Services on Demand
Journal
Article
Indicators
Related links
-
Cited by Google -
Similars in Google
Share
R&D Journal
On-line version ISSN 2309-8988Print version ISSN 0257-9669
R&D j. (Matieland, Online) vol.15 Stellenbosch, Cape Town 1999
Numerical lifting method for the determination of towing tank and wind tunnel corrections
G.D. Thiart
Associate Professor, Department of Mechanical Engineering, University of Stellenbosch, Private Bag Xl, Matieland, 7602 South Africa
ABSTRACT
A numerical lifting line method for the determination of the boundary corrections that have to be applied to the measurements of lift and induced drag on a wing tested in a towing tank or wind tunnel is presented. The method is an extension of the numerical lifting line method for high-speed free-surface and/or ground effect presented recently by the same author. As in this original method, the circulation distribution is expressed in terms of a Fourier sine series and no approximations are introduced to linearize the lifting line equations. Results from the numerical lifting line method and approximate linearized analytical solutions are compared for the practical case of a rectangular vjing at a small angle of attack. It is shown, for this specific case, that the required corrections for lift are of the order of 10% if the model wing span is about 0.8 times the width of the wind tunnel or towing tank, but that the side walls have negligible effect on the induced drag.
Introduction
Recently Thiart1 presented a numerical lifting line method for the computation of lift and induced drag of a wing in the proximity of a ground and/or free surface. The method can be used to compute towing tank corrections to measured data of lift and induced drag on a hydrofoil at high speed (high Froude number), if the clearances between the hydrofoil tips and the towing tank side walls are large. The objectives in this paper were to extend the method to also take into account the effect of the side walls, and to further extend the method so that it can also be used to compute wind tunnel corrections.
Approximations such as the lumped-vortex models used in aerodynamics2 are usually employed to estimate the boundary effects, see for example Wadlin et al.3in connection with towing tank corrections, and Pope & Harper4 in connection with wind tunnel corrections. The ranges of applicability of these approximations are at best uncertain, especially for small values of wing tip/side wall clearance. Furthermore, the corrections are only valid for wings which have symmetrical plan forms. The method presented here does not suffer from these limitations.
Mathematical model
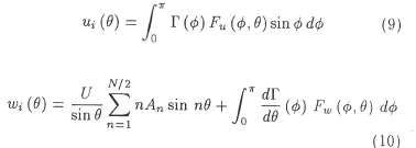
The general formulation presented by Thiart1 for high-speed free-surface and/or ground effect is still applicable when the effect of side walls is added, and will therefore not be explained again here. The only difference is in the formulation for the computation of the components of induced velocity, the downwash wi and the "axialwash" ui.
Induced velocities for towing tank corrections
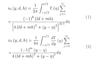
The expressions for the components of induced velocity at the lifting line representing a wing in combined free-surface (depth of submergence d) and ground effect (height above ground surface h) derived by Thiart1 can be written as follows:

where k - int[(j + 4)/4], m = int[(j + 2)/4], and l = int[(j + l)/2] - m. These expressions represent the influence of an infinite "vertical" array of lifting lines.
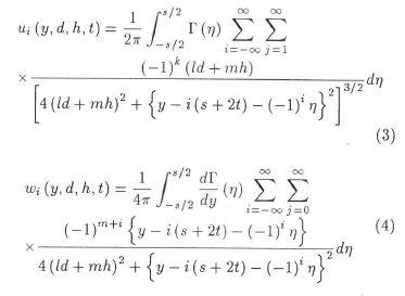
In order to also model side-wall effects, the influences of the images of this vertical array of lifting lines in the side walls have to be taken into account. This is achieved by a doubly infinite array of lifting lines, as illustrated schematically in Figure 1 for the usual case where the wing is placed symmetrically between the side walls. In this figure t denotes the clearance between the wing tips and the side walls. Note that the wing itself need not have a symmetrical planform: "P" and "S" in the figure indicate the port and starboard sides of the wing relative to its centre line. According to this model, the resulting "channel effect" induced velocities are


Induced velocities for wind tunnel corrections
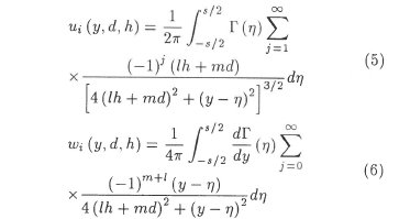
The expressions for the components of induced velocity at the lifting line representing a wing in combined free-surface and ground effect, equations (1) and (2), can be adapted as follows for the case where the free surface is replaced by a rigid surface:

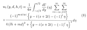
where m and l are as defined in the previous section. If the influences of the side walls are added, the resulting "tunnel effect" induced velocities are:


The doubly infinite array of lifting lines for tunnel effect is illustrated schematically in Figure 2.

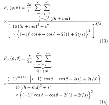
Numerical model
The numerical model developed by Thiart1 for high-speed free-surface and/or ground effect is still applicable when the effect of side walls is added, and will therefore not be repeated here. The only difference is the formulation of the "influence functions" Fu and Fw which are used to compute the induced velocities in the Fourier space, i.e. in the expressions

For the towing tank situation, these influence functions are derived from equations (3) and (4), resulting in the following formulas:

For the wind tunnel situation, the influence functions are derived from equations (7) and (8), resulting in the. following formulas:

The functions given by equations (11) to (14) need only be evaluated for a finite number of images. It has been found by numerical experimentation that the number of "vertical" images required for accurate computations can be taken as the nearest integer value to 100/min[d/s, h/s], and the number of "horizontal" images on either side as the nearest integer value to 100/(t/s).
Results
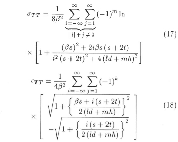
The proposed numerical method was validated by comparing computed results with those of the analytical approximations presented by Von Kármán and Burgers.2 According to these approximations, the changes in lift and induced drag, respectively, can be written as follows:

The factors σand ϵare, respectively, the values of the average downwash and axial wash, nondimensionalized with respect to the onflow velocity U, induced at the lifting line by the image or images of the horseshoe vortex or vortices representing the wing (Ar denotes the aspect ratio, and C'l and C'L, respectively, the sectional and overall lift curve slopes of the wing/hydrofoil). Expressions for these factors were derived by Thiart1 for combined free-surface and ground effect using a lumped-vortex system. This derivation can be extended to account also for the side walls of the towing tank or wind tunnel. Thus the following expressions are obtained for the towing tank situation:

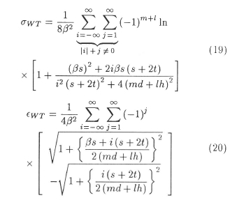
Similarly, the expressions valid for the wind tunnel situation can be shown to be as follows:

The factor β in equations (17) to (20) denotes the non-dimensional separation distance between the trailing vortices of the lumped vortex on each lifting line, and is determined as explained by Thiart.1
The FORTRAN77 computer program for ground effect and/or free-surface effect, written and described by Thiart,1 was extended to incorporate the numerical model described in the previous section. The two methods (numerical and analytical) were used to compute the lift and induced-drag corrections predicted for a wing with circular arc cross-sections with maximum camber equal to 4.375% of chord length. For such cross-sections the zero-lift angle and the sectional lift curve slope predicted by thin airfoil theory are equal to -5° and 2π, respectively. The computations were performed for the wing at its design angle of attack, i.e. 0°.
The lift and drag corrections computed For the wing placed at half the depth/height of the towing tank/wind tunnel are presented in Figures 3 and 4, respectively, as function of tip clearance and for the case where the total depth/height is equal to one span width. For this situation the differences between the effects of the horizontal boundaries predicted by the numerical and the analytical methods are close to zero, as shown by Thiart.1 It is clear from these figures that, for large tip clearances, the analytical results are quite close to the numerical results; the analytical corrections can probably be used with confidence for tip clearances grater than 0.2 time span width. For smaller tip clearances, it would probably be better to use the numerical method. Also evident from the lift corrections presented in Figure 3 is that, for tip clearances smaller than approximately 0.3, the effect of the side wall effects is significant, i.e. greater than about 5%. This is contrary to the assertion of Pope & Harper4 that side wall effects are negligible if the span width of the wing is less than about 80% of wind tunnel width.


It is usual to place a wing at approximately half the height of the wind tunnel when doing wind tunnel tests. For towing tank tests, however, it is usually the objective to determine the influence of submergence depth on the lift and drag. For such tests the water depth must be as much as possible, therefore the water depth is usually kept constant at its maximum value while the depth of submergence of the hydrofoil is varied. Computational results for such a situation are presented in Figures 5 and 6 for two combinations of depth of submergence/total depth. The large variation, especially in the lift corrections as function of depth of submergence at constant total depth, is evident from these figures.


Conclusion
A numerical lifting line method for the computation of lift and induced-drag corrections in towing tank and wind tunnel tests has been presented. It is to be noted that computed results of the kind presented in this paper can be used directly for the determination of wind tunnel corrections, but for towing tank applications a double correction is necessary: one to "remove" the effect of all boundaries and another to "add" the free-surface effect, i.e. a computation with bottom and side walls at infinity. This procedure will be utilized in work that is currently in progress at the Department to determine the hydrodynamic characteristics of hydrofoils as a function of their shape and depth of submergence.
References
1. Thiart GD. Numerical lifting line method for high-speed free-surface effect and/or ground effect. R&D Journal, 1999, 15, pp.16-25. [ Links ]
2. Von Kármán T & Burgers J M. General aerodynamic, theory - perfect fluids. Aerodynamic Theory, II. Dover, New York, 1963.
3. Wadlin KL, Shuford CL & McGehee JR. A theoretical and experimental investigation of the lift and drag characteristics of hydrofoils at subcritical and supercritical speeds. Langley Aeronautical Laboratory Report, 1232. US Government, 1956.
4. Pope A & Harper J J. Low-Speed Wind Tunnel Testing. John Wiley & Sons, New York, 1966.
Received January 1999
Final version May 1999











