Services on Demand
Journal
Article
Indicators
Related links
-
Cited by Google -
Similars in Google
Share
South African Journal of Animal Science
On-line version ISSN 2221-4062Print version ISSN 0375-1589
S. Afr. j. anim. sci. vol.54 n.3 Pretoria 2024
https://doi.org/10.4314/sajas.v54i3.01
Carcass traits and primal pork cuts of growing Windsnyer pigs fed diets containing Amarula oil cake
F. ThabetheI; V.A. HlatiniII; A.M. de AlmeidaIII; M. ChimonyoIV, #
IAnimal and Poultry Science, University of KwaZulu-Natal, P/Bag X01 Scottsville 3209, Pietermaritzburg, South Africa
IIAgricultural Research Council-Animal Production Institute (Nutrition Building), Private Bag X2, Irene 0062, South Africa
IIILEAF-Linking Landscape, Environment, Agriculture and Food Research Center, Associated Laboratory TERRA, Instituto Superior de Agronomia, Universidade de Lisboa, Tapada da Ajuda, 1349-017 Lisboa, Portugal
IVUniversity of Venda, Faculty of Science, Engineering and Agriculture, P Bag X5050, Thohoyandou, 0950, South Africa
ABSTRACT
Carcass characteristics and primal pork cuts of local pig breeds are rarely documented, therefore, the current study was conducted to establish the relation between incremental levels of Amarula oil cake (AOC), carcass traits, primal pork cuts, and relative internal organ weight of Windsnyer pigs. Twenty-five clinically healthy, growing, male Windsnyer pigs with an initial body weight of 19.92 ± 8.74 kg (mean ± standard deviation) were used. Pigs were used in their growing period when they were about 67 days old. The study lasted six weeks excluding one week of adaptation period. Pigs were allotted to pens in a completely randomized design and assigned to each of the five experimental diets, which contained 0, 50, 100, 150 and 200 g/kg DM of Amarula oil cake, respectively. Feed and water were offered ad libitum. Post slaughter, data for carcass characteristics, primal pork cuts, and relative organ weights of Windsnyer pigs were analysed using polynomial regression. There was a negative linear relationship between increasing levels of Amarula oil cake, carcass length, warm carcass weight and cold carcass weight. Stomach weight, backfat thickness, drip loss, and the hepatosomatic index increased linearly with increasing levels of Amarula oil cake. The kidneys, small intestines, and large intestine weight had a quadratic response to Amarula oil cake inclusion level. The heart, lungs, and spleen were not related to increasing levels of Amarula oil cake inclusion. Incremental levels of Amarula oil cake diets impaired carcass characteristics and the selected visceral organs, therefore Windsnyer pigs can be fed Amarula oil cake up to100 grams per kilograms dry matter.
Keywords: backfat thickness, carcass length, drip loss, hepatosomatic index, slow-growing pigs, warm carcass
Introduction
Indigenous pigs are the main source of livelihood for most people globally, more especially for resource-limited farmers found in many developing countries (Halimani et al., 2010). Their production can therefore alleviate poverty and improve food security. Globally, the production of pork from indigenous pigs is very low, suggesting that most indigenous pig breeds found in rural communities are kept for home consumption and as cash investments (Madzimure et al., 2012). Indigenous pigs have a low feed conversion ratio. They, however, produce pork of good organoleptic properties and can be raised under low-cost conditions (Leterme et al., 2005; Halimani et al., 2012). The exploitation of indigenous pig breeds and providing knowledge about them is crucial and it contributes markedly to preserving their existence because of their distinct roles and functions in sustainable agricultural development (Chimonyo et al., 2006).
Pig breeds in Africa are closely related to international pig breeds (Ramírez et al., 2009). The indigenous pig breeds of South Africa, such as the African-type pig, the Kolbroek and the Windsnyer pig are all classified as Sus scrofa. They exhibit similar characteristics to the strongly-introgressed Chinese and British pig breeds (Ramírez et al., 2009), suggesting that these pig breeds can thrive in other countries due to their genetic similarities. A commonly-found type of indigenous pig breed in South Africa is the Windsnyer pig. Its resilience to diseases and superior ability to utilise fibrous agricultural by-products has long been established (Kanengoni et al., 2014; Ncobela et al., 2018).
Amarula tree (Sclerocarya birrea subspecies caffra) is an African indigenous tree that is mostly found in the northern parts of Eswatini, Limpopo, Mpumalanga, and KwaZulu-Natal. The kernels are used for making traditional beverages, farmers use it to make protein supplement for poultry, and as a source of food by rural households (Mlambo et al., 2011; Mthiyane and Mhlanga, 2017). Amarula oil cake is a by-product of oil extraction from Amarula kernels. The nutritional characteristics of Amarula oil cake, such as high crude protein and fibre content, may influence carcass quality of pigs positively when used intensively. Kerr et al. (1995), reported poor carcass yield grades of pigs fed on reduced protein diets compared to carcass yield of pigs which were fed high crude protein diets. Therefore, the high crude protein content of Amarula might positively affect carcass grades of Windsnyer pigs. The ability of Windsnyer pigs to tolerate fibrous feeds might improve carcass characteristics of pigs. Fibrous diets negatively affected warm carcass weights of pigs due to increasing gut contents in the Mong Cai pig breed (Len et al., 2008). Jha et al. (2013) reported that incremental fibre levels in pig diets reduced carcass weight of pigs. Most fibrous feeds do not meet nutrient requirements of pigs, therefore, balanced diets such as Amarula oil cake, which provides both fibre and protein to Windsnyer pigs, might increase slaughter weight of Windsnyer pigs, hence improving carcass quality. Visceral organ weight accounts for about 15 % or less of the entire weight of animals (Yen, 1992) and they respond to inclusion of fibrous or tanniferous diets (Agyekum et al., 2012). Heavier relative weight of heart, liver, and kidneys was reported in pigs on high fibre diets compared to low fibre diets (Len et al., 2009). Dietary interventions that improve carcass traits of indigenous pigs are therefore, required.
Carcass length is a trait of economic importance that affects the weight of many pork cuts (Poto et al., 2007). Carcass dressed weights, carcass length, and carcass conformation are direct determinants of carcass grades and thereby revenue (Chimonyo et al., 2010). Understanding these carcass characteristics of Windsnyer pigs could provide knowledge to enhance the choices for health-conscious consumers. The relationships between carcass characteristics, primal pork cuts, and relative internal organs of Windsnyer pigs fed on Amarula oil cake (AOC) diets are poorly understood. Such knowledge might change the current negative perspective that policymakers and pork scientists have about indigenous pig breeds. The objective of the study was, therefore, to determine the relationship between incremental levels of AOC, carcass characteristics, primal pork cuts, and visceral organ weights of South African Windsnyer pigs. It was hypothesized that incremental levels of AOC would linearly increase carcass characteristics, primal pork cuts, and visceral organ weights of South African Windsnyer pigs.
Materials and methods
The experiment was conducted at Agricultural Research Council (ARC), Animal Production Institute (Irene, Pretoria, South Africa). The study site is located at 25°55' S, 28°12' E, and at an altitude of 1525 m above sea level. The average annual temperature is 19°C.
Amarula oil cake was sourced from African Exotic oils, Limpopo Province, South Africa. Prior to oil extraction of Amarula kernels, Amarula nuts were dried according to Malebana et al. (2021) and transported to the Agricultural Research Council for the formulation of experimental diets. Two experimental diets which included a total mixed ration and bulky ration were formulated. The total mixed ration was formulated to meet or exceed the nutritional requirements of growing Windsnyer pigs according to Carter et al. (2016) and was used as the summit diet. The bulky diet was formulated to contain 200 g/kg of AOC and was used as a dilution diet (Hlongwane et al., 2021). The other five experimental diets were formulated by mixing the summit diet with a dilution diet according to Gous & Morris (1985). The blending ratios of the experimental diets were as follows, 100:0, 75:25, 50:50, 25:75, and 0:100, respectively. The ingredient composition of the summit and dilution diets are shown in table 1.
The use of animals was approved by the Agricultural Research Council (ARC) Animal Production Institute Ethics Committee (reference number APAEC2019/17). A total of 25 healthy, South African Windsnyer, male pigs with an initial body weight of 19.92 ± 8.74 kg (mean ± standard deviation (SD) were used for the study. The pigs were 67 d old and were randomly selected at ARC-Irene pig breeding unit. The pigs were used for the growing period which lasted for six weeks, excluding a one-week adaptation period. Cleaning and disinfection of the trial facility was done before the arrival of pigs. After cleaning, the trial facility was retested for a week. The pigs were penned individually in a 1.5 x 0.9 m pens in environmentally-controlled housing. Pigs were allocated in a completely randomized block design and were also blocked by body weight with five replicates of pigs assigned to each experimental diet. The house temperature and humidity were 22.5 ± 2.10 °C and 47.5.2 ± 7.25 % (mean ± SD), respectively. Pigs were given a period of one week to adapt to the new environment and treatments. Feeders were monitored at least twice a day to ensure constant access to the experimental diets and lower any possible spillages during feed consumption. Feed and water were offered ad libitum to all pigs.
Samples of the experimental diets were collected and analysed in triplicate (n = 3) at the University of KwaZulu-Natal, Pietermaritzburg (South Africa), Animal Science Laboratory. Procedures from the Association of Official Analytical Chemists (AOAC, 2005 & 1990) were followed. The dry matter (DM) content was determined according to method 2001.12 (AOC, 2005), ash method 990.05 (AOC, 1990), crude protein method 1990.3 (AOC, 1990), and ether extract method 920.39 (AOC, 1990). The gross energy (GE) was determined with a bomb calorimetry (MS-1000 modular calorimeter, Energy Instrumentation, Centurion, South Africa). Neutral detergent fibre (NDF) and acid detergent fibre (ADF) were determined according to method by Van Soest et al. (1991). The bulk density, swelling, and water holding capacity of the diets was determined according to water displacement method described by Kyriazakis and Emmans (1995), Canibe & Bach Knudsen (2002), and Whittemore et al. (2003), respectively. Minerals were determined with the Varian 720 Inductively Coupled Plasma Emission Spectrometer (ICP-OES, Frankfurt, Germany) with an atomic absorption. Amino acids were determined with acid hydrolysis according to method 982.30 (AOAC, 1990). The nutrient composition of Amarula nut cake and experimental diets is shown in Table 2.
After the experimental feeding period, pigs were fasted for 24 h and weighed to determine the slaughter weight. Pigs were transported to the ARC abattoir located about 1.5 km from the trial facility for slaughter. All pigs were handled based on routine abattoir procedures of ARC, Irene, before slaughter and included the ante-mortem inspection by the ARC veterinarian. The pigs were then stunned with an electrical stunner set at 220 V and 1.8 A with a current flow for 6 s and exsanguinated within 10 s of stunning. Exsanguination, de-hairing, evisceration, and cutting were done according to Kanengoni et al. (2014). Carcass length (CL) was measured using a measuring tape from the first rib to the pubic bone and warm carcass weight was measured with a scale after dressing. The ham length was measured from the cranial edge of the pubic symphysis to the medio-distal point where the hind trotter was removed. Thereafter, carcasses were stored at the abattoir cold room and kept at 0 °C for 24 h. The dressing percentage was determined by considering warm carcass weight as a percentage of slaughter weight (SW). The cooler shrink (CS) was calculated from the carcasses under chill storage in a cold room (0 °C for 24 h) using the following formula:

The initial pH and temperature reading were taken immediately after slaughter from the longissimus thoracis muscle (eye muscle) using a pH meter. Prior the recording of pH, the pH meter electrode was calibrated at pH4 and pH7 buffers. Distilled water was used to rinse the electrodes after each measurement to avoid contamination amongst treatments. Carcasses were kept in a cold room and stored at ~0 °C for 24 h. Thereafter, measurements for cold carcass weights (CCW) were then taken. The final pH and temperature were recorded 24 h post slaughter.
Backfat measurements were taken at first rib (dorsal fat thickness at first rib, DFT1), last rib (dorsal fat thickness at last rib, DFT2), and last lumbar vertebra (dorsal fat thickness at last lumbar vertebra, DFT3) off the median plane cut surface (Kanengoni et al., 2014). All other carcass measurements were taken from the left side. The backfat depth was measured at P2 position of each carcass with a vernier calliper over the eye muscle, 60 mm from the carcass midline. From the same cut where P2 measurements were taken, a sample joint measuring 2.5 cm thick and 16 cm long measured along the surface of the back of the eye muscle was cut out and weighed (chop mass). This sample joint was placed in a nylon mesh and sealed in plastic bags, which was then tied in such a way as to prevent the sample joint from touching the bottom of the plastic bag or air coming into the bag. The sample was then stored in a refrigerator between 0 and 5 °C for 24 h, after which the mass of the water lost was calculated from the weight of the water in the bag and used to calculate the drip loss; this was done in all pigs (Kanengoni et al., 2014).
Upon slaughter, the heart, liver, lungs, spleen, kidney, stomach, and small and large intestines of each pig were removed and weighed separately with a digital scale. The contents of stomach, small intestines, and large intestines were emptied before recording their weight. The weight of visceral organs was scaled by dividing the weights of the heart, lungs, spleen, kidney, stomach, small, and large intestines with slaughter weight. The hepatosomatic index (HSI) was calculated by dividing the liver weight by slaughter weight and expressed as a percentage (Liu et al., 2009).
The normality of the data was determined using the PROC UNIVARIATE procedure of SAS, (2009). The LS means statement in SAS, (2009) was used to compare the least square means using the probability difference (PDIFF) option. Relationships between inclusion levels of Amarula oil cake and carcass characteristics, primal pork cuts, and relative organ weights were determined with the polynomial regression procedure of (SAS, 2009).
Results
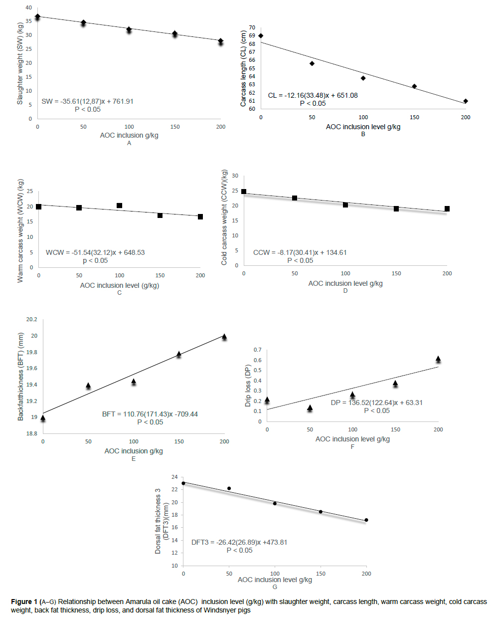
Table 3 shows the relationship between incremental levels of Amarula oil cake diets, carcass traits, and primal pork cuts of South African Windsnyer pigs. Increasing inclusion levels of Amarula oil cake linearly reduced the slaughter weight, carcass length, warm carcass weight, and cold carcass weight of pigs (P < 0.05). Increasing inclusion levels of AOC led to a linear increase in backfat thickness and drip loss (P <0.05). Other carcass traits such as pHh45, pH24, temperature45 and temperature24, cooler shrink, dressing percentage, and shoulder fat showed no relationship with increasing inclusion level of AOC diets (P >0.05). The dorsal fat thickness (DFT3) decreased linearly with increasing inclusion levels of AOC (P <0.05). Other primal pork cut traits such as ham length, ham diameter, backfat depth at P2 position, dorsal fat thickness 1, dorsal fat thickness 2, hind quarter weight proportion, shoulder weight proportion, and rib weight proportion were not affected by increasing inclusion levels of Amarula oil cake (P >0.05). The relationship between AOC inclusion level with slaughter weight, carcass length, warm carcass weight, cold carcass weight, back fat thickness, drip loss and dorsal fat thickness of pigs is shown in Figure 1 (A-G).
Table 4 shows the relationship between incremental levels of Amarula oil cake and visceral organ weights of pigs. Increasing inclusion levels of Amarula oil cake diets increased the (hepatosomatic index) HIS and stomach weight of pigs linearly (P < 0.05). The kidneys, small intestines, and large intestine weights of Windsnyer pigs decreased quadratically with increasing inclusion levels of Amarula oil cake diets (P <0.05). The heart, lungs, and spleen showed no relationship with increasing inclusion levels of Amarula oil cake (P >0.05). The relationship between AOC inclusion level with hepatosomatic index, stomach weight, kidney weight, small intestine (SIW), and large intestine (LIW) weight of Windsnyer pigs is shown in Figure 2 (A-C).
Discussion
Indigenous pigs such as the Windsnyer pig are rejected by the carcass classification systems used in abattoirs. Strategies that improve the production of indigenous pig genotypes, selection standards that include Windsnyer pigs in breeding programs, and the conservation of indigenous pigs are of the utmost importance in tropical countries. There is limited research about the relationship between increasing levels of Amarula oil cake diets and carcass characteristics of Windsnyer pigs.
The observation that the slaughter weight of Windsnyer pigs decreased with increasing levels of Amarula oil cake suggests that including higher amount of the oil cake in the diet compromises pig performance. Miya et al. (2019), reported a similar linear reduction in slaughter weight of broilers that were fed on increasing levels of Vachellia tortilis leaf meal diets. Khanyile et al. (2016), however, reported a quadratic decrease in slaughter weight of pigs fed on increasing levels of Vachellia tortilis leaf meal. Nevertheless, such a quadratic decrease concurs with the fact that high inclusion levels of Vachellia diets overall reduced the slaughter weight of pigs.
The linear decrease in carcass length with increasing inclusion levels of Amarula oil cake concurs with Ncobela et al. (2018). The decreasing carcass length of South African Windsnyer pigs can be related to the linear reduction in average daily gain. Windsnyer pigs grow up to a point, after which they essentially deposit fat, hence affecting its weight. Several African indigenous pig genotypes are reported to have high fat deposition when attaining puberty (Chimonyo et al., 2010).
As expected, increasing levels Amarula oil cake linearly decreased both the warm and cold carcass weights of pigs. Len et al. (2008) reported a similar reduction in warm carcass weight of Mong Cai pigs fed on high fibrous diet. The reduction in warm carcass was related to increased weight of gastrointestinal tract of pigs which was a result of the high fibre content of the diet. Fibrous feeds increase the size of internal organs in pigs (Qin et al., 2002). Increasing AOC level increased the fibre level in the diet. Similarly, Ciric et al. (2017) showed strong correlations between the slaughter weight, warm carcass weight, and cold carcass weight of pigs.
Carcass quality of pigs can also be assessed by measuring backfat thickness, which estimates the thickness of the subcutaneous fat. Both the backfat and intramuscular fat alter pork quality and should be considered (Chimonyo et al., 2001). As expected, increasing levels of AOC linearly increased backfat thickness of Windsnyer pigs (Liu et al., 2015; Khanyile et al., 2016). Our results were, however, in contradiction with those of Ncobela et al. (2018), who reported a linear reduction in backfat thickness of Windsnyer pigs fed on increasing levels of potato hash silage. The discrepancies between the two studies can be explained by differences in ether extract concentration of the diets which, in turn, alters the energy content of the diets. Fats are used as energy sources in monogastric animals. The consumption of energy-rich diets triggers lipogenesis and, consequently, visceral fat deposition. The ether extract and gross energy were directly proportional to the inclusion level of AOC.
Drip loss is an important characteristic that affects palatability and acceptability of meat (Forrest et al., 2000). Increasing the inclusion level of AOC linearly increased drip loss in Windsnyer pigs. Our results were consistent with those of Mushandu et al. (2005), who reported a linear increase in drip loss of Mukota pigs fed on increasing levels of sorghum-based diets. On the contrary, diets with the incorporation of avocado, had no effect on drip loss of Large White × Landrace pigs (Seshoka et al., 2020). Apart from the diet, drip loss is also affected by pig genotype and pH of meat (Mushandu et al., 2005; Kanengoni et al., 2014). Both the initial and final pH in the current study showed no response to inclusion levels of AOC.
Increasing AOC inclusion level in Windsnyer pig diets was expected to increase the backfat measurement (DFT1, DFT2, and DFT3) of Windsnyer pigs due the high fat content of AOC. However, that was not the case in the current study. Increasing levels of AOC diets linearly reduced the dorsal fat thickness (DFT3), as also reported by Ncobela et al. (2018). The reduction in DFT3 might be assumed to have also been caused by the linear reduction of carcass length, which affects most pork cuts (Poto et al., 2007).
The hepatosomatic index is the scaled liver weight expressed as a percentage. A linear increase in the hepatosomatic index (HSI) with increasing levels of AOC suggest that higher levels of the oil cake increase liver weight. On the contrary, Ma et al. (2002) & Bakare et al. (2017) showed a reduction in liver weights of pigs fed on maize cob and straw-based diets, respectively. The present results were nevertheless consistent with those of Khanyile et al. (2016), who reported a linear increase in liver weight of pigs fed on Vachellia diets. The increasing HSI might be related to increasing weight of the stomach of pigs, which might have resulted in an increase in the secretion of liver enzymes that detoxify toxic substances in the diets. A linear increase in stomach weight of Windsnyer pigs was indeed observed. The results are consistent with Kaensombath et al. (2013) and Bakare et al. (2017), who reported an increase in stomach weight of Moo Lath pigs fed Stylo silage and Landrace pigs fed on maize cob-based diets. The fibre content of the diet influences the weight of visceral organs (Nyachoti et al., 2000). Similar observations were also confirmed by Zhao et al. (1995).
A quadratic decrease in kidney, small, and large intestine weight of pigs with increasing levels of Amarula oil cake diets was observed in the study. Miya et al. (2019), reported a linear increase in relative liver weights of broilers fed on increasing levels of Vachellia diets. It is possible that high inclusion levels of AOC and the time of exposure of the pigs to the diets affected the relative kidney weight of pigs in our study. As such, the duration of feeding also needs to be considered when AOC based diets are used. Kidneys are the main sites for clearance of nitrogen and detoxify toxic compounds in the body. Increasing dietary protein level increase the weight of liver and kidneys of pigs (Chen et al., 1996). The presence of mycotoxins in Amarula diets was detected by Mthiyane & Mhlanga. (2017). Mycotoxins reduce pig performance by reducing protein digestibility and absorption. Increasing AOC levels in the diet might also increase the amount of mycotoxins that result in mould development in the diet.
A linear increase in both small and large intestines of Windsnyer to dietary inclusion level of AOC pigs was expected. Indeed, this would be due to the increased bulk properties and the cell wall constituent contents of AOC diets. In addition, the hind gut of Windsnyer pigs can ferment fibrous feeds effectively, as demonstrated earlier (Kanengoni et al., 2014). The observed quadratic reduction in both the small and large intestines could have been related to the quadratic reduction in ADFI, suggesting that Windsnyer pigs can tolerate AOC-based diets up to 150 g/kg DM. The small and large intestines of pigs are sites for nutrient and water absorption. Dietary factors that affect the normal functioning of these organs may, therefore, interfere with nutrient absorption, hence reducing growth and health of pigs. Incorporating Amarula oil cake increased feed bulk. An increase in water holding capacity and bulk density reduces energy availability and consequently reduces pig growth (Linares & Huang, 2010). The absorption of nutrients is largely influenced by feed intake, which is, in turn, affected by dietary properties of the feeds (Nyachoti et al., 2004). The decrease in both small and large intestine weights at higher levels of AOC diets could be a clear indication that the intestinal epithelium was compromised, suggesting that gut health and morphology of Windsnyer pigs to AOC-based diets need to be investigated.
Conclusions
There was a negative linear relationship between slaughter weight, carcass length, warm carcass weight, cold carcass weight, and dorsal fat thickness with increasing levels of AOC. Backfat thickness and drip loss showed a positive linear relationship with increasing levels of AOC. Other selected carcass characteristics and primal pork cuts had no clear relationship. The HSI and stomach weight showed a negative linear relationship with increasing levels of Amarula oil cake. The kidneys, small and large intestine weight showed a negative quadratic relationship with increasing levels of AOC, suggesting that high levels of Amarula also constrained some of the selected gastro-intestinal tract content of Windsnyer pigs. However, some gastrointestinal tract content such as the heart, lungs and spleen were not affected by the inclusion level of Amarula. Incremental levels of AOC diets impaired carcass characteristics and selected visceral organs of pigs, therefore Windsnyer pigs can be fed AOC up to100 g/kg DM. When carcass traits and visceral organs of Windsnyer pigs are selected, low levels of Amarula oil cake needs to be considered. The gut health of Windsnyer pigs also need to be considered when feeding pigs with Amarula-based diets.
Acknowledgments
The authors acknowledge the Meat Industry Trust (IT8114/98), National Research Foundation (118221), FoodBev SETA, and the UKZN Competitive Grant for funding this project. The Agricultural Research Council-Irene provided the pigs. Author AMA acknowledges funding by national funds through the FCT - Fundação para a Ciência e a Tecnología, I.P. under the project UIDB/04129/2020 of LEAF-Linking Landscape, Environment, Agriculture and Food, Research Unit.
Author contributions
FT designed the study, did data collection, statistical analyses, writing of the first draft of the manuscript and writing the final draft of the manuscript. VAH edited the first draft of the manuscript, the final draft of the manuscript. MC designed the study, he is the main leader of the project, he also contributed with funding of the project, supervised the project, and revised the manuscript. AMA designed the study, he is the co-supervisor of the project, he also contributed with funding, and he edited the final manuscript. Manuscript was approved by all authors.
Conflict of interest declaration
None of the authors of this paper has a financial or personal relationship with other or organizations that could inappropriately influence or bias the content of the article.
References
Agyekum, A.K., Slominski, B.A, & Nyachoti, C.M., 2012. Organ weight, intestinal morphology, and fasting whole-body oxygen consumption in growing pigs fed diets containing distillers dried grains with solubles alone or in combination with a multienzyme supplement. J. Anim. Sci. 90, 3032-3040. https://doi.org/10.2527/jas.2011-4380 [ Links ]
A0AC, 2005. Official Methods of Analysis. Eighteenth Edition. AOAC International, Gaithersburg, Maryland, USA. [ Links ]
AOAC, 1990. Official Methods of Analysis. 15th Edition. Association of Official Analytical Chemists, Arlington, VA. [ Links ]
Bakare, A.G. and Chimonyo, M., 2017. Relationship between feed characteristics and histomorphometry of small intestines of growing pigs. S. Afr. J. Anim Sci, 47, 7-15. www.ajol.info/index.php/sajas/article/view/151618 [ Links ]
Canibe, N. & Bach Knudsen, K.E., 2002. Degradation and physicochemical changes of barley and pea fibre along the gastrointestinal tract of pigs. J. Sci. Food Agric, 82, 27-39. https://doi.org/10.1002/jsfa.985 [ Links ]
Carter, N.A., Dewey, C.E., Thomas, L.F., Lukuyu, B., Grace, D. & de Lange, C., 2016. Nutrient requirements and low-cost balanced diets, based on seasonally available local feedstuffs, for local pigs on smallholder farms in Western Kenya. Trop An Health Prod. 48, 337-347. https://doi.org/10.1007/s11250-015-0957-6 [ Links ]
Chen, H.Y., Lewis, A.J. & Miller, P.S., 1996. The effects of dietary protein concentration on performance and visceral organ mass in finishing barrows and gilts. 1996 Nebraska Swine Report. https://digitalcommons.unl.edu/coopext_swine/197 [ Links ]
Chimonyo, M., Kanengoni, A.T. & Dzama, K., 2001. Influence of maize cob inclusion level in pig diets on growth performance and carcass traits of Mukota x Large White F1 crossbred male pigs. Asian-Australas. J. Anim. Sci, 14, 1724-1727. https://doi.org/10.5713/ajas.2001.1724 [ Links ]
Chimonyo, M., Dzama, K. & Bhebhe, E., 2006. Genetic determination of individual birth weight, litter weight and litter size in Mukota pigs. Livest. Sci, 105, 69-77. https://doi.org/10.1016/j.livsci.2006.04.034 [ Links ]
Chimonyo, M., Dzama, K. & Mapiye, C., 2010. Growth performance and carcass characteristics of indigenous Mukota pigs of Zimbabwe. Trop. Anim. Health Prod, 42, 1001-1007. https://doi.org/10.1007/s11250-009-9522-5 [ Links ]
Ćirić, J., Lukić, M., Radulović, S., Janjić, J., Glamočlija, N., Marković, R. & Baltić, M.Ž., 2017. The relationship between the carcass characteristics and meat composition of young Simmental beef cattle. In IOP Conference Series: Earth and Environmental Science 85(1), 012061). IOP Publishing. doi :10.1088/1755-1315/85/1/012061 [ Links ]
Forrest, J.C., Morgan, M.T., Borggaard, C., Rasmussen, A.J., Jespersen, B.L. & Andersen, J.R., 2000. Development of technology for the early post-mortem prediction of water holding capacity and drip loss in fresh pork. Meat Sci, 55, 115-122. https://doi.org/10.1016/S0309-1740(99)00133-3 [ Links ]
Gous, R.M. & Morris, T.R., 1985. Evaluation of a diet dilution technique for measuring the response of broiler chickens to increasing concentrations of lysine. Br. Poult. Sci, 26, 147-161. https://doi.org/10.1080/00071668508416799 [ Links ]
Halimani, T.E., Muchadeyi, F.C., Chimonyo, M. & Dzama, K., 2010. Pig genetic resource conservation: The Southern African perspective. Ecol. Econ, 69, 944-951. https://doi.org/10.1016/j.ecolecon.2010.01.005 [ Links ]
Halimani, T.E., Muchadeyi, F.C., Chimonyo, M. & Dzama, K., 2012. Opportunities for conservation and utilisation of local pig breeds in low-input production systems in Zimbabwe and South Africa. Trop. Anim. Health Prod, 45, 81-90. http://dx.doi.org/10.1007/s11250-014-0555-z [ Links ]
Hlongwana, F.Y., Thabethe, F., Thomas, R.S. & Chimonyo, M., 2021. Nitrogen balance in slow-growing Windsnyer pigs fed on incremental levels of amarula (Sclerocarya birrea subsp. caffra) nut cake. Trop. Anim. Health Prod, 53, 1-12. https://doi.org/10.1007/s11250-021-02808-x [ Links ]
Jha, R., Htoo, J.K., Young, M.G., Beltranena, E. & Zijlstra, R.T., 2013. Effects of increasing co-product inclusion and reducing dietary protein on growth performance, carcass characteristics, and jowl fatty acid profile of growing-finishing pigs. J. Anim. Sci, 9, 2178-2191. https://doi.org/10.2527/jas.2011-5065 [ Links ]
Kanengoni, A. T., Chimonyo, M., Erlwanger, K. H., Ndimba, B. K., Dzama, K. 2014. Growth performance, blood metabolic responses, and carcass characteristics of grower and finisher South African Windsnyer-type indigenous and Large White* Landrace crossbred pigs fed diets containing ensiled corncobs. Anim. Sci. J, 92, 5739-5748. https://academic.oup.com/jas/article-abstract/92/12/5739/4703432 [ Links ]
Kanengoni, A.T., Chimonyo, M., Ndimba, B.K. & Dzama, K., 2015. Feed preference, nutrient digestibility, and colon volatile fatty acid production in growing South African Windsnyer-type indigenous pigs and Large White* Landrace crosses fed diets containing ensiled maize cobs. Livest. Sci, 171, 28-35. https://doi.org/10.1016/j.livsci.2014.10.018 [ Links ]
Kaensombath, L., Neil, M. & Lindberg, J.E., 2013. Effect of replacing soybean protein with protein from ensiled stylo (Stylosanthes guianensis (Aubl.) Sw. var. guianensis) on growth performance, carcass traits and organ weights of exotic (Landrace* Yorkshire) and native (Moo Lath) Lao pigs. Trop. Anim. Health Prod, 45, 865-871. https://doi.org/10.3390/agriculture5041020 [ Links ]
Kerr, B.J., McKeith, F.K. and Easter, R.A., 1995. Effect on performance and carcass characteristics of nursery to finisher pigs fed reduced crude protein, amino acid-supplemented diets. Anim. Sci. J, 73, 433-440. https://academic.oup.com/jas/article-abstract/73/2/433/4718914 [ Links ]
Khanyile, M., Ndou, S.P. and Chimonyo, M., 2016. Influence of Acacia tortilis leaf meal-based diet on serum biochemistry, carcass characteristics, and internal organs of finishing pigs. Anim. Prod. Sci, 57, 675-682. https://www.publish.csiro.au/AN/AN15182 [ Links ]
Kyriazakis, I. & Emmans, G.C., 1995. The voluntary feed intake of pigs given feeds based on wheat bran, dried citrus pulp, and grass meal, in relation to measurements of feed bulk. Br. J. Nutr, 73, 191-207. https://doi.org/10.1079/BJN19950023 [ Links ]
Carcass Traits of Mong Cai, F1 Crossbred (Mong Cai Yorkshire) and Landrace × Yorkshire Pigs. Asian-Australas. J. Anim. Sci, 21, 245-251. https://doi.org/10.5713/ajas.2008.60598 [ Links ]
Len, N.T., Hong, T.T.T., Ogle, B. & Lindberg, J.E., 2009. Comparison of total tract digestibility, development of visceral organs and digestive tract of Mong Cai and Yorkshire χ Landrace piglets fed diets with different fibre sources. J. Anim. Physiol. Anim. Nut, 93, 181-191. https://doi.org/10.1111/j.1439-0396.2007.00804.x [ Links ]
Leterme, P., Londoño, A.M., Estrada, F., Souffrant, W.B. & Buldgen, A., 2005. Chemical composition, nutritive value and voluntary intake of tropical tree foliage and cocoyam in pigs. J. Sci. Food Agric, 85, 1725-1732 [ Links ]
Linares, L. & Huang, K., 2010, August. Effects of energy levels and different feed processing methods on performance of broilers. In XIIIth Eur. Poult. Conf., August, 24-26. https://doi.org/10.1002/jsfa.2177 [ Links ]
Liu, H.W., Gai, F., Gasco, L., Brugiapaglia, A., Lussiana, C., Guo, K.J., Tong, J.M. and Zoccarato, I., 2009. Effects of chestnut tannins on carcass characteristics, meat quality, lipid oxidation and fatty acid composition of rabbits. Meat Sci. 83, 678-683. https://www.publish.csiro.au/AN/AN15182 [ Links ]
Liu, Y., Kong, X., Jiang, G., Tan, B.E., Deng, J., Yang, X., Li, F., Xiong, X. & Yin, Y., 2015. Effects of dietary protein/energy ratio on growth performance, carcass trait, meat quality, and plasma metabolites in pigs of different genotypes. J. Anim. Sci. Biotechnol, 6, 1-10. https://doi.org/10.1186/s40104-015-0036-x [ Links ]
Ma, Y., Li, D., Qiao, S.Y., Huang, C.H. & Han, I.K., 2002. The effects of fiber source on organ weight, digesta pH, specific activities of digestive enzymes and bacterial activity in the gastrointestinal tract of piglets. Asian-Australas. J. Anim. Sci. 15, 1482-1488. doi: 10.5713/ajas.2002.1482 [ Links ]
Madzimure, J., Chimonyo, M., Zander, K.K. and Dzama, K., 2012. Potential for using indigenous pigs in subsistence-oriented and market-oriented small-scale farming systems of Southern Africa. Trop. Anim. Health Prod, 45, 135-142. https://link.springer.com/article/10.1007/s11250-012-0184-3 [ Links ]
Mabena, P.M., Ratsaka, M.M., Nkukwana, T.T., Malebana, I.M.M. and Nkosi, B.D., 2022. Growth performance, nutrient digestibility and carcass characteristics of pigs fed diets containing amarula (Sclerocarya birrea A. Rich) nut cake as replacement to soybean meal. Trop. Anim. Health Prod, 54, 1-10. https://link.springer.com/article/10.1007/s11250-021-03016-3 [ Links ]
Miya, A., Sithole, A.N., Mthethwa, N., Khanyile, M. & Chimonyo, M., 2019. Response in carcass yield, organ weights, and gut morphology of broiler chickens to incremental levels of Vachellia tortilis leaf meal. Can. J. Anim. Sci. 100, 282-291. https://doi.org/10.1139/cjas-2019-0041 [ Links ]
Mlambo, V., Dlamini, B.J., Ngwenya, M.D., Mhazo, N., Beyene, S.T. & Sikosana, J.L.N., 2011. In sacco and in vivo evaluation of marula (Sclerocarya birrea) seed cake as a protein source in commercial cattle fattening diets. Livest. Res. Rural. Dev, 23, 1-10. http://www.lrrd.org/lrrd23/5/mlam23121.htm [ Links ]
Mthiyane, D.M.N. & Mhlanga, B.S., 2017. The nutritive value of marula (Sclerocarya birrea) seed cake for broiler chickens: Nutritional composition, performance, carcass characteristics and oxidative, and mycotoxin status. Trop. Anim. Health Prod, 49, 835-842. https://doi.org/10.1007/s11250-017-1269-9 [ Links ]
Mushandu, J., Chimonyo, M., Dzama, K., Makuza, S.M. & Mhlanga, F.N., 2005. Influence of sorghum inclusion level on performance of growing local Mukota, Large White and their F1 crossbred pigs in Zimbabwe. Anim. Feed Sci. Technol, 122, 1-329. https://doi.org/10.1016/j.anifeedsci.2005.02.033 [ Links ]
Ncobela, C.N., Kanengoni, A.T. & Chimonyo, M., 2018. Response in nutritionally related blood metabolites, carcass traits, and primal pork cuts of slow growing Windsnyer pigs fed on varying levels of potato hash silage. S. Afr. J. Anim. Sci, 48, 770-777. doi: 10.4314/sajas.v48i4.19 [ Links ]
Nyachoti, C.M., De Lange, C.F.M., McBride, B.W., Leeson, S. & Schulze, H., 2000. Dietary influence on organ size and in vitro oxygen consumption by visceral organs of growing pigs. Livest. Prod. Sci, 65, 229-237. https://doi.org/10.1016/S0301-6226(00)00157-3 [ Links ]
Nyachoti, C.M., Zijlstra, R.T., De Lange, C.F.M. & Patience, J.F., 2004. Voluntary feed intake in growing-finishing pigs: A review of the main determining factors and potential approaches for accurate predictions. Can. J. Anim. Sci. 84, 549-566. https://doi.org/10.4141/A04-001 [ Links ]
Poto, A., Galián, M. & Peinado, B., 2007. Chato Murciano pig and its crosses with Iberian and Large White pigs, reared outdoors. Comparative study of the carcass and meat characteristics. Livest. Sci. 111, 96-103. https://doi.org/10.1016/j.livsci.2006.12.005 [ Links ]
Qin, G.X., Xu, L.M., Jiang, H.L., Van der Poel, A.F.B. & Bosch, M.W., Verstegen, M.W.A., 2002. The effects of Chinese and Argentine soybeans on nutrient digestibility and organ morphology in Landrace and Chinese Min pigs. Asian-Australas. J. Anim. Sci, 15, 555-564. https://doi.org/10.5713/ajas.2002.555 [ Links ]
Ramirez, O., Ojeda, A., Tomas, A., Gallardo, D., Huang, L.S., Folch, J.M., Clop, A., Sánchez, A., Badaoui, B., Hanotte, O. and Galman-Omitogun, O., 2009. Integrating Y-chromosome, mitochondrial, and autosomal data to analyze the origin of pig breeds. Mol. Biol. Evol, 26, 2061-2072. https://doi.org/10.1093/molbev/msp118 [ Links ]
SAS, 2009. SAS User's Guide: Statistics, Version9.1. SAS Institute, Cary. [ Links ]
Seshoka, M.L., Fourie, P.J., Kanengoni, A.T., Malebana, I.M.M., Thomas, R.S. & Nkosi, B.D., 2020. Dietary inclusion of ensiled avocado oil cake affects growth, nutrient digestion, and carcass characteristics of pigs. S. Afr. J. Anim. Sci, 50, 2221-4062. doi: 10.4314/sajas.v50i6.11 [ Links ]
Van Soest, P.V., Robertson, J.B. & Lewis, B.A., 1991. Methods for dietary fiber, neutral detergent fiber, and nonstarch polysaccharides in relation to animal nutrition. J. Dairy Sci, 74, 3583-3597. https://doi.org/10.3168/jds.S0022-0302(91)78551-2 [ Links ]
Whittemore, E.C., Emmans, G.C. and Kyriazakis, I., 2003. The relationship between live weight and the intake of bulky foods in pigs. Anim. Sci. J, 76, 89-100. www.cambridge.org/core/journals/animal-science/article/abs/relationship-between-live-weight-and-the-intake-of-bulky-foods-inpigs/595498A66F646B3EDD5E46A7FCD43414 [ Links ]
Yen, J.T. & Nienaber, J.A., 1992. Influence of carbadox on fasting oxygen consumption by portal vein-drained organs and by the whole animal in growing pigs. J. Anim. Sci, 70, 478-483. https://doi.org/10.2527/1992.702478x [ Links ]
Zhao, X., Jørgensen, H. & Eggum, B.O., 1995. The influence of dietary fibre on body composition, visceral organ weight, digestibility and energy balance in rats housed in different thermal environments. Br. J. Nutr, 73, 687-699. https://doi.org/10.1079/BJN19950073 [ Links ]
Submitted 28 June 2022
Accepted 27 May 2024
Published 7 August 2024
# Corresponding author: Michael.Chimonyo@Univen.ac.za












