Services on Demand
Journal
Article
Indicators
Related links
-
Cited by Google -
Similars in Google
Share
R&D Journal
On-line version ISSN 2309-8988Print version ISSN 0257-9669
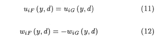
R&D j. (Matieland, Online) vol.15 Stellenbosch, Cape Town 1999
Numerical lifting line method for high speed free surface effect and/or ground effect
G.D. Thiart
Senior Lecturer, Department of Mechanical Engineering, University of Stellenbosch, Stellenbosch, 7600 South Africa
ABSTRACT
A numerical lifting line method for the calculation of lift and induced drag on a straight wing of finite span in the proximity of a free surface, a ground surface, or a combination thereof is presented. The circulation distribution is expressed in terms of a Fourier sine series as for the classical Prandtl-Lanchester lifting line method. No approximations are introduced to linearize the lifting line equations, and the resulting nonlinear set of equations are solved iteratively. Results from the numerical lifting line method and approximate linearized methods available in the literature are compared for two practical wing planforms. Agreement between the two methods is shown to be good as long as the depth of submergence and/or ground clearance is large enough for the approximate method to be applicable.
Introduction
When a hydrofoil of finite span, i.e. a wing operating close to a free surface, is tested in a towing tank to obtain its hydrodynamic characteristics (lift, drag, and centre of pressure), the data have to be corrected for boundary effects, i.e. the influences of the tank bottom and side walls. Conversely, when a hydrofoil is used in shallow water or in a narrow canal, it is necessary to know what the effect of these restrictions is on the characteristics of the hydrofoil.
Approximations such as the lumped-vortex models used in aerodynamics1 are usually employed to estimate the boundary effects, see for example Wadlin et al.2 The applicability of these approximations is at best uncertain, especially for small depths of submergence or ground surface clearance. It is the purpose in this paper to present a numerical lifting line method which can be used to estimate the towing tank bottom/shallow water effect for high-speed hydrofoils, and to determine the range of applicability of the approximate formulations.
The classical Prandtl-Lanchester lifting line method for the calculation of lift and induced drag on a wing of finite span, as described by Bertin and Smith,3 Anderson,4 and Houghton and Carpenter,5 amongst others, is only applicable for unbounded flows, and for wings with linear sectional lift characteristics. The iterative numerical lifting line method of Anderson et al.6 extended the classical method to wings with nonlinear sectional lift characteristics. This numerical method was adapted by Thiart7 to account for free-surface effects, by including a down wash correction. Here the latter method is modified to also model ground effect and the combination of free-surface and ground effect.
Mathematical model
General formulation
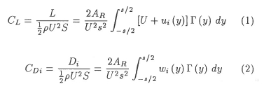
The lift and induced-drag coefficients for a wing of finite aspect ratio are computed, according to the lifting line method, from the circulation distribution Γ(y) axialwash distribution Ui(y)and down wash distribution Wi(y)at the lifting line:

The local circulation strength is expressed as follows in terms of the local chord length c(y), effective onflow velocity Ve(y), and sectional lift coefficient Ci(y):

The magnitude of the effective onflow velocity is in turn expressed in terms of the free stream velocity and the velocities induced at the lifting line by the trailing vorticity associated with the lifting line and the proximity of boundaries:

The sectional lift coefficient is assumed to be a known function of the local effective angle of attack αe(y) only, which is in turn a function of the geometrical angle of attack α(y), the zero-lift angle of attack α0(y), and the induced angle of attack αi(y):

Finally, the induced velocities are dependent on the circulation distribution, as will be detailed in the following subsections for the various cases of ground effect, free-surface effect, and the combination of ground and free-surface effect. These equations plus equations (1) to (6) are solved iteratively, starting from an initial circulation distribution which, for the results presented here, is the circulation distribution obtained by means of the classical Prandtl-Lanchester lifting line method for a wing in unbounded flow and with linearized sectional lift characteristics. The circulation distribution, induced velocities, etc. are also obtained in the process, in terms of numerical values at the finite number of sections along the lifting line at which the chord length, the two-dimensional lift coefficient, and the geometrical and zero-lift angles of attack are defined.
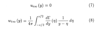
Induced velocities for unbounded flow
For this case, the expressions for the induced velocities are the same as for the classical lifting line theory, i.e.

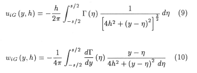
Induced velocities for ground effect
Ground effect for a lifting line of strength Γ(y) at height h above a ground surface is simulated1 by placing an image lifting line of strength - Γ(y) at a distance 2h below the lifting line, as illustrated in Figure 1. The additional induced velocities (to be added to those for the unbounded flow case) are given by


Induced velocities for high-speed free-surface effect
Free surface effect at large Froude numbers (i.e. high speed) for a lifting line of strength Γ(y) at depth of submergence d below a free surface is simulated1 by placing an image lifting line of strength +Γ(y) at a distance 2d above the lifting line, as illustrated in Figure 2. The additional induced velocities (to be added to those for the unbounded flow case) are given by


Induced velocities for combined high-speed free-surface and ground effect
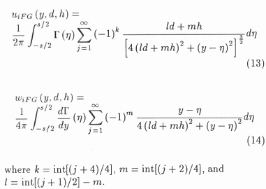
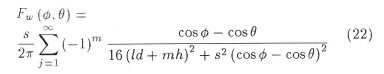
Free surface effect at large Froude numbers combined with ground effect for a lifting line of strength Γ(y) at depth of submergence d below a free surface and height h above a ground surface is simulated2 by placing a series of image lifting lines of alternating strengths ±Γ(y) above and below the lifting line, as illustrated in Figure 3. The additional induced velocities (to be added to those for the unbounded flow case) are given by


Note that equations (9) to (10) can be recovered from equations (13) to (14) by taking only the terms for j = 2, and that equations (11) to (12) can be recovered from equations (13) to (14) by taking only the terms for j = 1.
Numerical model
Representation of the circulation distribution
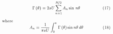
In the numerical lifting line methods of Anderson et al.6and Thiart,7 the circulation distribution is expressed in terms of piecewise linear or quadratic curve fits. Near the wing tips the magnitude of the circulation changes rapidly (to zero at the wing tips), with the result that the linear or quadratic representations are inaccurate there. Consequently it is necessary to divide the lifting line into a fairly large number of sections (100+) in order to obtain accurate results, as a result of which the methods are prone to divergence, and usually heavy underrelaxation is required to obtain a solution, if at all. For the method presented here, the circulation distribution is expressed in terms of a Fourier sine series, as for the classical Prandtl-Lancaster lifting line method:

where θ is a transformation variable defined by y =- (s/2)cosθ. As will be shown later, much coarser subdivisions of the lifting line (≈30 sections) are sufficient to produce accurate solutions.
The numerical solution procedure is started with the classical linear solution which is the truncated Fourier series

During the iteration process the circulation distribution is updated by means of equation (3), using the latest values of induced velocities at the sections along the lifting line. It is necessary to do an inverse Fourier transformation on the result to obtain the circulation distribution Fourier coefficients, and, due to the effect of aliasing,8 it is only possible to calculate half as many Fourier coefficients as there are sections. Consequently, the actual representation of the nonlinear circulation distribution is given by

The integrals defined by equation (13) are evaluated numerically, using piecewise quadratic curve fits for Γas function of θ.
Calculation of the induced velocities
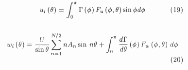
The expressions for the induced velocities can be written in the following general form, covering all four cases under consideration:

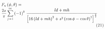
The first term in equation (20) represents wi∞, and is obtained analytically from equation (8). The remaining two terms in equations (19) and (20) represent the effect of the images, and the integrals contained in them are evaluated numerically using piecewise quadratic curve fits for Γ, Fu, dΓ/dθand Fw as functions of the dummy variable φ. The functions Fu and Fw are defined implicitly by equations (9) and (10), equations (11) and (12), or equations (13) and (14), as appropriate. For the most general case, i.e. when Ui = Ui∞+ UiFGand Wi= Wi∞ +4 WiFG, they are as follows:


In the case of combined free-surface and ground effect, these functions need only be evaluated for a finite number of images. It has been found by numerical experimentation that the number of images required for accurate computations can be taken as the nearest integer value to 100/ min[d/s, h/s].
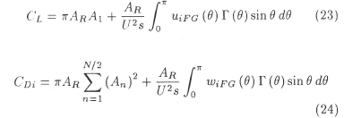
Calculation of the lift and induced drag
The coefficients of lift and induced drag are obtained by integration of equations (1) and (2), analytically in part by using the expression for the circulation distribution given by equation (17) and the first term in the expression for the downwash given by equation (20). The results for the most general case are as follows:

The remaining integrals in equations (23) and (24) are evaluated numerically using piecewise quadratic curve fits for Γ, Ui and Wífg as functions of θ.
Results
The numerical model described in the previous section was programmed in double precision FORTRAN77. The program was then used to compute the lift and induced-drag coefficients for a wing with circular arc cross-sections with maximum camber equal to 4.375% of chord length. For such cross-sections the zero-lift angle (α0) and two-dimensional lift curve slope
predicted by thin airfoil theory are equal to -5° and 2π, respectively. These two values were used for all the results presented in the two subsections that follow.
In order to ensure convergence, it was necessary to underrelax the downwash; an underrelaxation factor equal to 0.5° 2N was used throughout. The lifting line was subdivided by means of the semi-circle method, giving an equi-∆θspacing. Convergence was assumed to be reached when the product of the absolute changes in lift and induced-drag coefficients was less than 10-16 for ten consecutive iterations.
Convergence
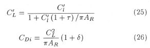
The lift curve slope and induced drag for a wing of finite aspect ratio can be expressed as follows:4

Here τ is a lift efficiency factor and 6 an induced-drag factor which, according to linear lifting line theory, are both equal to zero for a wing with an elliptical planform.
Computations were carried out to determine values for t and 6 as function of ∆θfor four different Ar = 5 wings: the first with an elliptical planform, the second with a rectangular planform, the third with a triangular planform, and the fourth with a tapered planform with a tip-to-root chord ratio of 0.3. These computations were carried out for two angles of attack: 0° and 5°, and some of the results are presented in Figures 4 to 6.



Figure 4 shows that the values of τ for all four planforms and for both angles of attack becomes grid-independent at ∆θ≈ 3°, i.e. for N ≈ 60. The same applies for the values of δ, Figure 5 (the results for α= 5° are not shown, as they are almost identical with the α = 0° results). The number of iterations required to reach convergence for the rectangular wing is less than 200 for α= 0° and less than 300 for α= 5° at ∆θ= 3°, as shown in Figure 6. The number of iterations required to reach convergence for the other three planforms are almost identical to those for the rectangular wing, and are therefore not shown.
Boundary effects
The proposed numerical method was further validated by comparing computed results with those of the analytical approximations presented by Von Karman and Burgers.1 These approximations were derived by means of lumped-vortex systems, i.e. the wing and each one of its images are represented by a single horseshoe vortex, the trailing 'legs' of which are separated by a distance ßs.
The factor ß can be determined5 by the two requirements that (i) the single horseshoe vortex must have the same strength as the sum of the trailing vortices in the lifting line representation of the wing, and (ii) that the lift must be the same for both methods. The result can be expressed in terms of the Fourier coefficients of the circulation distribution computed by means of the conventional linear line method:

and


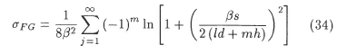
The factors σ and ϵare the values of the average downwash and axialwash, respectively, nondimensionalised with respect to U, induced at the lifting line by the image or images of the horseshoe vortex or vortices representing the wing. Expressions for these factors are as follows for ground effect,

For combined free-surface and ground effect, the factors can be obtained by summing the influences of all the images, the summations being similar to those of equations (13) and (14):


Numerical results computed by means of the proposed nonlinear lifting line method for ground effect and for high-speed free-surface effect are compared with the corresponding analytical approximations in Figures 7-10 for two practical Ar = 5 wings: one with a rectangular plan-form and the other one with a tapered planform with a tip-to-root chord ratio of 0.3. For these same two wings numerical results computed by means of the proposed non-linear lifting line method for combined ground effect and high-speed free-surface effect are compared with the corresponding analytical approximations in Figures 11-12. These latter results were computed for combinations of h/s and d/s such that h/s + d/s = 1. All the results were computed for angle of attack α= 0°.






The ground-effect approximation for variation in lift of the rectangular wing corresponds to within one percentage point with the numerical result down to a ground clearance of h/s ≈ 0.1 (≈0.5 chord lengths), and for the. tapered wing down to a ground clearance of h/s ≈0.2 (≈ 1 mean chord length), Figure 7. The differences for variation in induced drag are everywhere less than one percentage point, Figure 8.
The high-speed free-surface effect approximation for variation in lift of the rectangular wing corresponds to within one percentage point with the numerical result down to a submergence of d/s ≈0.2 (≈1chord length), and for the tapered wing down to a submergence of d/s ≈0.3 ≈ 1.5 mean chord lengths), Figure 9. The differences for variation in induced drag is less than one percentage point down to a submergence of d/s ≈ 0.06 0.3 chord lengths) for the rectangular wing, and down to a submergence of d/s ≈ 0.1 (≈0.5 mean chord lengths) for the tapered wing, Figure 10.
The combined ground effect and high-speed free-surface effect approximation for variation in lift of the rectangular wing corresponds to within one percentage point with the numerical result between d/s ≈ 0.15 and h/s ≈ 0.15 (both ≈ 0.75 chord lengths), and for the tapered wing between d/s ≈ 0.25 and h/s ≈ 0.2 (≈1.25 and 1 mean chord length, respectively), Figure 11. The differences for variation in induced drag is less than one percentage point for d/s >? 0.05 (≈ 0.25 chord lengths) for the rectangular wing, and for d/s >? 0.08 (≈ 0.4 mean chord lengths) for the tapered wing, Figure 12.
Conclusion
A numerical lifting line method for the computation of lift and induced drag of a wing in the proximity of a ground and/or a free surface has been presented. It has been shown that the method is both robust and accurate. Computations have been presented to show that the method can be used to estimate the range of accuracy of classical analytical approximations for computation of lift and induced drag.
The method can be used to compute towing tank corrections to measured data, if the clearance between the wing tips and towing tank side walls are large. Work is currently in progress to extend the method to also take into account the effect of side walls.
References
1. Von Karman T & Burgers JM. General aerodynamic theory - perfect fluids. Aerodynamic Theory, II, Dover, New York, 1963.
2. Wadlin KL, Shuford CL &McGehee JR. A theoretical and experimental investigation of the lift and drag characteristics of hydrofoils at sub critical and supercritical speeds. Langley Aeronautical Laboratory Report 1232. US Government, 1956.
3. Bertin JJ & Smith ML. Aerodynamics for Engineers. Prentice-Hall, Englewood Cliffs, 1979.
4. Anderson JD. Fundamentals of Aerodynamics. 2nd edn. McGraw-Hill, New York, 1991.
5. Houghton EL & Carpenter PW. Aerodynamics for Engineering Students. 4th edn. Edward Arnold, London, 1993.
6. Anderson JD, Corda S & Van Wie DM. Numerical lifting line theory applied to drooped leading-edge wings below and above stall. J. Aircr., 1980, 17, pp.898-904. [ Links ]
7. Thiart GD. Numerical lifting line theory for a hydrofoil near a free surface. R&D Journal, 1994, 10, pp.18-23. [ Links ]
8. Newland DE. Random Vibrations and Spectral Analysis. Longman, London, 1975.
Received August 1998
Final version January 1999











