Services on Demand
Journal
Article
Indicators
Related links
-
Cited by Google -
Similars in Google
Share
R&D Journal
On-line version ISSN 2309-8988Print version ISSN 0257-9669
R&D j. (Matieland, Online) vol.16 Stellenbosch, Cape Town 2000
On the feedback control gain of smart composite beams based on Mindlin-Reissner lamination theory
Bohua SunI; Da HuangII
ICentre for Research in Applied Technology, Peninsula Technikon, P.O. Box 1906, Bellville, 7535 South Africa. sunb@mecheng.pentech.ac.za
IIDepartment of Mechanical Engineering, Peninsula Technikon
ABSTRACT
The discussion of negative-velocity feedback control gain Ci is presented in this paper. For all the existing models, they normally neglect the electric charge of the actuator introduced by the mechanical force applied on the smart-composite structure. In this paper, the electric charge of the actuator is considered and the expression of the feedback control gain Gi is also studied. Numerical results are presented to demonstrate the scale of the feedback control gain.
Introduction
Smart structures technology featuring a network of sensors and actuators, real-time control capabilities, computational capabilities and host material will have a tremendous impact upon the design, development and manufacture of the next generation of products in diverse industries. The idea of applying smart materials to mechanical and structural systems has been studied by researchers in various disciplines. A number of promising materials with adaptable properties are available which may be used as sensor or actuator elements of smart structures. These materials include piezoelectric polymers and ceramics, shape memory alloys, electrorheological fluids and optical fibres. Modelling and simulation will play a key role in the design of smart structures (see Crawley).1
There have been many theories and models proposed for analysis of laminated composite beams and plates containing active and passive piezoelectric layers. Bailey and Hubbard2 designed a distributed-parameter actuator and control theory. They used the angular velocity at the tip of cantilever isotropic beam with constant-gain and constant-amplitude negative velocity algorithms and experimentally achieved vibration control. A mechanical model for studying the interaction of piezoelectric patches surface-mounted to beams has been developed by Crawley and de Luis,3 Im and Atluri,4 and Chandra and Chopra.5 The study presented here is different from those in that we study laminated beams containing piezoelectric, laminae. The strain sensing and actuating (SSA) lamina can offer both discrete effects similar to patches as well as distributed effect. Gerhold and Rocha6 used piezoelectric sensor/driver pairs that are collocated equidistant from
the neutral axis for the active vibration control of free-free isotropic beams using constant-gain feedback control. They neglected the effect of piezoelectric elements on the mass and stiffness properties of the beam element. The modeling aspects of laminated plates incorporating the piezoelectric property of materials have been reported in Lee,7 Crawley and Lazarus.8 Wang and Rogers9 used the assumptions of classical lamination theory combined with inclusion of the effects of spatially distributed, small-size induced strain actuators embedded at any location of the laminate. Both negative-velocity feedback and positive-position feedback gains have been discussed by Chan-drashekhara and Agarwal.10 An overview of recent developments in the area of sensing and control of structures by piezoelectric materials has been reported in Rao and Sunar.11 Mitchell and Reddy12 developed refined hybrid theory for laminated piezoelectric plates, Huang and Sun13,14 formulated laminated smart beams with piezoelectric laminae. Up to now, from our investigation, there is no one publication that has given attention to discussion of the negative-velocity feedback control gain. This is mainly the objective in this paper.
In some of the existing models proposed by Chen15 and Mindlin,16 they introduce the electric potential function as an additional variational function. But for some complicated cases, it is very difficult to determine this electric field function. The present model in this paper does not introduce the voltage as an additional degree of freedom. It assumes that the electric field distribution is average because the piezoelectric sensor and actuator layers are very thin. In this paper, we take the smart laminated beam as an example to discuss the feedback control gain. The present theory can apply to the smart composite plates and shells as well.
Laminate constitutive relations
Consider à fibre-reinforced laminated composite beam (length l, width b, and thickness h) containing distributed piezoelectric layers as sensor and actuator that can be on the top and bottom layers in the present beam model (Figure 1). The lamina constitutive relations of smart structure for the kth with respect to the plane (laminate) coordinates (x, y, z), is given as



where {e} is the strain, {a} is the stress, {D} is the electric displacement, {E} is the electric field intensity, [Q] is the elastic stiffness matrix, [ë] is the piezoelectric stress coefficient matrix and [g] is the permittivity matrix. Non-piezoelectric laminae can be modelled by simply setting the piezoelectric constants to zero and retaining the dielectric permittivity constants if necessary.
For the smart composite beam, equation (1) can be written as3

Strain-displacement relations of beams
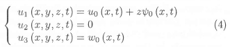
The displacement field of smart composite beams based on Mindlin16 theory is given by

where u0 and W0 represent the mid-plane displacements in the x,z directions, and represents the rotations of transverse normal to mid-plane about the y co-ordinates. Here, we assume that the displacement for the y-direction is neglected and U0, W0, γ0 are only functions of x-axis and time (t) in the present model of beam.
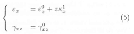
The strain displacement relations of the laminated beam based on a first order shear deformation theory associated with the displacement field are given by

where

Sensor equation
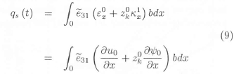
The equation (4) is used to calculate the output charge created by the strain in the smart beam. Since no external electric field is applied to the sensor layer, the electric displacement developed on the sensor surface is directly proportional to strain acting on the sensor. If the z-axis is the poling axis, the charge is collected only in the z-direction. Hence, only Dkz is considered. For a PVDF piezoelectric material layer acting as a sensor Ekz = 0 and equation (2) can be written as

In order for the charge to tie measured, the electric loop has to be closed. That is, the electrode has to appear on both sides of lamina so that a charge move in z-direction can be measured. It should be noted that the concept of the effective surface electrode is an approximation. From a practical design viewpoint, it must try to minimize the edge effect of the electric field. Based on all these physical arguments, the total charge q(t) can be measured through the sensor layer as

where R is the effective surface electrode of the piezoelectric sensor layer. Substitution of equation (7) in equation (8) results in

where

Discussion of feedback control gain
The external applied voltage across the actuator layer by using the negative velocity feedback control method is the following

where Gi is the gain to provide feedback control.
The phenomenon is called the direct piezoelectric effect which implies that when some mechanical force or pressure (strain) is applied on a piezoelectric component, some electric charge or voltage is induced in the piezoelectric material. Because of the capabilities of the piezoelectric materials, the actuator layer can also collect the electric charge due to the mechanical deformation, that is

where

Please note the difference in the definitions for z0k and z1k.
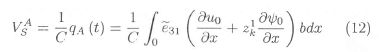
The voltage of actuator due to mechanical deformation can be written as

where C is the electric capacity of the actuator. The total voltage acting on the actuator layer is expressed as

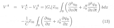
If set Va = 0 , the feedback control gain Gi can be expressed as

where

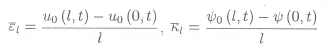
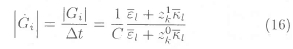
The symbols εl, kl are called the average measurement of deformation and εl,kl are the rate of deformation. If the period of time At is very small, it can be assumed that

Substituting equation (15) into equation (14) yields

where Gi is called the rate of feedback control gain. It can also be written as

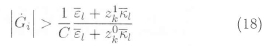
From equation 16, if
them there is no voltage applied on the actuator, it means the external applied voltage on the actuator is equal to the voltage of the actuator due to the mechanical deformation. The active control effect of smart composite beams can be observed when the feedback control gain has the following-expression:

It is very important to note that the scale of feedback control gain Gi has to be considered in the application of smart composite structures.
Results and discussion
In the present smart beam structure, the piezoelectric of the bottom layer is considered as a sensor to sense the strain and generate the electrical potential and the piezoelectric of the top layer as an actuator to control the vibration of the structure. All material properties used are shown in Table 1.

A cantilever laminated beam with distributed piezoelectric PVDF layer serving as a distributed actuator on the top surface, and another PVDF on the bottom surface as a distributed sensor, will be used as a case study. The beam dimensions considered are: length l = 100 mm and width b =5 mm. The thickness of the beam can be generally written as h = n x 0.125E - 3 m and piezoelectric PVDF layer is taken as 0.1 x 10-3 m (see Table 1). The applied transverse load is uniformly distributed and has a magnitude of 2.5 x 103 N/m2 and frequency of 10 Hz.
Figure 2 shows the tip depiction of the beam versus feedback control gain for the different ply orientation. From these results, it can be found that the tip deflection (amplitude) of the beam decreases quickly while the feedback control gain increases. It can also be found that the limit scale of feedback control gain is about 5 coulombs/ampere. From this point, the control effect can be clearly observed. But when the control gain Gi > 100 coulombs/ampere, the tip deflection decreases very slowly. From all these phenomena, we can say the optimal feedback control gain of the present beam model is about 100 coulombs / ampere.
Conclusions
The negative velocity of feedback control gain of smart composite beams has been discussed. There are three possible conditions for the feedback control gain Gi. Same results have been presented by Sun and Huang.17
1.
, only the self-created voltage is acting on the actuator layer. For this case, the control effect cannot be observed for the present beam model.
2. If
, the total voltage on the actuator layer is zero. This is the limit scale of feedback control gain.
3. If
, the active control effect will be clearly noticed.
Acknowledgement
This work is supported by the National Research Foundation (NRF) of South Africa under the project: Smart Composite Structures (GUN2038139). The Peninsula Technikon Scholarship is also gratefully acknowledged.
References
1. Crawley Edward F. Intelligent Structures for Aerospace: A Technology Overview and Assessment. AIAA Journal 1994, 32, pp.1689-1699. [ Links ]
2. Bailey T & Hubband JE. Distributed Piezoelectric-polymer Active Vibration Control of a Cantilever Beam. Journal of Outdance, Control and Dynamics, 1985, 8, pp.605-611. [ Links ]
3. Crawley EF & de Luis J. Use of Piezoelectric Actuators as Elements of Intelligent Structures. AIAA Journal, 1987, 10, pp. 1373-1385. [ Links ]
4. Im S & Atluri SN. Effects of a Piezo-actuator on a Finite Deformed Beam Subjected to general Loading. AIAA Journal, 1989, 27, pp.1801-1807. [ Links ]
5. Chandra R & Chopra I. Structural Modelling of Composite Beam with Induced-Strain Actuators. AIAA Journal, 1993, 31, pp. 1692-1701. [ Links ]
6. Gerhold CH & Rocha R. Active Control of Flexible Vibrations of Beams. Journal of Aerospace Engineering, 1990, 2, pp.141-154. [ Links ]
7. Lee CK. Theory of Laminated Piezoelectric Plates for the Design of Distributed Sensors/Actuators. Part 1: Governing Equations and Reciprocal Relationships. Journal of Acoustical Society of America, 1990, 87, pp.1144-1158. [ Links ]
8. Crawley EF & Lazarus KB. Induced Strain Actuation of Isotropic and Anisotropic Plates, AIAA Journal, 1991, 29, pp.944-951. [ Links ]
9. Wang BT & Rogers CA. Laminated Plate Theory for Spatially Distributed Induced Strain Actuators. Journal of Composite Materials, 1991, 25, pp.433452. [ Links ]
10. Chandrashekhara K & Agarwal AN. Active Vibration Control of Laminated Composite Plates Using Piezoelectric Devices: A Finite Element Approach. Journal of Intelligent Material Systems and Structures, 1993, 4, pp.496-508. [ Links ]
11. Rao SS & Sunar M. Piezoelectricity and Its Use in Disturbance Sensing and Control of Flexible Structures: A Survey. Applied Mechanics Rev., 1994, 47, pp.113-123. [ Links ]
12. Mitchell J A & Ready JN. A Refined Hybrid Plate Theory for Composite Laminates with Piezoelectric. Laminae. International Journal of Solids Structures, 1995, 32, pp.2345-23 67. [ Links ]
13. Huang D & Sun B. Nonlinear Vibration Analysis of Smart Composite Beams. Proceedings of the 2nd South Africa Conference on Applied Mechanics, Cape Town, 1998, 1, pp.481-492. [ Links ]
14. Huang D & Sun B. Vibration Analysis of Laminated Composite Beams with Piezoelectric Layers Using a Higher Order Theory. ICCST/2, Durban, 1998, pp. 395-402.
15. Chen SH, Wang ZD & Liu XH. Active Vibration Control and Suppression for Intelligent Structures. Journal of Sound and Vibration, 1997, 200, pp.167-177. [ Links ]
16. Mindlin RD. Influence of Rotatory Inertia and Shear on Flexural Motions of Isotropic, Elastic Plates. Journal of Applied Mechanics, 1965, 18, pp.31-38. [ Links ]
17. Sun B & Huang D. On Feedback Control Gain of Smart Laminated Beams, Plates and Shells. Proceedings of the 6th International Conference on Composite Engineering (ICCE/6), 1999, pp.81-83.
Received April 1999
Final version May 2000












