Services on Demand
Journal
Article
Indicators
Related links
-
Cited by Google -
Similars in Google
Share
SA Journal of Human Resource Management
On-line version ISSN 2071-078XPrint version ISSN 1683-7584
SAJHRM vol.23 Cape Town 2025
https://doi.org/10.4102/sajhrm.v23i0.2948
ORIGINAL RESEARCH
How career calling and job embeddedness shape the work-life balance-performance relationship
Retno P. SetyaningrumI; Indra SiswantiII; Muafi MuafiIII
IDepartment of Management, Faculty of Economics and Business, Universitas Pelita Bangsa, Bekasi, Indonesia
IIDepartment of Management, Faculty of Economics and Business, Universitas Mercu Buana, Jakarta, Indonesia
IIIDepartment of Management, Faculty of Business and Economics, Universitas Islam Indonesia, Yogyakarta, Indonesia
ABSTRACT
ORIENTATION: This study investigates the dynamics of work-life balance (WLB) in influencing job performance (JP), incorporating employee loyalty (EL) as a mediator and career calling (CC) and job embeddedness (JE) as moderators.
RESEARCH PURPOSE: To analyse the direct and moderated-mediating effects of WLB on JP and examine the roles of EL, CC and JE in enhancing workplace outcomes.
MOTIVATION FOR THE STUDY: The study seeks to address the growing need for organisations to improve employee performance through balanced work environments, loyalty cultivation and leveraging intrinsic motivators such as CC and JE.
RESEARCH APPROACH/DESIGN AND METHOD: A quantitative approach was adopted, utilising data collected via structured questionnaires from 250 employees in the food and beverage industry. SPSS Macro Hayes Model 60 was employed for analysis.
MAIN FINDINGS: Work-life balance significantly and directly influenced JP. Employee loyalty mediated this relationship, while CC strengthened the link between EL and JP. In addition, the interaction of JE and CC amplified the mediating effect of EL in the relationship between WLB and JP.
PRACTICAL/MANAGERIAL IMPLICATIONS: The findings emphasise the importance of fostering WLB, enhancing EL and leveraging CC and JE to optimise employee performance. Organisations should focus on creating balanced work environments and cultivating loyalty and engagement strategies.
CONTRIBUTION/VALUE-ADD: This study contributes to the literature by integrating WLB, EL, CC and JE into a moderated-mediation model, offering theoretical insights and practical recommendations for improving JP in the food and beverage industry.
Keywords: career calling; employee loyalty; job embeddedness; job performance; work-life balance.
Introduction
The food and beverage industry continues to experience increased competitiveness in global and domestic markets, driven by growing consumer demand and changing preferences regarding health, sustainability and product innovation (Ding et al., 2023). Competition is also strengthened by the emergence of new brands and local players targeting specific market segments, such as vegan or low-sugar foods, which attract the interest of modern consumers (Curzi et al., 2021; Masruroh, 2020). The industry also becomes the largest contributor in the non-oil and gas processing sector, which underlines its influence in creating added value through downstreaming and opening up export and investment opportunities (Jablonski et al., 2016). The growth of this sector is driven by domestic demand, which continues to increase along with the growth of Indonesia's population and changes in consumer preferences. High consumption, especially among urban communities, is driving increased demand for practical and innovative food and beverage products. Besides, this sector also contributes greatly to labour absorption, which makes it a strategic sector for economic and social stability (Satterthwaite et al., 2010).
Judging from the ever-growing competition and high and fluctuating market demand, industries or companies require continuous production to meet market demand. This is of course a work pressure that is not only experienced by workers on the production line but also by managers who have to coordinate operations, maintain quality and ensure compliance with health and safety standards. These high demands can influence employee welfare and their work-life balance (WLB), which ultimately has an impact on performance (Hanaysha, 2016; Husniati et al., 2024).
At the operational level, research by Zamberi et al. (2023) observes that production workers in the food industry often face high physical demands, long work shifts and pressure to meet quantity and quality targets. The study found that the stressful work environment in this sector has a significant impact on employees' physical and mental health, ultimately affecting their productivity and loyalty to the company. Meanwhile, at the managerial level, research by Folkard & Tucker (2003) and Rosenthal et al. (2004) has shown that managers in the food and beverage industry face major challenges in managing resources, maintaining production efficiency and responding to fluctuations in demand. The study highlights that managers often have to work outside normal working hours, especially during peak demand periods, which impacts their WLB. A manager is also required to adjust his emotions and work enthusiasm in order to maintain self and team motivation in facing the mounting workload (Andina et al., 2023; Chua & Ayoko, 2021). In conditions such as these, balance between work and personal life becomes very important. A good WLB can play a significant role in maintaining employee performance and loyalty, including in demanding industries such as food and beverage. However, the impact of WLB on employee performance can vary depending on several individual factors, such as the employee's level of loyalty and attachment to work.
In this context, the concepts of career calling (CC) and job embeddedness (JE) emerge as important factors that moderate the relationship between WLB and work performance. Career calling refers to employees' perception of work as an integral part of their identity and life goals (Liu & Xu, 2022; Wu et al., 2019). When employees have high CC, they tend to feel that their work has deep meaning, which can motivate them to persist and provide the best performance, even when facing tough challenges (Duffy et al., 2011).
On the other hand, JE refers to the level of employee attachment to work, which includes not only factors within the organisation but also their social and personal relationships outside of work (Mitchell et al., 2009). Employees who have high JE are usually more attached to their jobs because of the relationships between coworkers, compatibility with the job and the sacrifices required if they have to leave the position (Peltokorpi & Allen, 2024; Qian et al., 2022). In stressful industries such as food and beverage, JE can help employees overcome challenges and remain loyal to the company. The combination of CC and JE is expected to strengthen the positive influence of WLB on performance, by mediating its impact through employee loyalty (EL).
Literature review and hypothesis development
Job Demands-Resources (JD-R) model
The JD-R model was developed by Bakker and Demerouti (2007) as a framework for understanding employee stress and well-being. According to this model, every job can be defined through two main elements: job demands and job resources. Job demands refer to aspects of work that require high physical or mental effort, such as work pressure, emotional demands and long working hours. In the food and beverage industry, these demands are often higher because of demands for continuous production and tight targets (Bakker & Demerouti, 2007). In contrast, job resources are aspects of work that help employees meet the demands of the job, increase motivation and reduce the risk of burnout, such as social support, development opportunities and work autonomy. This model also explains how high job demands without support from job resources can cause fatigue, reduce performance and increase turnover. However, when employees have enough job resources, they can maintain high performance even in situations with high job demands.
This research was conducted with a greater focus on how job resources such as WLB, EL, CC and JE can improve job performance (JP). Figure 1 presents the complete model analysed in this study.

Work-life balance and job performance
Work-life balance is a state of balance between the two demands of work and an individual's life (Lockwood, 2003). Work-life balance can also be interpreted as an individual's effort to balance two or more roles that must be carried out (Fisher et al., 2009). A worker may experience family conflict when the stress felt at work is carried over to the family environment and vice versa, they experience work conflict when they face stress at home (Agha et al., 2017). Organisations can reduce this conflict by providing flexibility and a supportive work environment to encourage integration of work and family roles (Agha et al., 2017). Work-life balance has a significant positive influence on JP because it helps employees to manage the demands between work and personal life. Employees who have a good WLB pattern tend to experience lower levels of stress, feel more satisfied with their work and have high motivation, which then directly influences increased work performance (Beauregard & Henry, 2009). This allows employees to work more efficiently and productively, creating a more harmonious work environment and increasing their contribution to organisational goals (Beauregard & Henry, 2009):
H1: Work-life balance has a positive influence on job performance.
Employee loyalty as a mediation variable
Employee loyalty is the loyalty or commitment shown by employees to their company, which is reflected in the desire to continue working at the company and contribute positively to the success of the organisation. Loyal employees will usually show high involvement, pride in the company and a desire to maintain a long-term relationship with the company (Meyer & Allen, 1991). With high loyalty, an employee will work harder and be committed to facing challenges, and it gives a positive impact on individual performance and the organisation as a whole. Apart from that, EL can be influenced by WLB. When a company is able to offer policies that support a balance between work and personal life, employees will tend to be more loyal because they feel that the company cares about their well-being (Beauregard & Henry, 2009). Therefore, EL has a role as a mediator to strengthen the relationship between WLB and JP (Yudiani et al., 2023):
H2: Work-life balance has a positive influence on job performance through employee loyalty.
Career calling and job embeddedness as moderating variables
Career calling is an individual's perception of work as an important part of their identity and life goals (Duffy et al., 2011). In the JD-R model, CC can be considered as a personal resource that helps employees face heavy work demands. Employees who have CC tend to be more motivated and have greater resilience in facing work pressure (Steger et al., 2010), because they see work as meaningful and relevant to their life goals (Bakker & Demerouti, 2007). Apart from that, CC not only reduces an employee's stress (Greene & Robbins, 2015) and work fatigue and but also maintains mental health; it can also improve employee performance to gain life satisfaction and feel happiness (Treadgold, 1999).
Job embeddedness is a concept that explains an employee's attachment to a job, which includes social connections, the compatibility of personal values with the job and the costs they will incur if they leave their job (Mitchell et al., 2009). In the JD-R model, JE can also function as a resource that reduces the risk of turnover and increases EL. Employees with high JE feel more attached to their work, so they are more resistant to work pressure and are more likely to remain with the company even when facing high job demands.
The combination of CC and JE is expected to strengthen the positive influence of WLB on performance, by mediating its impact through EL. Therefore, CC and JE may have a moderating influence, which in turn influences JP. Therefore, the following hypotheses are developed:
H3: Career calling moderates the relationship between employee loyalty and job performance.
H4: Job embeddedness moderates the relationship between work-life balance and employee loyalty.
H5: Job embeddedness and career calling simultaneously moderate the mediating influence from work-life balance to job performance through employee loyalty.
Research design
Population and sample
This study employed a quantitative research design to examine the relationship between WLB, EL, CC, JE and JP among employees in food and beverage companies in Indonesia. The population of this study consisted of employees working in the food and beverage industry located in West Java province, Indonesia. The sample included a mix of entry-level employees, senior-level employees and supervisors, which allows for a diverse perspectives across organisational levels. A total of 250 respondents participated in the study. The sampling technique used was purposive sampling, with the inclusion criterion that participants must have been employed in their current company for at least 1 year. This criterion was applied to ensure that respondents had adequate exposure to organisational practices and environments, allowing them to meaningfully evaluate their WLB, career perceptions and JP.
Instrument and questionnaire design
Data were collected through a self-administered online questionnaire that comprised two sections: demographic background and measurement items related to the study variables. Each construct was measured using a 5-point Likert scale ranging from 1 ('Strongly Disagree') to 5 ('Strongly Agree'). Work-life balance was measured using four items adapted from Agha et al. (2017), covering both time-based and strain-based balance (e.g. 'I am able to balance the demands of my work and personal life'). Job performance was measured using eight items from Griffin et al. (2007) and Rezvani et al. (2018), including task performance and contextual performance (e.g. 'I fulfil the responsibilities specified in my job description'). Employee loyalty was measured using six items from Mehta et al. (2010), focusing on affective and behavioural loyalty (e.g. 'I am willing to put in extra effort for the organisation's success'). Career calling was measured using six items adapted from Wu et al. (2018), assessing one's sense of purpose and perceived meaningfulness at work (e.g. 'I see my work as a calling rather than just a job'). Job embeddedness (JE) was measured using seven items from Crossley et al. (2007) and Qian et al. (2022), encompassing fit, links and sacrifice dimensions (e.g. 'I feel personally connected to the people at my workplace').
A pilot test was conducted with 30 respondents to ensure clarity and appropriateness of the instrument. Based on feedback, minor adjustments in wording were made for improved clarity and cultural relevance.
Minimising bias and validity considerations
Given the self-report nature of the questionnaire, several strategies were implemented to reduce potential biases such as social desirability and self-perception inaccuracies. Anonymity and confidentiality were assured to all respondents in order to encourage honest and accurate responses. To enhance clarity and reduce misunderstanding, clear and concise instructions were provided at the beginning of each section of the questionnaire. In addition, neutral phrasing was used throughout the items to avoid leading participants towards particular answers. Reverse-coded items were also included, where appropriate, to minimise acquiescence bias. These methodological considerations align with established recommendations in survey research for improving the credibility and validity of self-reported data (Podsakoff et al., 2003).
Data analysis
After data collection, responses were screened and tested for validity and reliability. Exploratory factor analysis (EFA) and reliability testing (Cronbach's alpha) were conducted to confirm the construct validity and internal consistency of the measurement instruments. Hypothesis testing was conducted using PROCESS Macro for Statistical Package for the Social Sciences (SPSS) to examine the moderated-mediation effects involving WLB (IV), EL (mediator), JP (DV) and CC and JE (moderators), as suggested by Hayes (2018). The bootstrapping method with 5000 resamples was applied to estimate indirect effects and test significance levels.
Ethical considerations
Ethical clearance to conduct this study was obtained from Universitas Pelita Bangsa Faculty of Economics and Business Committee of Ethics (002/SE/7/UPB/2025). All procedures performed in studies involving human participants were in accordance with the ethical standards of the institutional and/or national research committee and with the 1964 Helsinki declaration and its later amendments or comparable ethical standards.
Results
Respondents' characteristics
This research involved 250 respondents consisting of 50.40% women and 49.60% men, showing an almost equal gender distribution. Based on age, the majority of respondents were aged 31-50 years (60.80%), while the remainder were spread across the age groups under 20 years (11.20%) and over 50 years (12.40%). In terms of length of work, most respondents had work experience of more than 9 years (41.20%), followed by the group with work experience of 7-9 years (26.80%). For positions in companies, the majority of respondents work at the entry level (37.20%), followed by supervisors (35.20%) and senior level (27.60%). These data provide an overview of respondent diversity that is relevant to organisational structures in the food and beverage industry (Table 1).

Based on these data, it can be concluded that this research involved respondents with diverse characteristics, both in terms of gender, age, work experience and position in the company. The almost equal distribution of men and women reflects inclusive representation. The predominance of respondents of productive age and long work experience indicates that the majority of respondents had insights that were relevant to the research context. In addition, involvement from various levels of the organisation, from operational to managerial, provides a holistic picture to understand workplace dynamics. This supports the validity of the research findings, as they are based on diverse views from individuals with different backgrounds.
Validity and reliability tests
To ensure the quality of the research instrument, both validity and reliability tests were conducted. Content validity was established through expert consultation during the questionnaire development phase, ensuring that each item was conceptually aligned with its respective construct. In addition, a pilot test involving 30 respondents was carried out to refine item clarity and assess preliminary psychometric properties. Construct validity was assessed using the corrected item-total correlation (CITC), with all items demonstrating values above the recommended threshold of 0.50 (Hair et al., 2014), as presented in Table 2. This indicates that each item correlates well with the overall construct, thus validating its inclusion. Internal consistency reliability was evaluated using Cronbach's alpha, with all variables exceeding the recommended 0.70 threshold. Specifically, the Cronbach's alpha values were 0.833 for JE, 0.836 for WLB, 0.805 for EL, 0.948 for CC and 0.875 for JP. These values confirm that the items within each construct reliably measure the same underlying concept.

Normality test
The results of the normality test using the Kolmogorov-Smirnov method show that the asymptotic significance (2-tailed) is 0.162, which is greater than the significance limit of 0.05 (Table 3). This shows that the residual data are normally distributed. In addition, the statistical test value (test statistic) is 0.119 with an average parameter of 0.000 and a standard deviation of 2.285, indicating minimal deviation from the normal distribution. Thus, the normality assumption for regression analysis has been met, so that the analysis results can be relied on for further interpretation (Hair et al., 2014).

Hypothesis tests
Hypothesis 1
The results of the hypothesis test (Table 4a and Table 4b) show that the predictive model for JP is significant with F (4,245) = 83.813, p < 0.001, and the contribution of the independent variable (WLB) to JP reaches R2 = 0.509, which means the model explains 50.9% variance in JP. These results show quite high predictive power. Specifically, WLB has a significant direct influence on JP with a regression coefficient b = 0.415 (t = 3.420, p = 0.001, lower limit confidence interval [LLCI] = 0.176, upper limit confidence interval [ULCI] = 0.655). This supports the H1 that WLB has a direct positive influence on JP.


Hypothesis 2
Apart from that, the results of the indirect effect from WLB to JP via EL are also significant (effect = 0.458, BootLLCI = 0.274, BootULCI = 0.651), as shown in Table 5, confirming the H2 that EL mediates the relationship between WLB and JP. These findings indicate that loyalty is a significant path connecting WLB with JP.
Hypothesis 3
The interaction between EL and CC is also significant (b = 0.039, t = 4.685, p < 0.001, LLCI = 0.023, ULCI = 0.056) (Table 4a and Table 4b). This shows that CC moderates the relationship between EL and JP (H3), where high levels of CC strengthen the relationship between EL and JP.
The interaction plot in Figure 2 shows that CC strengthens the relationship between EL and JP. When the CC level is low (16.28), EL increase has little influence on JP. However, at moderate CC levels (22.10), the influence of EL on JP increases significantly. At a high level of CC (27.91), this relationship becomes very strong, where EL increase has a large impact on JP. This indicates that high CC can motivate individuals to work more optimally, thereby strengthening the positive impact of EL on JP. Figure 2 supports the moderation, H3, that CC plays an important role in maximising the contribution of EL to work performance.

Hypothesis 4
The results of the hypothesis test in Table 5 with EL as the outcome variable show that the model used is overall significant (R2 = 0.641, F(5.244) = 110.903, p < 0.001), with 64.1% of the variability in EL being explained by the variables in the model. The interaction effect between WLB and JE on EL is significant (b = 0.050, t = 6.250, p < 0.001), indicating that JE strengthens the relationship between WLB and EL, confirming that H4 is accepted. These findings support the important role of JE as a moderator in increasing EL.
Hypothesis 5
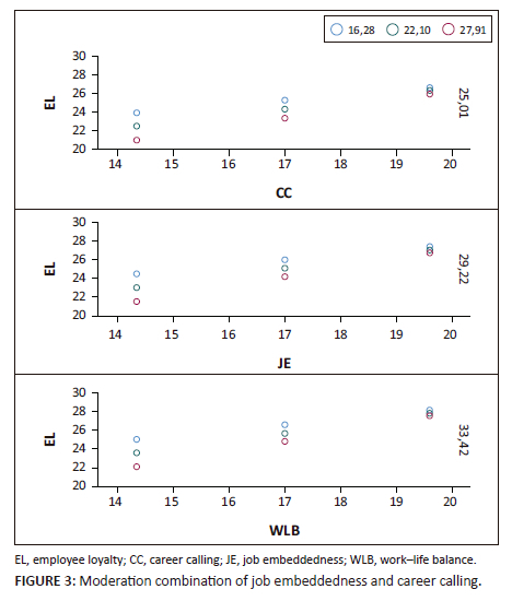
The results of the simultaneous moderation level analysis (Table 6) between CC and JE on the indirect influence of WLB on JP through EL show a significant interaction at a certain level between the two moderators (Table 6). When the CC and JE values are low (CC = 16.278; JE = 25.012), the indirect influence is not significant (effect = 0.001, BootLLCI = −0.177, BootULCI = 0.203). However, as CC and JE values increase, the indirect influence becomes significant. For example, at values CC = 27.914 and JE = 33.420, the indirect influence is significant (effect = 0.271, BootLLCI = 0.124, BootULCI = 0.461). This shows that the indirect influence of WLB on JP via EL is significantly strengthened by the combination of CC and JE, supporting H5. In other words, the simultaneous moderating role of CC and JE is key in strengthening the mediation pathway, highlighting the importance of the combination of personal factors and organisational embeddedness in this relationship.
Based on the simultaneous interaction plot (Figure 3) between JE and CC on the indirect influence of WLB on JP through EL, it can be seen that there are variations in the relationship that is influenced by JE and CC levels. At low to medium levels of JE (25.012 and 29.216) and at higher CC values (27.914), EL values tend to be higher, indicating that as JE and CC values increase, the influence of WLB on EL becomes stronger. On the other hand, at a low level of CC (16.278), this influence is relatively lower, indicating stronger moderation at higher CC. In addition, the relationship between WLB and EL becomes more significant at higher levels of JE (33.420), indicating that moderation of JE further increases the effectiveness of the indirect influence on JP through EL. Figure 3 illustrates that these two factors, CC and JE, interact to strengthen the influence of WLB on JP through EL, with a greater impact at higher levels of the two moderator variables.

Discussion
The results of this research show that WLB has a positive influence on JP, both directly and through EL as a mediating variable. This supports the first (H1) and second (H2) hypotheses, which are in line with previous research such as that conducted by Krishnan and Loon (2018) and Susanto et al. (2022), which found that balance between work and personal life not only improves individual performance but also strengthens EL to the organisation. Work-life balance helps employees to feel more satisfied with their work, which in turn increases work focus and productivity (Alex & Kaur, 2023; Nair et al., 2023).
Employees at food and beverage companies apparently have good work balance conditions. They can balance the work demands placed on them and everyday life (Fisher et al., 2009; Lockwood, 2003). This can happen because it is caused by several factors, namely: job characteristics, family background, attitude in making decisions and other factors. They can manage stress well and balance work and family conflicts (Agha et al., 2017). Work is usually more flexible in terms of time and is driven by the support of family and colleagues as well as colleagues outside of work. This can actually encourage them to improve their work performance better. Employees feel a harmonious work environment that can support them to orchestrate work and personal life more harmoniously (Beauregard & Henry, 2009). (Chua & Ayoko, 2021; Prakash, 2018) recommend that what actually needs to be paid attention to other things outside of work is the company's attention, which not only includes family matters but also a combination of various pleasures of the company's employees.
Food and beverage company employees apparently have a high level of loyalty. They have a high level of involvement and are proud to work for the company. This apparently strengthens them to continue working at the company. This finding strengthens the results of previous research that EL has a mediating role in strengthening the relationship between WLB and JP (Yudiani et al., 2023). Food and beverage company employees have a positive psychological condition that makes them feel part of an organisation, so they always want to work optimally. In fact, companies should pay attention to factors that influence EL, including: rational, emotional and personality factors of the employees (Soane et al., 2012), in addition to personal characteristics, work, company design and the experience gained by the company (Chen et al., 2023).
The role of CC as a moderator in the relationship between EL and JP is also significant (H3). These results indicate that the stronger the perception of an employee's CC, the greater its contribution in strengthening the relationship between loyalty and performance (Parola et al., 2023; Shen et al., 2021). This is consistent with research (Shan & Tian, 2022), which states that CC provides intrinsic motivation that strengthens loyalty to the organisation and contributes to high performance.
On the other hand, JE was also found to significantly moderate the relationship between WLB and EL (H4). These results support previous studies (Aman-Ullah et al., 2022; Peltokorpi & Sekiguchi, 2023), which state that work engagement strengthens the positive relationship between WLB factors and EL, especially through employees' emotional commitment and sense of connectedness to the organisation (Mitchell et al., 2009).
The simultaneous moderation between CC and JE in influencing the mediating effect of WLB on JP through EL is also significant (H5). These results indicate that the combination of high work engagement and the perception of a strong CC strengthens the indirect relationship between WLB and JP (Greenhaus & Powell, 2003). High work engagement can increase employee commitment to the work they do (Holtom et al., 2006), thus leading employees to invest more effort to achieve a harmonious WLB. When employees feel deeply connected to the workplace, they are more likely to be motivated to maintain a balance that allows them to perform well while meeting personal needs (Kahn, 1990; Kirti & Goyal, 2022). At the same time, strong CC will instil purpose in employees' work lives (Yang & Chen, 2020). Individuals who consider work to be part of a larger calling often feel more satisfied with the role they play in their work. At a high level of moderation, this relationship becomes increasingly clear, which means that the combination of these two moderating variables provides a synergistic influence in increasing the positive impact of WLB on JP through EL (Mitchell et al., 2009; Schabram et al., 2023). Employees who feel embedded in their work and called to their career tend to be better prepared to face challenges related to balancing work and life demands (Potgieter et al., 2018). These findings provide empirical evidence that individual factors (CC) and organisational context (JE) can work together to improve organisational outcomes through strengthening WLB.
In short, when an individual has a high level of work engagement (JE) and CC, the individual feels they are in optimum conditions to achieve an effective WLB, which positively influences JP. The interaction of these two factors (JE and CC) underscores the importance of fostering an environment where employees feel connected and purposeful in their role as an employee.
Overall, these findings make a significant contribution to related literature while offering practical implications for organisations in designing policies that support WLB, strengthening EL and creating work environments that promote work engagement and accommodate employees' career aspirations.
Theoretical implication
This research provides a number of significant theoretical implications for the development of literature related to WLB, EL, JP, CC and JE. Firstly, this research expands understanding of the mediating mechanism of EL in the relationship between WLB and JP. The research results confirm that EL plays an important role as a bridge connecting WLB with performance results, supporting previous findings (Haar et al., 2014). Secondly, by including CC and JE as moderating variables, this research offers a new contribution to the dual-impact moderation theory. The finding that CC strengthens the relationship between EL and JP, while JE strengthens the relationship between WLB and EL, underscores the importance of interactions between individual factors and organisational context in influencing work behaviour. This supports the person-environment fit approach (Kristof-Brown et al., 2005), which states that harmony between individual characteristics and the work environment contributes to optimal performance results. Thirdly, the simultaneous moderation of CC and JE shows that the impact of WLB on JP through EL is not only influenced by individual or organisational factors separately but also by the interaction between the two. This adds new insight into the literature regarding the combined effects of multiple moderations in mediation, which is still relatively rarely explored empirically.
This research also strengthens work engagement theory (Mitchell et al., 2009) and CC theory (Duffy et al., 2011) by showing that these two theories can be integrated to provide a more holistic picture of how employees respond to organisational and personal factors in increasing loyalty and performance. Therefore, this research extends these theories by adding empirical evidence about how the interaction of these variables contributes to organisational outcomes.
Managerial implication
This research provides significant managerial implications in the context of human resource management in organisations. Initially, companies need to encourage policies that support WLB, such as flexible working hours, mental health programmes and adequate leave, because balance between work and personal life has been proven to increase EL and contribute to better work performance. In addition, to strengthen EL, companies can invest in career development programmes, reward systems and create an inclusive work environment to increase employees' emotional attachment to the organisation. Furthermore, organisations need to support the development of CC by providing clear career paths and creating a work environment where employees can find meaning in their work. This can be done through mentoring programmes, training and recognition of individual contributions. Apart from that, strengthening JE is also important, by creating a collaborative work environment, strengthening relationships between employees and providing strong social support. This not only increases loyalty but also encourages deeper engagement in work. A combined approach that balances individual aspects, such as career and the meaning of work, with organisational approaches, such as creating a supportive work culture, will produce an optimal impact on JP. This strategy not only creates more loyal and productive employees but also helps organisations build a stronger competitive edge in the labour market. Therefore, integrating WLB policies, increasing EL and strengthening CC and JE can be effective strategies for achieving sustainable organisational success.
Limitation and future research
This study has several limitations that need to be acknowledged. Firstly, the cross-sectional study design limits the ability to infer causal relationships between variables. The relationships identified between WLB, EL, CC JE and JP are correlational, not causal. Longitudinal designs can better capture the dynamics of these relationships over time. Secondly, this study used a self-reported questionnaire, which may introduce common method bias because of social bias or self-perception errors. Thirdly, the research sample comes from a specific organisational or cultural context, thereby limiting the generalisability of the findings to other sectors, industries or countries. Fourthly, although this research focuses on moderators and mediators, other relevant variables (e.g. organisational culture, leadership style or psychological capital) that may influence these relationships were not examined. The present study is also intentionally scoped to the employee perspective to understand individual-level dynamics; thus future research may incorporate employer perspectives or organisational policies to provide a more comprehensive view.
Future research needs to consider efforts to overcome these limitations. Firstly, the use of a longitudinal approach will allow researchers to explore how WLB, EL, CC, JE and JP develop and interact with each other over time, providing stronger evidence of causal relationships. Secondly, the integration of data collection from multi-sources (e.g. peers, supervisors or organisational records) can minimise biases associated with self-reported data. Thirdly, expanding the research to different industries and cultural contexts could increase the generalisability and applicability of the findings in different work environments. Fourthly, future studies could explore the role of other moderators or mediators, such as leadership support, job satisfaction or employee resilience, to develop a more comprehensive understanding of the factors that influence JP. Fifthly, researchers can use experimental or intervention-based designs to assess how specific programmes, such as WLB initiatives or career development workshops, influence the variables studied and improve organisational outcomes.
By addressing these areas, future research can build on the findings of this study and provide deeper insight into the complex interactions between individual and organisational factors in shaping JP.
Conclusion
The conclusion of this research shows that WLB has a positive influence on JP both directly and through EL as a mediating variable. These results emphasise the importance of balance between work and personal life in increasing EL, which in turn has an impact on improving work performance. This research also proves that CC moderates the relationship between EL and JP, where individuals who have a strong perception of the meaning of work show better performance when their loyalty is high. In addition, JE moderates the relationship between WLB and EL, indicating that high emotional and social attachment in the organisation strengthens the positive impact of WLB on loyalty. Simultaneously, JE and CC as dual-impact moderation also strengthen the mediating influence of WLB on JP through EL, especially in conditions of a combination of high levels of CC and JE. This underlines the importance of a holistic approach to human resource management that considers both internal individual factors and work environment support.
In conclusion, this research provides new insights into the complex interactions between WLB, EL, CC, JE and JP, which can be the basis for more effective and sustainable employee management strategies in organisations.
Acknowledgements
Competing interests
The authors declare that they have no financial or personal relationships that may have inappropriately influenced them in writing this article.
Authors' contributions
R.P.S., I.S. and M.M. contributed in writing of the manuscript. R.P.S. developed the methodology and contributed to formal analysis, writing the original draft, project administration, data curation, review and editing and funding acquisition. I.S. conducted the investigation and contributed to writing the original draft, visualisation, software, data curation, resource gathering and allocation and funding acquisition. M.M. conceptualised the study and contributed to review and editing, supervision, as well as validation.
Funding information
This research received no specific grant from any funding agency in the public, commercial or not-for-profit sectors.
Data availability
The data that support the findings of this study are available from the corresponding author, R.P.S. upon reasonable request.
Disclaimer
The views and opinions expressed in this article are those of the authors and are the product of professional research. The article does not necessarily reflect the official policy or position of any affiliated institution, funder or agency or that of the publisher. The authors are responsible for this article's results, findings and content.
References
Agha, K., Azmi, F.T., & Khan, S.A. (2017). Work-Life Balance: Scale Development and Validation. In M.L. Heras, N. Chinchilla & M. Grau (Eds.), The Work-Family Balance in Light of Globalization and Technology (pp. 109-130). Newcastle upon Tyne, UK: Cambridge Scholars Publishing.
Alex, O.J., & Kaur, J. (2023). A study on the work life balance of the employees. Shanlax International Journal of Management, 11(1), 61-65. https://doi.org/10.34293/management.v11i1.6230 [ Links ]
Aman-Ullah, A., Aziz, A., Ibrahim, H., Mehmood, W., & Abdullah Abbas, Y. (2022). The impact of job security, job satisfaction and job embeddedness on employee retention: An empirical investigation of Pakistan's health-care industry. Journal of Asia Business Studies, 16(6), 904-922. https://doi.org/10.1108/JABS-12-2020-0480 [ Links ]
Andina, T., Kusuma, K.A., & Firdaus, V. (2023). The role of self-efficacy, work motivation and work interest on student work readiness. Management Studies and Entrepreneurship Journal, 4(6). https://doi.org/10.21070/ups.2377 [ Links ]
Bakker, A.B., & Demerouti, E. (2007). The Job Demands-Resources model: State of the art. Journal of Managerial Psychology, 22(3), 309-328. https://doi.org/10.1108/02683940710733115 [ Links ]
Beauregard, T.A., & Henry, L.C. (2009). Making the link between work-life balance practices and organizational performance. Human Resource Management Review, 19(1), 9-22. https://doi.org/10.1016/j.hrmr.2008.09.001 [ Links ]
Chen, X., Zhu, L., Liu, C., Chen, C., Liu, J., & Huo, D. (2023). Workplace diversity in the Asia-Pacific Region: A review of literature and directions for future research. Asia Pacific Journal of Management, 40(3), 1021-1045. https://doi.org/10.1007/s10490-021-09794-6 [ Links ]
Chua, J., & Ayoko, O.B. (2021). Employees' self-determined motivation, transformational leadership and work engagement. Journal of Management and Organization, 27(3), 523-543. https://doi.org/10.1017/jmo.2018.74 [ Links ]
Crossley, C.D., Bennett, R.J., Jex, S.M., & Burnfield, J.L. (2007). Development of a global measure of job embeddedness and integration into a traditional model of voluntary turnover. Journal of Applied Psychology, 92(4), 1031-1042. https://doi.org/10.1037/0021-9010.92.4.1031 [ Links ]
Curzi, D., Garrone, M., & Olper, A. (2021). Import competition and firm markups in the food industry. American Journal of Agricultural Economics, 103(4), 1433-1453. https://doi.org/10.1111/ajae.12175 [ Links ]
Dik, B.J., & Duffy, R.D. (2012). Make your job a calling: How the psychology of vocation can change your life at work. Templeton Foundation Press.
Ding, H., Tian, J., Yu, W., Wilson, D.I., Young, B.R., Cui, X., Xin, X., Wang, Z., & Li, W. (2023). The Application of artificial intelligence and big data in the food industry. Foods, 12(24), 4511. https://doi.org/10.3390/foods12244511 [ Links ]
Duffy, R.D., Dik, B.J., & Steger, M.F. (2011). Calling and work-related outcomes: Career commitment as a mediator. Journal of Vocational Behavior, 78(2), 210-218. https://doi.org/10.1016/j.jvb.2010.09.013 [ Links ]
Fisher, G.G., Bulger, C.A., & Smith, C.S. (2009). Beyond work and family: A measure of work/nonwork interference and enhancement. Journal of Occupational Health Psychology, 14(4), 441-456. https://doi.org/10.1037/a0016737 [ Links ]
Folkard, S., & Tucker, P. (2003). Shift work, safety and productivity. Occupational Medicine, 53(2), 95-101. https://doi.org/10.1093/occmed/kqg047 [ Links ]
Greene, A. marie, & Robbins, M. (2015). The cost of a calling? Clergywomen and work in the Church of England. Gender, Work and Organization, 22(4), 405-420. https://doi.org/10.1111/gwao.12101 [ Links ]
Greenhaus, J.H., & Powell, G.N. (2003). When work and family collide: Deciding between competing role demands. Organizational Behavior and Human Decision Processes, 90(2), 291-303. https://doi.org/10.1016/S0749-5978(02)00519-8 [ Links ]
Griffin, M.A., Neal, A., & Parker, S.K. (2007). A new model of work role performance: Positive behavior in uncertain and interdependent contexts. Academy of Management Journal, 50(2), 327-347. https://doi.org/10.5465/AMJ.2007.24634438 [ Links ]
Haar, J.M., Russo, M., Suñe, A., & Ollier-Malaterre, A. (2014). Outcomes of work-life balance on job satisfaction, life satisfaction and mental health: A study across seven cultures. Journal of Vocational Behavior, 85(3), 361-373. https://doi.org/10.1016/j.jvb.2014.08.010 [ Links ]
Hair, J.F., Black, W.C., Babin, B.J., & Anderson, R.E. (2014). Multivariate data analysis. Pearson New International Edition (7th ed.). Pearson Education Limited.
Hanaysha, J. (2016). Examining the effects of employee empowerment, teamwork, and employee training on organizational commitment. Procedia - Social and Behavioral Sciences, 229, 298-306. https://doi.org/10.1016/j.sbspro.2016.07.140 [ Links ]
Hayes, A.F. (2018). Introduction to mediation, moderation, and conditional process analysis: A regression-based approach (2nd ed.). The Guilford Press.
Holtom, B.C., Mitchell, T.R., & Lee, T.W. (2006). Increasing human and social capital by applying job embeddedness theory. Organizational Dynamics, 35(4), 316-331. https://doi.org/10.1016/j.orgdyn.2006.08.007 [ Links ]
Husniati, R., Supriadi, Y.N., & Ali, S. (2024). The Work life balance and job embeddedness on turnover intention: The role of organizational commitment as intervening. Quality - Access to Success, 25(198), 160-166. https://doi.org/10.47750/QAS/25.198.17 [ Links ]
Jablonski, B.B.R., Schmit, T.M., & Kay, D. (2016). Assessing the economic impacts of food hubs on regional economies: A framework that includes opportunity cost. Agricultural and Resource Economics Review, 45(1), 143-172. https://doi.org/10.1017/age.2016.9 [ Links ]
Kahn, W.A. (1990). Psychological conditions of personal engagement and disengagement at work. Academy of Management Journal, 33(4), 692-724. https://doi.org/10.5465/256287 [ Links ]
Kirti, K., & Goyal, S. (2022). Adoption of employee engagement practices at the workplace: Higher educational institutes. Journal of Positive School Psychology, 6(2), 507-517. [ Links ]
Krishnan, R., & Loon, K.W. (2018). The effects of job satisfaction and work-life balance on employee task performance. International Journal of Academic Research in Business and Social Sciences, 8(3), 652-663. https://doi.org/10.6007/ijarbss/v8-i3/3956 [ Links ]
Kristof-Brown, A.L., Zimmerman, R.D., & Johnson, E.C. (2005). Consequences of individuals' fit at work: A meta-analysis of person-Jo. Personnel Psychology, 58, 281-342. https://doi.org/10.1111/j.1744-6570.2005.00672.x [ Links ]
Liu, X., & Xu, Y. (2022). The influence of the career calling on the employees' creative deviance. Frontiers in Psychology, 13, 1069140. https://doi.org/10.3389/fpsyg.2022.1069140 [ Links ]
Lockwood, N.R. (2003). Work/life balance: Challenges and solutions for human resource management. SHRM Research, Research Quarterly, 19(4), 94. [ Links ]
Masruroh, N. (2020). The competitiveness of Indonesian halal food exports in global market competition industry. Economica: Jurnal Ekonomi Islam, 11(1), 25-48. https://doi.org/10.21580/economica.2020.11.1.3709 [ Links ]
Mehta, S., Singh, T., Bhakar, S.S., & Sinha, B. (2010). Employee loyalty towards organization - A study of Academician. International Journal of Business Management and Economic Research, 1(1), 98-108. [ Links ]
Meyer, J.P., & Allen, N.J. (1991). A three-component conceptualization of organizational commitment. Human Resource Management Review, 1(1), 61-89. https://doi.org/10.1057/9780230501997_5 [ Links ]
Mitchell, T.R., Holtom, B.C., Lee, T.W., Sablynski, C.J., & Erez, M. (2009). Why people stay : Job embeddedness using job embeddedness to predict predict voluntary turnover. Management, 44(6), 1102-1121. https://doi.org/10.2307/3069391 [ Links ]
Nair, V., Sinniah, S., Makhbul, Z.K.M., Salleh, M.F.M., & Rahman, M.R.C.A. (2023). The impact of emotional intelligence on work-life balance and job performance among Malaysian employees. Journal of Law and Sustainable Development, 11(11), e1095. https://doi.org/10.55908/sdgs.v11i11.1095 [ Links ]
Parola, A., Zammitti, A., & Marcionetti, J. (2023). Career calling, courage, flourishing and satisfaction with life in Italian University Students. Behavioral Sciences, 13(4), 345. https://doi.org/10.3390/bs13040345 [ Links ]
Peltokorpi, V., & Allen, D.G. (2024). Job embeddedness and voluntary turnover in the face of job insecurity. Journal of Organizational Behavior, 45(3), 416-433. https://doi.org/10.1002/job.2728 [ Links ]
Peltokorpi, V., & Sekiguchi, T. (2023). The interaction of the five-factor personality traits and job embeddedness in explaining voluntary turnover: A necessary-condition perspective. European Journal of Work and Organizational Psychology, 32(5), 688-701. https://doi.org/10.1080/1359432X.2023.2246216 [ Links ]
Podsakoff, P.M., MacKenzie, S.B., Lee, J.Y., & Podsakoff, N.P. (2003). Common method biases in behavioral research: a critical review of the literature and recommended remedies. Journal of applied psychology, 88(5), 879. https://doi.org/10.1037/0021-9010.88.5.879 [ Links ]
Potgieter, I.L., Coetzee, M., & Ferreira, N. (2018). The role of career concerns and workplace friendship in the job embeddedness-retention practices satisfaction link. SA Journal of Industrial Psychology, 44, 1519. https://doi.org/10.4102/sajip.v44i0.1519 [ Links ]
Prakash, V. (2018). Work-life balance: Perceptions of the non-work domain. IIM Kozhikode Society and Management Review, 7(2), 97-108. https://doi.org/10.1177/2277975218769505 [ Links ]
Qian, S., Yuan, Q., Niu, W., & Liu, Z. (2022). Is job insecurity always bad? The moderating role of job embeddedness in the relationship between job insecurity and job performance. Journal of Management and Organization, 28(5), 956-972. https://doi.org/10.1017/jmo.2018.77 [ Links ]
Rezvani, A., Khosravi, P., & Ashkanasy, N.M. (2018). Examining the interdependencies among emotional intelligence, trust, and performance in infrastructure projects: A multilevel study. International Journal of Project Management, 36(8), 1034-1046. https://doi.org/10.1016/j.ijproman.2018.08.002 [ Links ]
Rosenthal, M.B., Fernandopulle, R., Song, H.S.R., & Landon, B. (2004). Paying for quality: Providers' incentives for quality improvement. Health Affairs, 23(2), 127-141. https://doi.org/10.1377/hlthaff.23.2.127 [ Links ]
Satterthwaite, D., McGranahan, G., & Tacoli, C. (2010). Urbanization and its implications for food and farming. Philosophical Transactions of the Royal Society B: Biological Sciences, 365(1554), 2809-2820. https://doi.org/10.1098/rstb.2010.0136 [ Links ]
Schabram, K., Nielsen, J., & Thompson, J. (2023). The dynamics of work orientations: An updated typology and agenda for the study of jobs, careers, and callings. Academy of Management Annals, 17(2), 405-438. https://doi.org/10.5465/annals.2021.0153 [ Links ]
Shan, T., & Tian, X. (2022). The effects of mindfulness upbringing perception on social entrepreneurship orientation: A moderated mediation model of prosocial motivation and perceived pressure from external stakeholders. Frontiers in Psychology, 13, 968484. https://doi.org/10.3389/fpsyg.2022.968484 [ Links ]
Shen, X., Gu, X., Chen, H., & Wen, Y. (2021). For the future sustainable career development of college students: Exploring the impact of core self-evaluation and career calling on career decision-making difficulty. Sustainability (Switzerland), 13(12), 6817. https://doi.org/10.3390/su13126817 [ Links ]
Soane, E., Truss, C., Alfes, K., Shantz, A., Rees, C., & Gatenby, M. (2012). Development and application of a new measure of employee engagement: The isa engagement scale. Human Resource Development International, 15(5), 529-547. https://doi.org/10.1080/13678868.2012.726542 [ Links ]
Steger, M.F., Pickering, N.K., Shin, J.Y., & Dik, B.J. (2010). Calling in work: Secular or sacred? Journal of Career Assessment, 18(1), 82-96. https://doi.org/10.1177/1069072709350905 [ Links ]
Susanto, P., Hoque, M.E., Jannat, T., Emely, B., Zona, M.A., & Islam, M.A. (2022). Work-life balance, job satisfaction, and job performance of SMEs employees: The moderating role of family-supportive supervisor behaviors. Frontiers in Psychology, 13, 906876. https://doi.org/10.3389/fpsyg.2022.906876 [ Links ]
Treadgold, R. (1999). Transcendent vocations: Their relationship to stress, depression, and clarity of self-concept. Journal of Humanistic Psychology, 39(1), 81-105. https://doi.org/10.1177/0022167899391010 [ Links ]
Wu, G., Hu, Z., & Zheng, J. (2019). Role stress, job burnout, and job performance in construction project managers: The moderating role of career calling. International Journal of Environmental Research and Public Health, 16(13), 2394. https://doi.org/10.3390/ijerph16132394 [ Links ]
Wu, G., Wu, Y., Li, H., & Dan, C. (2018). Job burnout, work-family conflict and project performance for construction professionals: The moderating role of organizational support. International Journal of Environmental Research and Public Health, 15(12), 2. https://doi.org/10.3390/ijerph15122869 [ Links ]
Yang, C., & Chen, A. (2020). The double-edged sword effects of career calling on occupational embeddedness: Mediating roles of work-family conflict and career adaptability. Asian Nursing Research, 14(5), 338-344. https://doi.org/10.1016/j.anr.2020.09.005 [ Links ]
Yudiani, P.A.R., Santika, I.P., & Mustika, I.K. (2023). Employee loyalty mediating the influence of work life balance and financial compensation towards employee performance. Jurnal Scientia, 12(03), 3337-3346. [ Links ]
Zamberi, M.Z., Razak, M.I.F.A., Sapawi, A.A., Hamzah, K.Q.A., Dapari, R., Dom, N.C., Hassan, M.R., & Rahim, S.S.S.A. (2023). Factors associated with depression, anxiety, and stress among food industry workers: A systematic review. Malaysian Journal of Public Health Medicine, 23(2), 312-323. https://doi.org/10.37268/mjphm/vol.23/no.2/art.2146 [ Links ]
Correspondence:
Retno Setyaningrum
retno.purwani.setyaningrum@pelitabangsa.ac.id
Received: 07 Jan. 2025
Accepted: 22 Apr. 2025
Published: 12 June 2025











