigation exceeded evapotranspiration by 10%. This over-supply resulted in 65 mm of artificial drainage and a net loss of 87 mm through lateral groundwater drainage. The subjective scheduling method, in general, did not utilize the saturated zone below the groundwater table to supply in-plant water requirements. Net lateral groundwater contribution (difference between groundwater contribution and drainage) during the first maize season amounted to 28% of evapotranspiration. During the other seasons net groundwater contribution was less than 0.
With the objective scheduling method (Case Study 2), rainfall was better incorporated into the schedule compared to subjective scheduling. During all four seasons evapotranspiration exceeded rainfall-plus-irrigation applied. The deficits amounted to 101, 159, 68 and 16 mm per season, respectively. Hence, over the four cropping seasons evapotranspiration was under-supplied by 15%. The difference between rainfall-plus-irrigation and evapotranspiration was supplemented by groundwater. A respective net gain of water to the potential root zone through the groundwater table of 207, 321, 54 and 234 mm per season was recorded (Table 6). In total over the four growing seasons, the groundwater contributed 36% towards evapotranspiration.
Salt management
Figure 5 shows the salt distribution within the soil profiles in both case studies for five sampling periods. The seasonal salt balances of the two fields are provided in Table 7. The ECe values over the measuring period indicate no salt accumulation for both case studies (Fig. 5). The salinity of the groundwater table remained relatively constant. Over the four seasons, at Case Study 1 a mean electrical conductivity with a standard deviation of 113 ± 14 mS·m-1 was measured and at Case Study 2, 144 ± 13 mS·m-1. Hence, salt was sufficiently leached into the groundwater table to prevent salt accumulation in the soil profiles and removed laterally through groundwater drainage to lower lying soils and/or artificial drainage.
The major sources of salt in the potential root zone were rainfall-plus-irrigation: over the four cropping seasons, 3 637 and 6 585 kg·ha-1 in total for Case Studies 1 and 2, respectively. Of this, rainfall contributed around 3% and 2% at Case Studies 1 and 2, respectively. The higher amount of salt added at Case Study 2 was ascribed to poorer quality irrigation water used compared to Case Study 1, viz. water having electrical conductivity of 68 and 21 mS·m-1, respectively. If the salinity of the irrigation water was assumed to be 68 mS·m-1 over the four cropping seasons at both case studies, the more accurate objective scheduling method reduced salt additions to the soil by 4 701 kg·ha-1 compared to the subjective scheduling method.
Over-irrigation by the subjective scheduling method removed, over the four seasons, approximately 24% more salt from the potential root zone through artificial and lateral groundwater drainage than added through irrigation and lateral groundwater inflow. These ECe results indicated improved soil quality over the measuring period, from a mean ECe above the groundwater table (0-1 800 mm) of 51 to 33 mS·m-1 (Fig. 5).
For the objective scheduling method over the four seasons only 5% more salt was removed from the potential root zone than added through irrigation and lateral groundwater inflow. Hence, with both scheduling methods there was no risk of harming the crop due to salinity as the ECe for yield decrease of maize, wheat and barley is 350, 600 and 800 mS·m-1, respectively (Ehlers et al., 2007). Unfortunately, however, with both scheduling methods a considerable amount of salt was discharged to lower-lying soils. At Case Study 1, 16% of the total salt added was removed by artificial drainage, while the rest (84%) drained laterally to lower-lying soils. For Case Study 2 this amounted to 73% and 27%, respectively.
DISCUSSION
Although the two case studies are similar in terms of climate, topography, soil, tillage practices and cropping systems, the most notable differences are the scheduling practices and irrigation water quality. Considering these differences, the water and salt management practices at the two case studies were discussed.
According to the mean water use efficiency (ET/R+I) (Perry, 2007; Heydari, 2014), less water was applied than used by the crop with objective scheduling during the winter (1.17) and summer (1.19) seasons compared to subjective scheduling (0.88 during winter and 0.99 during summer). This was possible because rainfall and the groundwater table were utilized better as sources of water for crop water requirements. Net lateral groundwater drainage, which led to lateral water movement to lower-lying soils and/or artificial drains, was over the four cropping seasons 204 mm less with objective compared to subjective scheduling. In terms of crop water productivity (WP), defined as the grain yield per unit water applied through rainfall-plus-irrigation, objective scheduling over four growing seasons produced a mean of 4 kg·ha-1 more grain per unit (mm) water applied than subjective scheduling.
With objective scheduling soil water content can be measured on a daily basis. Hence, prior to irrigation the deficit to fill the soil profile to the drained upper limit minus storage for rainfall can be calculated and irrigation adjusted accordingly. If the technology is available, the capillary contribution from a shallow groundwater table can also be taken into account. Unfortunately, at Case Study 2, the farmer monitored soil water content only in the top 600 mm or 30% of the root zone and the groundwater table oscillated beyond this depth during the four cropping seasons. Our results showed that, over the four cropping seasons, the net lateral groundwater inflow (816 mm), expressed as a percentage of evapotranspiration (2 265 mm), amounted to a total of 36%. According to Ehlers et al. (2003) and Ayars et al. (2006), the groundwater table can supply up to 60% of crop water requirements, depending on soil texture and groundwater table depth and condition. Thus, the amount needed for irrigation could have been reduced further by forcing the crop to use more water from the shallow groundwater table. In practice, this means that farmers should use longer probes for measuring soil water content, or the probes should be used in conjunction with observation wells installed at critical points in the field.
The benefits of accurate irrigation scheduling in terms of reducing salt addition and leaching are substantial. If the same water quality was used at Case Study 1 as at Case Study 2, 4 701 kg·ha-1 less salt would have been added with objective scheduling. At both case studies, all the applied salt through irrigation and lateral groundwater inflow into the potential root zone was leached through lateral groundwater and artificial drainage. When the gains and losses are taken into consideration, the initial salt content was reduced by 1 544 kg·ha-1 at Case Study 1 and 764 kg·ha-1 at Case Study 2.
A mean leaching fraction (−D/R+I) of 0.21 at Case Study 1 and 0.17 at Case Study 2 was sufficient for leaching salt from the soils. The leaching fraction at both case studies can however be reduced under these conditions. This is because of the presence of a groundwater table within or just below the root zone that changes the hydraulic properties of the soil. Water drains much faster through the capillary zone above the groundwater table (Ehlers et al., 2003). Hence, storage for soil water in this nearly saturated capillary zone is limited due to the shallow groundwater table depth. Under these conditions leaching into the groundwater table occurs frequently when irrigation and/or rainfall exceeds the available storage. The artificial drains and groundwater tables are linked to rivers (Ellington et al., 2004), which means users downstream are the recipients of the salt (Du Preez et al., 2000; Viljoen et al., 2006; Van Rensburg et al., 2012). Thus, discharge of salt from the potential root zone needs to be managed in a sustainable way. General recommendations are that periodic leaching should be applied only when the threshold salinity of the crop is reached, because the efficiency of leaching (mm·drainage per kg salt removed) will increase from a low to high soil salinity content (Monteleone et al., 2004; Barnard et al., 2010). It is anticipated that in these shallow groundwater table soils, irrigation can be substantially reduced to prevent leaching (reduce the leaching fraction). Because storage for soil water is limited in these soils, rain events above 40 mm will contribute tremendously to salt leaching. Hornbuckle et al. (2005) showed that use of a weir drainage system to control groundwater table depths, combined with deficit irrigation scheduling to maximize crop use of shallow groundwater tables, results in significant reductions in drainage volumes and salt loads compared to unmanaged systems.
CONCLUSIONS
With objective and subjective scheduling, the two farmers obtained optimum yields by managing plant available water to prevent soil matric stress. Over four cropping seasons the farmers irrigated only 53% of crop water requirements with objective scheduling, compared to 85% when subjective scheduling was employed. When rainfall was taken into account an over-supply of 10% occurred with subjective scheduling, whereas objective scheduling resulted in an under-supply of 15%. Hence, the benefit of objective scheduling was a reduced irrigation water requirement by better utilizing rainfall and shallow groundwater within the potential root zone as supplementary water sources.
Both farmers leached more than the applied salt from the potential root zone. Soil salinity above the groundwater table reduced from 51 to 33 mS m-1 and 69 to 67 mS m-1 with subjective and objective scheduling, respectively. The mean salinity of the groundwater table during the four cropping seasons amounted to 123 and 146 mS m-1, respectively. Hence, the likelihood for osmotic stress was small during the cropping seasons.
The continuous removal of salt is generally not considered as good practice, because ideally salt should be accumulated and periodically leached during high rainfall events and/or fallow periods. Hence, under these conditions, when adopting objective scheduling, a leaching fraction of less than 0.15 could be used. In such a way, farmers can reduce the environmental problems associated with irrigation, namely degradation of water resources due to excessive leaching, and produce optimum yields with less water. Future research may include more case studies on a larger scale to verify the results and an investigation into the economic feasibility of alternative irrigation strategies.
ACKNOWLEDGEMENTS
We acknowledge the Water Research Commission (www.wrc.org.za; Project Number K5/1647) and the Water Cluster of the University of the Free State for funding the research, as well as the farmers at the Orange-Riet and Vaalharts Irrigation Schemes for allowing measurements on their farms. The linguistic editing of the manuscript by Ms Liesl van der Westhuizen is also highly appreciated.
REFERENCES
ANNANDALE JG, STIRZAKER RJ, SINGELS A, VAN DER LAAN M and LAKER MC (2011) Irrigation scheduling research: South African experiences and future prospects. Water SA 37 751-764. https://doi.org/10.4314/wsa.v37i5.12 [ Links ]
AYARS JE, CHIRSTEN EW, SOPPE RW and MEYER WS (2006) The resource potential of in-situ shallow ground water use in irrigated agriculture: a review. Irrig. Sci. 24 147-160. https://doi.org/10.1007/s00271-005-0003-y [ Links ]
BARNARD JH, VAN RENSBURG LD and BENNIE ATP (2010) Leaching irrigated saline sandy to sandy loam apedal soils with water of a constant salinity. Irrig. Sci. 28 191-201. https://doi.org/10.1007/s00271-009-0175-y [ Links ]
BARNARD JH, VAN RENSBURG LD, BENNIE ATP and DU PREEZ CC (2013) Simulating water uptake of irrigated field crops from non-saline water table soils: validation and application of the model SWAMP. Agric. Water Manage. 126 19-32. https://doi.org/10.1016/j.agwat.2013.04.008 [ Links ]
BARNARD JH, BENNIE ATP, VAN RENSBURG LD and DU PREEZ CC (2015) SWAMP: A soil layer water supply model for simulating macroscopic crop water uptake under osmotic stress. Agric. Water Manage. 148 150-163. https://doi.org/10.1016/j.agwat.2014.09.024 [ Links ]
BENNIE ATP, STRYDOM MG and VREY HS (1998) Use of computer models for agricultural water management on ecotope level. WRC Report No. TT 102/98. Water Research Commission, Pretoria. 250 pp. [ Links ]
DU PREEZ CC, STRYDOM MG, LE ROUX PAL, PRETORIUS JP, VAN RENSBURG LD and BENNIE ATP (2000) Effect of water quality on irrigation farming along the lower Vaal River: The influences on soils and crops. WRC Report No. 740/1/100. Water Research Commission, Pretoria. 157 pp. [ Links ]
EHLERS L, BARNARD JH, DIKGWATLHE SB, VAN RENSBURG LD, CERONIO GM, DU PREEZ CC and BENNIE ATP (2007) Effect of irrigation and water table salinity on the growth and water use of selected crops. WRC Report No. 1359/1/07. Water Research Commission, Pretoria. 150 pp. [ Links ]
EHLERS L, BENNIE ATP and DU PREEZ CC (2003) The contribution of root accessible water tables towards the irrigation requirements of crops. WRC Report No. 1089/1/03. Water Research Commission, Pretoria. 148 pp. [ Links ]
ELLINGTON RG, USHER BH and VAN TONDER GJ (2004) Quantification of the impact of irrigation on the aquifer underlying the Vaalharts Irrigation Scheme. WRC Report No. 1322/1/04. Water Research Commission, Pretoria. 163 pp. [ Links ]
HEROLD CE and BAILEY AK (1996) Long term salt balance of the Vaalharts Irrigation Scheme. WRC Report No. 420/1/96. Water Research Commission, Pretoria. 120 pp. [ Links ]
HEUPERMAN AF, KAPOOR AS and DENECKE HW (2002) Bio drainage - Principles, Experiences and Applications. Knowledge Synthesis Report No.-6. International Program for Technology and Research in Irrigation and Drainage. IPTRID Secretariat, Food and Agriculture Organization of the United Nations, Rome. [ Links ]
HEYDARI N (2014) Water productivity in agriculture: challenges in concepts, terms and values. Irrig. Drain. 63 22-28. https://doi.org/10.1002/ird.1816 [ Links ]
HILLEL D and VLEK P (2005) The sustainability of irrigation. Adv. Agron. 87 54-84. https://doi.org/10.1016/S0065-2113(05)87002-6 [ Links ]
HILLEL D (2000) Salinity management for sustainable irrigation. Integrating science, environment and economics. The World Bank, Washington DC. https://doi.org/10.1596/0-8213-4773-X [ Links ]
HORNBUCKLE JW, CHRISTEN EW, AYARS JE and FAULKNER RD (2005) Controlled water table management as a strategy for reducing salt loads from subsurface drainage under perennial agriculture in semi-arid Australia. Irrig. Drain. Syst. 19 145-159. https://doi.org/10.1007/s10795-005-4420-0 [ Links ]
ISIDORO D and GRATTAN SR (2011) Predicting soil salinity in response to different irrigation practices, soil types and rainfall scenarios. Irrig. Sci. 29 197-211. [ Links ]
JACKSON TM, KHAN S and HAFEEZ M (2008) A framework for evaluating the consumption patterns and environmental impacts of irrigation methods: a case study from South-Eastern Australia. In: Villacampa Esteve Y, CA Brebbia and D Prats Rico (eds) Sustainable Irrigation. Management Technologies and Policies II. WIT Press, Southampton, Boston. https://doi.org/10.2495/SI080241 [ Links ]
JHORAR RK, SMIT AAMFR and ROEST CWJ (2009) Assessment of alternative water management options for irrigated agriculture. Agric. Water Manage. 96 975-981. https://doi.org/10.1016/j.agwat.2009.01.009 [ Links ]
KIJNE JW (2006) Abiotic stress and water scarcity: Identifying and resolving conflicts from plant level to global level. Field Crops Res. 97 3-18. https://doi.org/10.1016/j.fcr.2005.08.011 [ Links ]
KIJNE JW (2011) Teaching irrigation science and water management: accepting professional diversity. Editorial. Irrig. Sci. 29 1-10. https://doi.org/10.1007/s00271-010-0239-z [ Links ]
LE ROUX PAL, DU PREEZ CC, STRYDOM MG, VAN RENSBURG LD and BENNIE ATP (2007) Effect of irrigation on soil salinity profiles along the Lower Vaal River, South Africa. Water SA 33 473-477. [ Links ]
LETEY J (1994) Is irrigated agriculture sustainable? In: Soil and Water Science: Key to Understanding our Global Environment, Special Publications 41. Soil Science Society of America, Madison, USA. 23-37. [ Links ]
MALASH N, FLOWERS TJ and RAGAB R (2005) Effect of irrigation systems and water management practices using saline and non-saline water on tomato production. Agric. Water Manage. 78 25-38. https://doi.org/10.1016/j.agwat.2005.04.016 [ Links ]
MONTAGU KD and STIRZAKER RJ (2008) Why do two-thirds of Australian irrigators use no objective irrigation scheduling methods? In: Villacampa Esteve Y, CA Brebbia and D Prats Rico (eds) Sustainable Irrigation. Management Technologies and Policies II. WIT Press, Southampton, Boston, United States of America. https://doi.org/10.2495/SI08 [ Links ]
MONTELEONE M, GATTA G, GIUZIO L, LA ROTONDA P and DE CARO A (2004) Effect of leaching on salt accumulation in the soil under brackish water irrigation. In: Proc. Int. Workshop and Special Session on Management of Poor Quality Waters for Irrigation, 55th IEC Meet, Moscow. International Commission on Irrigation and Drainage (ICID). 102-112. [ Links ]
OSTER JD and WICHELNS D (2003) Economic and agronomic strategies to achieve sustainable irrigation. Irrig. Sci. 22 107-120. https://doi.org/10.1007/s00271-003-0076-4 [ Links ]
PERRY C (2007) Efficient irrigation; inefficient communication; flawed recommendations. Irrig. Drain. 56 367-378. https://doi.org/10.1002/ird.323 [ Links ]
POTT A, HALLOWES J, BACKEBERG G and ÂCKEL MD (2009) The challenge of water conservation and water demand management for irrigated agriculture in South Africa. Water Int. 34 313-324. https://doi.org/10.1080/02508060903114657 [ Links ]
REINDERS FB, VAN DER STOEP I, LECLER NL, GREAVES KR, VAHRMEIJER JT, BENADé N, DU PLESSIS FJ, VAN HEERDEN PS, STEYN JM, GROVé B, JUMMAN A and ASCOUGH G (2010) Standards and guidelines for improved efficiency of irrigation water use from dam wall release to root zone application: supplementary information. WRC Report No. TT 467/10. Water Research Commission, Pretoria. 26 pp. [ Links ]
RHOADES JD, KANDIAH A and MISHALI AM (1992) The use of saline waters for crop production. Food and Agricultural Organization of the United Nations, FAO Irrigation and Drainage Paper No 48, FAO, Rome. [ Links ]
RHOADES JD (1997) Sustainability of irrigation: An overview of salinity problems and control strategies. In: CWRA 1997 Annual Conf. 'Footprints of Humanity: Reflections on Fifty Years of Water Resource Developments', 3-6 June 1997. Lethbridge, Alberta, Canada. [ Links ]
SHARMA BR and MINHAS PS (2005) Strategies for managing saline/alkaline waters for sustainable agricultural production in South Asia. Agric. Water Manage. 78 136-151. https://doi.org/10.1016/j.agwat.2005.04.019 [ Links ]
SINGH A (2013) Groundwater modelling for the assessment of water management alternatives. J Hydrol. 481 220-229. https://doi.org/10.1016/j.jhydrol.2012.12.042 [ Links ]
SINGH R (2004) Simulations on direct and cyclic use of saline waters for sustaining cotton-wheat in a semi-arid area of north-west India. Agric. Water Manage. 66 153-162. https://doi.org/10.1016/j.agwat.2003.10.007 [ Links ]
SOIL CLASSIFICATION WORKING GROUP (1991) Soil classification: a taxonomic system for South Africa. Memoirs on the Agricultural Natural Resources of South Africa No 15. Department of Agricultural Development, Pretoria, South Africa. [ Links ]
STEVENS JB, DüVEL GH, STEYN GJ and MAROBANE W (2005) The range, distribution and implementation of irrigation scheduling models and methods in South Africa. WRC Report No. 1137/1/05. Water Research Commission, Pretoria. 208 pp. [ Links ]
THE NON-AFFILIATED SOIL ANALYSIS WORK COMMITTEE (1990) Handbook of Standard Soil Testing Methods for Advisory Purposes. Soil Science Society of South Africa, Pretoria, South Africa. [ Links ]
UNITED STATES SALINITY LABORATORY STAFF (1954) Diagnosis and improvement of saline and alkali soils. Agricultural Handbook no. 60. USDA, Washington, DC. [ Links ]
VAN DER WESTHUIZEN RJ and VAN RENSBURG LD (2011) A laboratory procedure for the calibration of capacitance sensors in coir. Eur. J. Hortic. Sci. 76 151-157. [ Links ]
VAN RENSBURG LD (2010) Advances in soil physics: Application in irrigation and dryland crop production. S. Afr J. Plant Soil 27 9-18. https://doi.org/10.1080/02571862.2010.10639966 [ Links ]
VAN RENSBURG LD, BARNARD JH, BENNIE ATP, SPARROW JB and DU PREEZ CC (2012) Managing salinity associated with irrigation at Orange-Riet and Vaalharts Irrigation Schemes. WRC Report No. 1647/1/12. Water Research Commission, Pretoria. 179 pp. [ Links ]
VAN RENSBURG LD, DE CLERCQ WP, BARNARD JH and DU PREEZ CC (2011) Salinity guidelines for irrigation: Case studies from Water Research Commission projects along the Lower Vaal, Riet, Berg and Breede Rivers. Water SA 37 739-749. https://doi.org/10.4314/wsa.v37i5.11 [ Links ]
VAN RENSBURG LD, STRYDOM MG, DU PREEZ CC, BENNIE ATP, LE ROUX PAL and PRETORIUS JP (2008) Prediction of salt balances in irrigated soils along the lower Vaal River, South Africa. Water SA 34 11-17. [ Links ]
VAN SCHILFGAARDE J. (1990) Irrigated agriculture: is it sustainable? In: Tanji KK (ed). Agricultural Salinity Assessment and Management. ASCE Manuals & Reports on Engineering Practice No 71. ASCE, New York. [ Links ]
VILJOEN MF, ARMOUR RJ, OBERHOLZER JL, GROSSKOPF M, VAN DER MERWE B and PIENAAR G (2006) Multi-dimensional models for the sustainable management of water quantity and quality in the Orange-Vaal-Riet convergence system. WRC Report No. 1352/1/06, Water Research Commission, Pretoria. 281 pp. [ Links ]
Received 19 April 2016
Accepted in revised form 5 October 2017
* To whom all correspondence should be addressed. +27 514012785; e-mail: barnardjh@ufs.ac.za
The efficiency of each centre pivot was evaluated by placing 30 rain gauges evenly apart. The amount of irrigation water in the rain gauges was determined at a low (20%) and high (100%) pivot speed. The Heermann and Hein uniformity coefficient (CUH, %) and distribution uniformity (DUIg, %) was calculated with Eq. A1 and Eq. A2, respectively, where Ri is the distance (m) of the rain gauge at point i from the centre, yi the application depth (mm) at point i as collected in the rain gauge, yg the weighted average application of the total system (mm), and A the weighted average application of the lowest 25%. In addition, the application efficiency (AE, mm) and system efficiency (SE, mm) were calculated with Eq. A3 and Eq. A4, respectively, where GA is the gross application (mm), Q the centre pivot flow rate (m3·h-1), t the rotation time (h) and A the total wetted area of the centre pivot (ha).













