Services on Demand
Journal
Article
Indicators
Related links
-
Cited by Google -
Similars in Google
Share
R&D Journal
On-line version ISSN 2309-8988Print version ISSN 0257-9669
R&D j. (Matieland, Online) vol.15 Stellenbosch, Cape Town 1999
Radial flow boundary layer development analysis
D.G. KrögerI; J.D. BuysII
IDepartment of Mechanical Engineering, University of Stellenbosch, Private Bag Xl, Matieland, 7602 South Africa
IIDepartment of Mathematics, University of Stellenbosch, Stellenbosch
ABSTRACT
A boundary layer analysis was performed to determine the pressure differential due to frictional effects, and the heat transfer coefficient during turbulent radial fluid flow between two approximately parallel discs or surfaces. The results of the analysis were applied to flow at the inlet of the collector of a solar chimney power plant and a numerical example is presented to show the effect that various independent variables have on the radial pressure and heat transfer coefficient.
Nomenclature
b exponent
Cpspecific heat, J/kg-K
dehydraulic diameter, m
f friction
ggravitational acceleration, m/s2
Hheight, m
hheat transfer coefficient, W/m2-K
Kloss coefficient.
kthermal conductivity, W/m-K
m mass flow rate, kg/s
Nu Nusselt number, h (r0 - r)/k
ppressure, N/m2
Pr Prandtl number, μcp/k
rradius, m
Ra Rayleigh number, gß∆TH3/α-v
Re Reynolds number , ρvde/μ
Ttemperature, K
vvelocity, m/s
zco-ordinate
Subscripts
c core
clcentreline
ppipe
rradius or rough
ssmooth
0 at outside radius
Greek letters
αthermal diffusivity, k/ρ-cp, m2/s
ß coefficient of volumetric thermal expansion, K-1 ∆ differential
δboundary layer thickness, m
ϵsurface roughness, m
θangle, o
μ dynamic viscosity, kg/m-s
Vkinematic viscosity, m2/s
ρdensity, kg/m3
τshear stress, N/m2
Introduction
When a fluid flows radially between two approximately parallel surfaces or discs a radial pressure gradient exists. If there is a temperature difference between the fluid and the surfaces, heat will be transferred. A practical example where such flow would occur is in the solar collector of a solar chimney power plant as shown schematically in Figure 1. This plant consists of a central chimney which is surrounded by a circular collector having a glass roof. Air is heated in the collector and flows up the chimney due to buoyancy effects. The air stream drives a turbine that is located near the base of the tower.

To evaluate the performance of such a plant the pressure drop and the heat transfer in the collector must be determined.
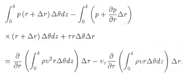
Analysis
Consider an elementary control volume in the boundary layer on a (smooth or rough) surface in a radial flow field between two discs (see Figure 2). The momentum equation in the radial direction is


For incompressible flow this reduces to

In the core region outside the boundary layer the flow is essentially frictionless with the result that Bernoulli's equation is applicable;

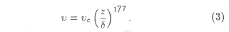
For fully developed turbulent flow in a pipe at Rep≈ 105 the velocity distribution can be approximated by a relatively simple empirical equation.1 For developing flow over a flat surface the analogous velocity distribution (due to the universality of the velocity distribution in a turbulent boundary layer) may be expressed in terms of the core velocity vc and the boundary layer thickness δas

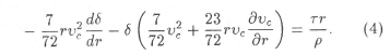
Substitute (2) and (3) into (1) and integrate, and find

For turbulent flow where the velocity distribution is relatively uniform at any radius (i.e. the boundary layer is relatively thin or the Reynolds number is high) the mass flow rate can be expressed approximately as

To avoid excessively high radial velocities in the collector as the radius decreases, the height of the upper disc or collector roof is assumed to be given by

where b is a parameter (0 < 6 < 1).
Heat transfer coefficient: smooth surfaces
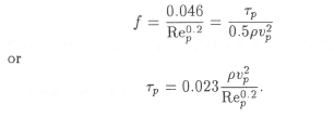
For smooth pipes the Fanning friction factor can be approximated by the following empirical equation1 in the range 104 < Rep < 106:

At a pipe Reynolds number of Rep ≈ 105 the ratio of mean pipe velocity to centreline velocity is

The analogous relation applied to the boundary layer on a flat plate is

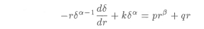
Substitute (5), (6), and (7) into (4), and find the differential equation

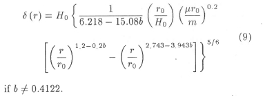
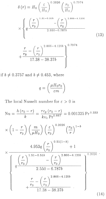
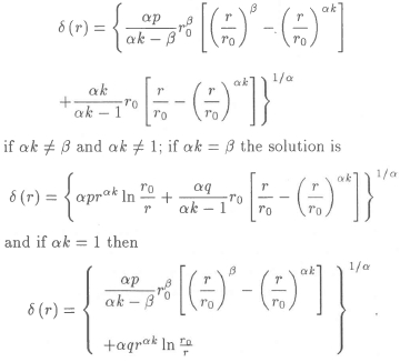
The solution of this differential equation together with the boundary condition δ(r0) = 0 (see Appendix A) yields the boundary layer thickness

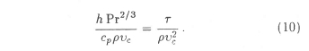
According to the Colburn analogy for a flat plate1 the local heat transfer coefficient can be expressed in terms of the local shear stress:

From (5), (7), and (10) it then follows that

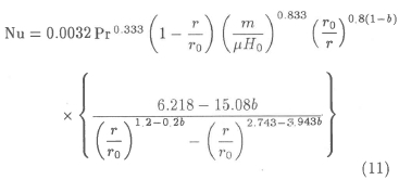
The local Nusselt number is defined as Nu = h(r0 -r)/k. From (6) and (9) it then follows for b ≠0.4122
that

The thermophysical properties in this equation are evaluated at the arithmetic average temperature of the surface and the core.
Heat transfer coefficient: rough surfaces
For rough pipe surfaces (ε> 0) the turbulent friction factor can be approximated by

This empirical relation approximately correlates the friction data for rough pipes in the range 0.0001 < ε/dp < 0.01 and makes possible an analytical solution of the problem. The corresponding pipe shear stress is

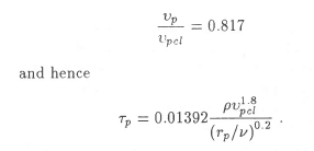
With vp - 0.817vpcl as before we find the analogous shear stress for turbulent flow over a rough flat plate:

Substituting (5), (6), and (12) into (4), the differential equation for δbecomes

The solution of this equation with δ(r0) - 0 is (see Appendix A):

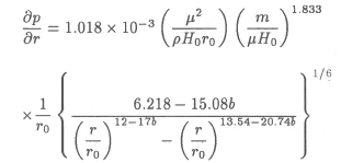
Pressure drop: smooth surfaces
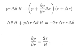
To find the radial pressure drop due to friction in the collector, consider a control volume located between two discs as shown in Figure 3. Then


Substituting (6), (7), and (9) into (15):

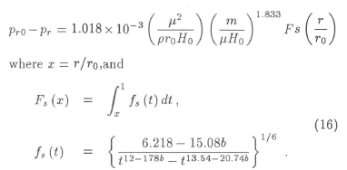
and integrating between the outer radius r0 and any other radius r, we find the pressure drop

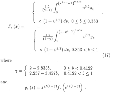
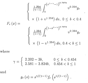
The integral in (16) is improper at both the upper limit t = 1and the lower limit t = x when x → 0. For computational purposes (see Appendix B) the integral can be written as

The integrals in (17) both have integrands with finite limits at both endpoints and can be integrated to a high degree of accuracy with a 4-point Gaussian integration rule. Alternatively, the integral can be approximated with an error of at most 5% in the range 0.6 < x < 1, 0 < 6 < 1 by

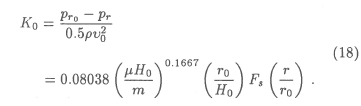
The loss coefficient based on inlet velocity due to friction on the two smooth surfaces in the collector is

Pressure drop: rough surfaces
Assuming the same roughness on both surfaces, and substituting (6), (12) and (13) into (15), find

The integral is again improper at both limits, and may be written (see Appendix B)

For 0.6 < x < 1 and 0.001 < q <0.1, the expression

approximates the integral with an error of at most 10% in the range 0 < 6 < 1, and less than 2% for 0.4 < 6 < 0.8. The loss coefficient for rough surfaces is

Results
The development of the boundary layer during steady radial flow between two surfaces has been analysed. The results of the analysis are employed to predict the change in radial pressure due to frictional effects and the local heat transfer coefficient at the inlet of the collector of a solar chimney power plant.
For smooth surfaces the boundary layer thickness as given by equation (9) is shown graphically in Figure 4 for given values of b, r0/H0and μr0/m. Generally the flow between the surfaces becomes fully developed (δ≈ H0/2) fairly rapidly, whereafter the present analysis is no longer applicable. The boundary layer growth rate for rough surfaces as given by (13) is even more rapid than that for smooth surfaces. For the conditions specified, δ/H0is almost independent of the air mass flow rate, as shown in Figure 5.
The corresponding Nusselt numbers as given by (11) and (14) are shown in Figures 6 and 7, respectively. In both cases the Nusselt number decreases with increasing radius but improves with increasing air flow rate. A rough surface results in a higher heat transfer coefficient.
The corresponding loss coefficients are given by (18) and (19), respectively and are presented graphically in Figures 8 and 9.
Conclusions
Analytical solutions for predicting the pressure differential due to frictional effects and the heat transfer coefficient during developing radial flow between two essentially parallel discs are obtained. These results can be applied in the performance evaluation of a solar chimney power plant collector.
It should be noted that this analysis does not necessarily entirely model the true nature of the developing flow in the solar collector. Since the Rayleigh number RaH » 1708 in this region, secondary flow patterns that affect the pressure drop and tend to augment the heat transfer may be present. When RaH > 108 the Nusselt number due to these meandering counterflowing thermals
becomes independent of the height of the collector roof above the ground.2 Under certain operating conditions in certain areas of the collector the heat transfer due to the secondary flow may be of the same order or greater than that predicted by the present analysis.
References
1. Rohsenow WM & Choi HY. Heat, Mass and Momentum Transfer. Prentice Hall, Englewood Cliffs, New Jersey, 1961. [ Links ]
2. Bejan A. Heat Transfer. John Wiley and Sons, New York, 1993.
Received April 1999
Final version October 1999
Appendix A
The solution of the differential equation

may be found as follows. The substitution v - δα reduces the equation to the linear equation

The solution of the corresponding homogeneous equation is vh (r) - Arαk;assuming a particular solution of the form v(r) - u (r) rαk and incorporating the boundary condition δ(r0) = 0, the solution is found as







Appendix B
Consider the integral

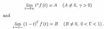
and suppose that γ and Γ are constants such that

Then the integral is improper and integrable at t = 1, and F(x) →∞ when x → 0 if γ > 1. The successive substitutions

reduce the integral to the form

These last integrals have integrands with finite limits at both upper and lower end-points of the integration interval.











