Serviços Personalizados
Journal
Artigo
Indicadores
Links relacionados
-
Citado por Google -
Similares em Google
Compartilhar
South African Journal of Sports Medicine
versão On-line ISSN 2078-516Xversão impressa ISSN 1015-5163
SA J. Sports Med. vol.37 no.1 Bloemfontein 2025
https://doi.org/10.17159/2078-516x/2025/v37i1a23951
REPORTS
The South African Rugby Injury and Illness Surveillance and Prevention Project (SARIISPP): SARU Girls' Youth Week Injury Surveillance Report 2023
Lara PaulI; Clint ReadheadII; Dr Wayne ViljoenIII; Mike LambertIV
IUniversity of Cape Town
IISA Rugby, General Manager: Medical, and University of Cape Town
IIISA Rugby, Senior Manager: Rugby Safety, and University of Cape Town
IVUniversity of Cape Town and Rhodes University
Key Findings
Injury Incidence
In 2023, thirty-two teams participated in the SARU Girls' Youth Week tournaments (Gu16W = 16 teams, Gu18W = 16 teams). A total of 77 Medical Attention injuries were recorded during the tournaments. Fifty-six (56) of these were Time-Loss injuries (73%). The combined tournaments' injury incidence and 95% confidence intervals for all Medical Attention injuries were 96 (75 - 118) injuries/1000 player hours, and for Time-Loss injuries were 70 (52 - 88) injuries/1000 player hours. No significant difference in injury incidence was found between the two SARU Girls' Youth Week tournaments in 2023 (Table 1). Table 2 represents the Medical Attention and Time-Loss injuries per match and per hour of match play across both tournaments. On average, there were approximately 2 time-loss injuries for every match played (or 7 injuries for every 3 matches played). Figure 1 shows the pattern of incidence/1000 player hours and 95% confidence intervals of Time-Loss injuries for each tournament (2015 to 2023). Time-Loss incidence for the Gu16W and Gu18W tournaments and the combined incidence of both tournaments is significantly greater in 2022 and 2023 compared to the tournaments' historical average. It must be noted that the Gu16W tournament in 2017 did not take place, and neither did Gu16W and Gu18W in 2020 and 2021 due to COVID-19 restrictions (Figure 1).
Only Time-Loss injuries were analysed further in this report (n = 56). Figure 2 demonstrates a slightly lower combined injury incidence in Gu18W (2015 to 2023) compared to Gu16W. These two tournaments showed no significant differences in their injury incidence rates.

Injury Incidence Trends
Girls U16 Week (Gu16W)
The Gu16W tournament was not held in 2017, 2020 and 2021; therefore, the trendline could not be calculated accurately and has been excluded. The highest injury incidence was recorded in 2023, with a large upward spike in injuries first demonstrated between 2019 and 2022. There was only a minor, non-significant increase from 2022 to 2023 (Figure 3).
Girls U18 Week (Gu18W)
The Gu18W tournament was not held in 2020 and 2021; therefore, the trendline could not be accurately calculated and has been excluded. After a slight decrease in 2019, as with the Gu16W, there was a significant increase in injury incidence in 2022 at the Gu18W (Figure 3). The injury incidence in 2019 was the lowest in the initial 5 years of the study, and the increase in 2022 was the highest. In 2023, the injury incidence decreased again, although it was not significantly different from that of 2022 (Figure 3).
Injury Event
In 2023, the Tackier role was the event associated with the most injuries throughout the tournaments (41%, n = 23), followed by the Ball Carrier role (34%, n = 19) and then the Ruck (18%, n = 10). Tacklers recorded 29 (17 - 41) injuries/1000 player hours, while Ball Carriers had an incidence of 24 (13 - 34) injuries/1000 player hours, with the Ruck at 13 (5 - 20) injuries/1000 player hours. In the Gu18W tournament, Tackler injuries dominated, while in the Gu16W, Being Tackled (Ball Carriers) were the most common injury-causing events (Table 3).
Figure 4 displays the grouped proportional breakdown of injuries between 2015 and 2023, resulting from the different injury-causing events. The proportions of Tackler and Ball Carrier injuries fluctuated throughout the years but have remained the most prominent injury-causing events. The Tackle event (both Tackler and Ball carrier combined) ranged between 55% - 75% (averaging 65%) of all injuries per year in the Girls' Weeks (both Gu16W and Gu18W) during this period. There was an increase in injuries from the Ruck and to the Ball Carrier in 2023. While injuries occurring during Open Play, decreased between 2022 and 2023 (no tournaments were played in 2020 and 2021).
Ranked from highest to lowest, in 2023, Tackling front-on (regulation) and Tackling from behind (regulation) were the mechanisms that accounted for the most injuries to Tacklers. Tackling front-on (regulation) accounted for 39% of Tackler injuries, with 11.3 (3.9 - 18.6) injuries/1000 player hours (Figure 5).
Ranking the mechanisms of injury to Ball Carriers from highest to lowest contributors, in 2023, Tackled front-on (regulation), Tackled from behind (regulation) and Tackled side-on (regulation) were shared highest, followed by Tackled front-on (high). Tackled front-on (regulation), Tackled from behind (regulation) and Tackled side-on (regulation) each accounted for 16% of these injuries, with an incidence of 3.8 (0.3 - 8.0) injuries/1000 player hours (Figure 6).
Rucked accounted for the highest proportion of Ruck-related injuries (70%), with 8.8 (2.3 - 15.2) injuries/1000 player hours (Figure 7).
Injury Type
In 2023, CNS (Central Nervous System) injuries were the most prevalent type of injury (Table 4). There were no significant differences between the various types of injuries and age groups, nor were there any discrepancies in the combined data across both tournaments.
Figure 8 displays the most common injury types in proportionate distributions per year from 2015 to 2023. The proportion of CNS and muscle injuries decreased from 2022 to 2023, but CNS injuries remain the most common injury type in the SARU Girls' tournaments over the years. It is worth noting that since the first tournament data was collected in 2015, there has been a slow but consistent reduction in the proportionate distribution of Joint/Ligament injuries until 2022. In 2023, Joint/Ligament injuries increased from 2022, but remained lower than the pre-2018 era. Broken Bone/Fracture injuries also increased from 2022 to 2023.
Body Location
Injuries were grouped according to the four main body location groups [Head and Neck; Trunk; Upper Body; Lower Body) across both tournaments. In 2023, the most common injured body location was Lower Body injuries [39%), with 73% of these injuries occurring at the Gu18W tournament. Lower Body injuries accounted for an injury incidence of 28 [16 - 39) injuries/1000 player hours [Table 5). The Gu18W had the highest Lower Body incidence recorded at 29 [15 - 43) injuries/1000 player hours, but this was not significantly different from the Gu16W tournament. Following Lower Body injuries, Head and Neck injuries were the second most common. Head and Neck accounted for an injury incidence of 21 [11 - 31) injuries/1000 player hours. Gu16W had the highest Head and Neck incidence of 29 [8 - 51) injuries/1000 player hours, which was not significantly different to the Gu18W tournament.

The IOC Consensus statement's recommended categories of Tissue and Pathology injury data are presented in Table 6 for the 2023 SARU Girls' Youth Week tournaments (2).

Match Status
In 2023, there were significantly more injuries to players who started the match (96%) compared to players who joined the match as substitutes (4%) (Figure 9). Injury rates for players who started the match were significantly higher than for players who came on as substitutes in Gu16W and Gu18W. No significant differences were found between tournaments (Table 7).
New vs. Recurrent
The incidence of 'New' injuries in 2023 was 60 (41 - 74) injuries/1000 player hours, significantly higher than 'Recurrent' injuries, which had an incidence of 13 (5 - 20) injuries/1000 player hours.
Figure 10 illustrates the proportion of 'New' and 'Recurrent' joint/ligament and muscle injuries across the years (2015-2023). Most muscle and joint/ligament injuries were 'New', albeit that joint/ligament injuries had proportionately more 'Recurrent' injuries than muscle injuries.
The proportion of 'New' joint/ligament injuries increased from 2022 (56%) to 2023 (75%). 'New' muscle injuries are similar between 2022 (85%) and 2023 (83%).
The reciprocal percentage 'Recurrent' joint/ligament injuries decreased from 2022 (44%) to 2023 (25%), and 'Recurrent' muscle injuries were similar in 2022 (15%) and 2023 (17%).
Game Quarter
In 2023, most injuries occurred in the 2nd quarter (34%) followed by the 1st quarter (30%) with an incidence of 24 (13 - 34) injuries/1000 player hours and 21 (11 - 31) injuries/1000 player hours, respectively. Injuries in the 3rd match quarter decreased proportionately from 2022 to 2023, although this was not significantly different (Figure 11).
Player positions
Centres and locks had an absolute injury incidence of 12.5 (4.8 - 20.2) injuries/1000 player hours (Figure 12). Absolute incidence refers to the incidence or rate of injury in a player's positional grouping, e.g., wings, without normalising for the number of players on the field playing in that positional grouping per team, e.g., there are two wings per team on the field. In 2023, the centre and lock positions had the highest absolute injury incidence rates across the SARU Girls' Youth Week tournaments.
The number of injuries was also normalised to the number of players per team on the field in a positional grouping. For example: Props = total number of injuries divided by 2, Locks = total number of injuries divided by 2, Loose forwards = total number of injuries divided by 3.
Figure 13 shows the normalised injury incidence per player per position across the two tournaments. In Gu16W, Locks and Centres stood out, and in the Gu18W, Scrumhalf was the standout position. Figure 14 shows the combined normalised positional injury rates across both tournaments. In 2023, when combining the data, the Scrumhalf position had the highest normalised injury rate across both tournaments. Scrumhalves, when normalised per player, had an incidence of 8.8 (2.3 - 15.2) injuries/1000 player hours (Figure 14).


Concussion
In 2023, there were a total of thirteen concussions (n = 13), keeping in mind that the first day's Gu16W matches were cancelled due to snow. This translates to an incidence rate of 16 (7 - 25) concussions/1000 player hours and roughly one concussion for every two matches played. The concussion number and incidence rate decreased substantially from 2022, where it was last recorded at 29 (19 - 39) concussions/1000 player hours.
The tournament with the highest concussion incidence rate was Gu16W, with 21 (3 - 39) concussions/1000 player hours (Table 8). There were no significant differences between the two tournaments.
Tackling (39%, n = 5) and Being Tackled (39%, n = 5) contributed to the most concussions in 2023 (Figure 15). Figure 15 displays the proportion of concussions and their different injury-causing events across the two tournaments in 2023.
Tackling front-on (regulation) and Being Tackled front-on (regulation) accounted for 31% of all concussions, making the front-on tackle the most prominent singular event causing concussions for the combined tournament data (Figure 16). In Gu18W, Tackling front-on (regulation) and Being Tackled front-on (regulation) each contributed to 2 of the 8 cases recorded in 2023. Furthermore, Tackled from behind (LOW) and Kneed in Open Play in Gu16W, contributed to 2 of the 5 cases (Figure 16). Three of the five cases had missing data on the specifics.
Figure 17 displays the proportion of concussions caused by the different event mechanisms from 2015 to 2023. The Tackle event was the most prominent cause of concussions between 2015 and 2023, contributing to 65% of all concussions: 39% to the Tackler, 26% to the Ball Carrier. This could be due to poor tackle and ball carrying techniques. However, further video-analysis investigations are needed to verify and confirm this. Regardless, due to the high proportion of contributions towards all injuries and concussions, it is apparent that tackles and ball carries remain the primary injury-causing events and need to be given more attention in the training and preparation of junior South African female rugby players.
The absolute number of concussions increased sizably between 2019 and 2022. The number and rate of concussions in 2023 decreased from the high values recorded in 2022.
Figure 18 displays the proportionate breakdown of concussions resulting from the different injury-causing mechanisms over the nine years.
Between 2015 and 2023, 42% of Tackler-related concussions (Figure 18A) were caused by Tackling front-on (regulation), 39% of Ball Carrier-related concussions (Figure 18B) were caused by Being Tackled front-on (regulation), and 22% of Ruck-related concussions (Figure 18C) were caused by each of the following mechanisms in the breakdown contest, i.e., being Kicked, Rucked and Cleaned out.
Concussions in 2023 were slightly higher in backs than in forwards. In Gu16W, the concussions were evenly distributed. At the Gu18W, 63% of concussions were sustained by backs. (Figure 19).
Figure 20 illustrates the total number of concussions from 2015 to 2023 for the SARU Girls' Youth Week Tournaments. The corresponding concussion rate over the same period is shown in Figure 21. The total number of concussions increased sharply from 2019 to 2022, but then decreased in 2023 to a concussion number similar to that of 2019. Keeping in mind that Day 1 of the Gu16W was cancelled due to snow, a similar pattern remained apparent in the incidence of concussion, which normalises the data for player exposure. The spike in 2022 could be attributed to the COVID-19 restrictions in 2020 and 2021; in 2023, these might have decreased back to the original 2018 rates. Players were unable to train, be coached, or compete during COVID-19, which may be a contributing cause to the increased concussion numbers and rates seen in 2022. Alternatively, the interventions provided to the Provincial Unions because of the previous 2022 report, i.e., requesting the provincial Unions to introduce the 'Preparation for Contact' and 'Contact Confident' Modules to their players at least 8 weeks prior, might have assisted in improving the concussion profile of these tournaments. It will be interesting to see if this is maintained in the next year. When combining all concussions over time per tournament (2015 to 2023), concussions and concussion rates tend to be lower at the Gu18W when compared to the Gu16W (Figure 22). However, these differences are not significant.

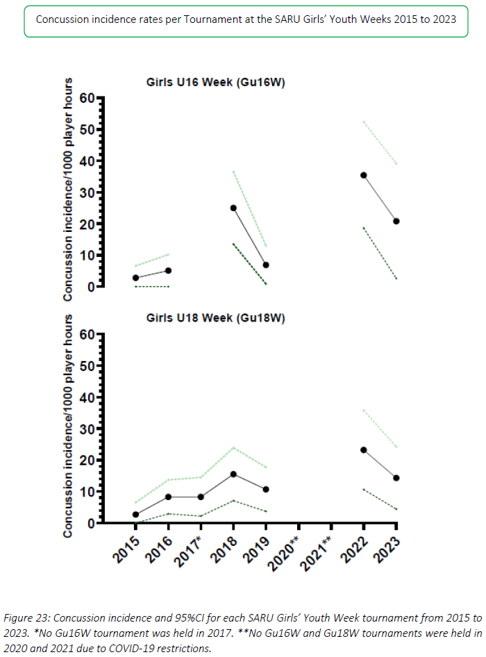
The incidence of concussions during the Gu16W and Gu18W tournaments follows a similar trend to the injury rates. Concussion incidence rates gradually increased from around 2015 to 2018. However, from 2018 to 2019, there was a notable decrease in concussion incidence, followed by a reversal and large increase in concussion incidence in 2022. Positively, though, there is a decrease from 2022 to 2023 (Figure 23).
In Figure 23, there is no clear pattern of concussions for the Gu16W between 2015 and 2019. Concussions increased sharply from 2019 to 2022, followed by a decrease in 2023. There was no Gu16W tournament in 2017, 2020 and 2021, so the trendline could not be accurately calculated and was therefore excluded.
Similarly, in the Gu18W, the trendline could not be calculated accurately; therefore, it was also excluded. In Gu18W, there was a sizable increase in concussions in 2018, followed by a decline in concussions in 2019. In 2022, there was a notable increase in concussion incidence. However, there was a decrease in concussion incidence from 2022 to 2023.

Take-home messages
1. The current format involves each team playing two matches per week, with a full rest day in between. This format should remain in place until the Girls Youth Game at schools and youth clubs in South Africa becomes more established.
2. The tackle event causes most of the time-loss injuries and concussions.
3. Although more research is required to substantiate this, there is a large possibility that these injuries are due to poor tackle and ball carrying techniques.
4. It is important to continue increasing the confidence and proficiency of young female rugby players in contact situations, as this contributes significantly to injuries and concussions. Developing the basic contact-safety skills, techniques, and required levels of proficiency through progressive and tailored training is crucial for junior South African female rugby players. This will help minimise concussions and other rugby-related injuries. It is important to prioritise such training to ensure that the players can safely tackle and carry the ball into contact.
5. Continue using the "Preparation for Contact" and "Contact Confident" programmes, freely accessible on the World Rugby education platform and MyBokSmart, to support the training and contact preparation of junior South African female rugby players. Although not directly confirmed, it may have had a positive impact on concussion rates in 2023.
Acknowledgements
The authors would like to acknowledge the South African Rugby Union for the funding and support for this report; a special mention to Lynne Cantwell, High Performance Manager: Women's Rugby.
References
1. Fuller CW, Molloy MG, Bagate C, Bahr R, Brooks JHM, Donson H, et al. Consensus statement on injury definitions and data collection procedures for studies of injuries in rugby union. Br J Sports Med. 2007;41(5):328-31. [https://doi.org/10.1136/bjsm.2006.033282] [PMID: 17452684] [ Links ]
2. Bahr R, Clarsen B, Derman W, Dvorak J, Emery CA, Finch CF, et al. International Olympic Committee consensus statement: methods for recording and reporting of epidemiological data on injury and illness in sport 2020 (including STROBE Extension for Sport Injury and Illness Surveillance (STROBE-SIIS)). Br J Sports Med. 2020;bjsports-2019-101969. [https://doi.org/10.1136/bjsports-2019-101969] [PMID: 32071062] [ Links ]
3. Fuller CW. A Kinetic Model Describing Injury-Burden in Team Sports. Sport Med. 2017;47(12):2641-51. [https://doi.org/10.1007/s40279-017-0746-7] [PMID: 28573403] [ Links ]
4. Schenker N, Gentleman JF. On judging the significance of differences by examining the overlap between confidence intervals. Am Stat. 2001;55(3):182-6. [https://doi.org/10.1198/000313001317097960] [ Links ]
SA Rugby and the authors of the report would like to acknowledge and thank the following people for their contributions to this project:
Medical Doctors: Dr Moshe Magethi; Dr Sibusiso Ntuli
Medical support staff: Paramedics from ER24
Researchers: Shivani Moodley, Maria Pulinckx












