Services on Demand
Journal
Article
Indicators
Related links
-
Cited by Google -
Similars in Google
Share
R&D Journal
On-line version ISSN 2309-8988Print version ISSN 0257-9669
R&D j. (Matieland, Online) vol.15 Stellenbosch, Cape Town 1999
Modelling and control of a steer-by-wire vehicle
Sven KleineI; Johannes L. van NiekerkII
IGraduate Student Researcher, SASOL Chair in Vehicle Engineering, Department of Mechanical and Aeronautical Engineering, University of Pretoria, Pretoria, 0002 South Africa
IIProfessor, SASOL Chair in Vehicle Engineering, Department of Mechanical and Aeronautical Engineering, University of Pretoria, Pretoria, 0002 South Africa
ABSTRACT
Some aspects of the modelling and control of a steer-by-wire vehicle are discussed. A non-linear simulation model is used to develop an observer, which is then used to implement a full state feedback controller based on sideslip control. This controller, which decouples sideslip by making use of rear-wheel steer, is extended so that the yaw response also becomes a first order system of which the bandwidth can be prescribed. In order to independently control these two modes, two control inputs are required, which are front and rear steering angles. This leads to a full four-wheel steer-by-wire control strategy. The resultant controller improves the dynamics of the vehicle allowing it to negotiate a single lane change at a higher velocity, with improved yaw and sideslip response over the previously suggested Whitehead type controller.
Nomenclature
adistance from e.g. to front axle
A state dynamic matrix
aylateral acceleration
bdistance from c.g. to rear axle
B state input matrix
C0 zero'th tyre moment coefficient
C1first tyre moment coefficient
C2second tyre moment coefficient
Cαaxle cornering stiffness
Cφroll damping coefficient
C state output matrix
D state feedforward matrix
Fforce
FLTlateral load transfer coefficient
Fylateral force
Ixxx-axis moment of inertia
Izzz-axis moment of inertia
Ixzroll cross yaw inertia
KFload transfer quotient (see eq. 11)
Kφ roll stiffness coefficient
K lateral stiffness matrix
Mvehicle total mass
Msvehicle sprung mass
Muunsprung mass
Mxx-axis moment
Mzz-axis moment
M vehicle system mass matrix
proll rate
ryaw rate
Tvehicle track width
T2yaw rate time constant
uvehicle velocity, time varying
u input vector
Uvehicle velocity, constant
vsideslip velocity
X state vector
y state output vector
zte.g. distance above roll axis
Greek
αslip angle
ßvehicle sideslip angle
δsteer input
φroll angle
ψyaw angle
τfront and rear steer time constant
Subscripts
f pertaining front tyres
r pertaining rear tyres
lf pertaining to left front tyre
rfpertaining to right front tyre
lrpertaining to left rear tyre
TTpertaining to right rear tyre
Terminology
c.g. centre of gravity
SBW steer by wire
2DOF two degrees of freedom
3DOF three degrees of freedom
4WS four-wheel steer
Introduction
In the last decade a large amount of research has been invested on four-wheel-steering (4WS) systems, by Sato/Sano,2 Eguchi,3 Yeh & Wu.4 This has been done because the handling and stability of front wheel steering vehicles have been found to be unsatisfactory due to the large amount of yaw that such vehicles generate. To control this large yaw motion, and the accompanying sideslip, Sano2 has proposed that the rear axle be steerable. Many systems (Sato1 and Ackermann5) have concentrated on controlling the yaw by actively steering the rear wheels, whilst others have focused on controlling the sideslip (Whitehead6). These systems can be divided into three groups:
1. Open loop. In these systems the rear wheel steer angles are controlled to be some function of the front wheel steer angle (Sano2). Other systems make use of the vehicle speed to determine the amount of steering that should be applied at the rear wheels. They have the disadvantage of being unable to control an unstable vehicle plant, and do not respond to plant variations.
2. Closed loop. Feedback of vehicle states is used to control certain vehicle motions, or to improve the response of vehicle motions, such as yaw rate and lateral acceleration in closed loop systems. Such systems have the advantage of being robust with respect to parameter variations when succinctly designed.5
3. Decoupling. These systems can be either open-loop,4,7 or closed-loop depending on the implementation. Decoupling implies that certain vehicle lateral modes are decoupled from one another by steering the rear wheels in a certain manner,6 or by applying an additional steer angle to the front wheels (Ackermann).8 Usually decoupling means that the controlled vehicle state is influenced only by steering input via a simple first order transfer function.5
Recently it has been proposed that it is possible to control more than one vehicular motion if more than one input is present (Nagai et al.).9 These systems expand the concept of decoupling control. In this case the active controller is able to decouple two vehicular motions if two inputs are present (Yu).10 Significant work on decoupling control using multiple input multiple output (MIMO) systems has been performed by Yeh & Wu7and Nagai et al.9
Various other advanced control systems are now being studied by many researchers; these systems not only make use of the steer angle to control the dynamic behaviour of the vehicle but also employ traction control and anti-lock braking systems (Hirano).11
Other recent work has concentrated on the direct steer-by-wire approach where the front and rear wheels are both actively steered to improve transient response. In this work it was proposed to combine these concepts of decoupling control and steer-by-wire. This was attempted by actively controlling the front and rear steer to decouple two vehicular motions.
Vehicle model
Introduction
The large majority of vehicle models used in the study of 4WS have been typical linear bicycle models as developed originally by Riekert & Schunck.13 The simplicity of these models makes them attractive for preliminary studies into control strategies. However, these models neglect vital characteristics such as load transfer and tyre non-linearities, which can significantly impact vehicle lateral-dynamic-behaviour under severe handling conditions. In this study a more realistic four-wheel vehicle model is assumed for analysis of control strategies.
Non-linear vehicle model
The three-degree of freedom non-linear vehicle model used was developed and discussed, with a figure showing the co-ordinate system (Standard SAE), in Kleine & Van Niekerk12 and is an extension of those developed by Nalecz,14 Allen et al.,15and Xia.16 The four-wheel-steer model allows rear steer input model and has yaw (ψ), sideslip (y) and roll (φ) as degrees of freedom.
Assumptions made to simplify the equations of motion include restricting motion to a plane, allowing vertical motions of the sprung mass (Ms) and unsprung masses (Muf and Mur) to be ignored. Also, the roll motions of the unsprung masses and the pitch motion of the sprung mass are not modelled. All suspension deflections are due only to the deflection of springs and shock absorbers. Non-linear components, such as bump stops, are not modelled. The vehicle model used (Nalecz14) consisted of three masses (defined above) which are connected by a roll axis at a fixed height; in reality this height will vary slightly as the suspension deflects during body roll.
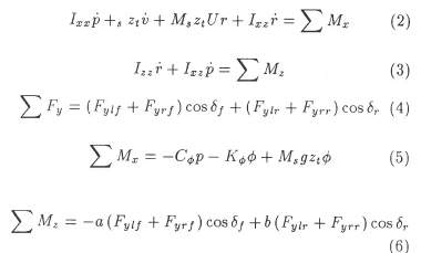
The equations of motion are developed according to the previous assumption using the Newton-Euler approach. The non-linear equations-of-motion are represented by (1), (2), and (3), and are coupled by the nonlinear tyre forces of (4), (5), and (6).


The coefficients Kψ and Cφ are obtained by taking moments about the roll axis and obtaining the equivalent roll stiffness and damping per radian of roll angle (Metz).18
Changes in wheel normal loads due to inertial forces during lateral acceleration are referred to as lateral load transfer. The normal load is computed for each wheel, at each time step, based on the manoeuvring acceleration, ay, the front and rear axle roll stiffness (Kφg) as well as the load transfer distribution coefficient (KF). The function for load transfer at each wheel comprises three parts:
1. The normal static load with no lateral acceleration, first term in the equations,
2. The percentage of load transfer per axle, KF,
3. Flt accounts for the lateral load transfer due to lateral acceleration and includes the effect of a change in centre of gravity location due to roll angle.
The equations for the load on each wheel are then given by

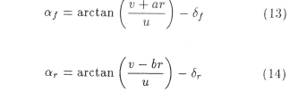
Non-linear tyre model
The dominant force generating mechanism is the friction between the road and the tyres. To correctly model the vehicle dynamics requires an accurate tyre model. The non-linear tyre model used in this study is an extension of the friction ellipse concept presented in Dugoff19 and the detail can be found in Allen et al.15 The tyre force is calculated based on vertical load (Fz), lateral slip angle (α), longitudinal slip ratio (s) and vehicle speed. Other significant input parameters are inflation pressure, static and dynamic coefficient of adhesion and contact patch area. The output that can be obtained from the model is

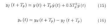
Driver model
The driver model used in this research has been developed and extended from the models represented in DOnges20 and Macadam.21 In all respects the model is similar to the models in these references but has been updated in two ways. The first revision made is the inclusion of a second order path prediction function to replace the original first order function, the use of this new function allows more stable behaviour and accurate path tracking (Nagai & Mitschke).22 Recent research has shown that during stressful manoeuvres a driver's gain increases. The changing gain compensates for the vehicle's changing characteristics at high lateral accelerations. Variable gain is included in this model in a similar way to that reported in Macadam.21 Similar to previous work the driver model can therefore be described as a preview control model:


The first-order delay (TI) and the pure time delay (TD) determine the steering wheel angle (δSW) by feedback of the tracking error. (Tp is the preview delay.)
Observer design
The use of observers in control system design and simulation is not a new concept. In the field of vehicle dynamics the use of observers is rather limited (Senger).23 To implement state feedback for active vehicle control can be difficult due to the nature of some states. States such as slip angle, roll angle, and yaw rate are often difficult or expensive to measure. Using lateral acceleration measurement and steering input measurement a suitable observer was designed in Kleine & Van Niekerk12 that adequately estimates the required vehicle states.
The results of the study in Kleine et al.12 indicate that the observer functions accurately and this is confirmed by Figure 1 showing the estimation of roll rate. The observer has the ability to estimate the yaw and roll rate of the vehicle very accurately. The higher order dynamics as well as the lower order dynamics are present in the estimated signals.

Controller design
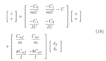
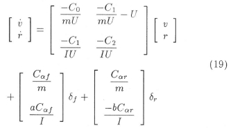
A new strategy, which is an extension of previous work on sideslip control, was formulated for this work. The equations of motion used here represent a two degree of freedom vehicle with lateral displacement and yaw degrees of freedom. These equations are equivalent to those of (1) to (6) with the roll degree of freedom removed and are similar to those developed in Whitehead2 and Dixon.24 The equations are (tyre stiffnesses represent per axle values):

Following the same approach as Whitehead, this can be rewritten as follows:

Which is in the generic state space form of:

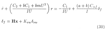
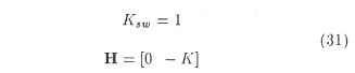
If the assumption is made that the rear wheels are steered in a fashion dependent on the front steer angle and the vehicle states, then the rear steer term can be reformulated as:

K is a scalar and H a matrix of size 1×2. This can be substituted into the state space equation.

In order to obtain the values of K and H that will result in zero sideslip set v = 0 and v = 0 in (22) with state vectors and matrices as in (19):

which is one of the forms of the well-known Whitehead2,17 law, which is a first order system that reduces sideslip to zero. However, this system has certain drawbacks, most severe of which is the introduction of understeer. The slip angles of a vehicle increase with the square of the speed in a constant radius turn, thus to generate a large δr requires an increasing δf as speed increases, which is a characteristic of an understeer vehicle. So in this case the driver has to steer more than he would in an understeer vehicle with the same dimensions and tyre characteristics.
This and other disadvantages can be overcome by steering the front wheels with an active controller, which aids the driver. The strategy developed to achieve this can be derived as follows:
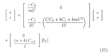
When the strategy shown in (24) is substituted into the equations of motion the following results:

Now the first order behaviour of sideslip is clearly illustrated in the formulation of the state space matrices above.
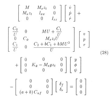
To fully understand the functioning and implications of this strategy the substitution of the control scheme of (24) into a three degree of freedom model is performed.

where it is assumed that the roll cross yaw inertia term, Ixz, is small enough to be neglected.
From these equations some important observations can be made:
1. The roll mode, represented by the second equation, is not directly affected by the input u. The roll mode is a stable mode; this can be determined by the negative eigenvalue of the A matrix and so additional control cannot cause it to become unstable
2. To totally decouple the sideslip mode from the yaw rate is not possible due to the sideslip term in the yaw equation. However it is very small (of the order of 0.1 to 1 for most passenger and utility vehicles.)
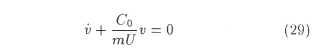
The result of the above observations is that further control strategies will have to centre about the yaw mode. Also, the derivation of further strategies was performed using the linear two degree of freedom system. Examining these two degree of freedom equations (26) again, the sideslip equations can be rewritten. This results in:

This is a stable first order system with a fixed time constant, which is determined by vehicle parameters only. The second degree of freedom, yaw rate, can now be reformulated in a similar way to introduce a second active component:

In this form it is also very close in structure to a first order system. To expand the first order concept of (24) one can also make the yaw rate a stable first order system, in a similar manner, by feeding back yaw rate, r, so that:

K must be chosen to satisfy certain requirements, which will be discussed at a later stage. Now we have:

This is now also in a format similar to that derived by Whitehead6 for sideslip; a stable first-order system. The time constant for yaw (T2) can be selected by specifying the feedback gain K (this is subject to the stability constraints discussed in the next section):

In the following section the influence and selection of K is discussed and some simulation results of the derived controller presented.
Results and discussion
Although feedback of the yaw rate to the front and rear steer inputs provides complete decoupling of the states in the two degree of freedom case this is not possible for the three degree of freedom model due to a disturbing term in the second part of equation (32). However, this disturbing sideslip term is small enough (ranging from 0.1 to 1 for passenger and utility vehicles) when compared to the other terms (ranging from 100 to 1 000) that for all practical purposes it can be ignored.
From (28) it can be seen that sideslip velocity is decoupled from yaw rate, as previously performed by Whitehead." Following the expansion of the concept, the inverse is also true: yaw rate is decoupled from sideslip and is only influenced by the driver's input (assuming C1/U ≈ 0). However, unlike the sideslip velocity, the yaw rate need not be reduced to zero (although theoretically this would be possible), because this would result in very uncomfortable (and unresponsive) vehicle behaviour. Instead, the ability exists to specify the desired characteristics that the first order function should possess by determining the amount of feedback of yaw rate. This allows the transient response behaviour of yaw-rate and the magnitude of yaw rate to be prescribed.
Step steer transient response
Figures 2 to 5 show the transient response of the vehicle, when subjected to a step input of the steer angle of the steering wheel, resulting in an effective 0.0225 rad angle input to the front wheels, at a vehicle forward speed of 22.2 m/s (80 km/h). The transient response of the sideslip velocity, see Figure 2, and the steady state values of the sideslip velocity (and hence the sideslip angle) are very small and only differ by a small amount, this is a direct result of the implicit utilisation of Whitehead's6 strategy. The step steer input comparisons show that the feedback of yaw rate to the front wheels can be used to great effect to eliminate the lack of yaw rate response of the Whitehead strategy, as seen in Figure 3. The rise time of the yaw rate is significantly faster than that of a front wheel steer vehicle and also faster than that of the four wheel steer controller. Also evident from Figure 3 is the greater amount of damping that the yaw rate feedback to the front wheels provides. The difference in the steady state yaw rates is indicative of how the vehicle responds to the same steer input magnitude, this means that to achieve the same path as a front wheel steer vehicle with the same vehicle parameters, the Whitehead controller requires a much larger steering input. The large steering input at this speed is an effective understeer response. This effect of the Whitehead controller has been discussed in the work of Xia et al.17 and Whitehead.6 The new controller derived here reduces the amount of understeer present and provides vehicle behaviour similar to that of a front wheel steer vehicle. Although the yaw rate response of the vehicle can be made equal to that of the front wheel steer vehicle, it has been argued that a reduction in yaw rate response reduces driver workload.16 To achieve a compromise between the understeer of the vehicle and reduce the driver workload a feedback constant of K = 0.22 was used here.




The increased yaw rate response can be attributed to two factors:
1. The rear wheel angle responds to the steer input with a certain amount of phase delay. This delay can be controlled by the yaw rate feedback and is a function of vehicle forward speed by virtue of the speed dependency of the controller. (See Figure 5).
2. The front wheels are also steered by an amount in addition to that supplied by the driver. This also ensures that the yaw rate response of the vehicle is altered by altering the feedback to the front wheels. (See Figure 4).
Transient response during lane change
The step-steer input can be used to investigate the transient response of the yaw rate, by varying K to obtain the desired transient response. The problem rests on the selection and influence of the yaw rate feedback constant K. The problem of determining yaw rate response has been examined by Sato1 and Ackerman.8 The effect of varying the feedback is summarised in Table 1.

K = 0.25 is used in the simulation data (for a single lane change) presented by Figures 6 to 9.




Figure 6 shows that the ability of the new controller to control sideslip is a match for the strategy of Whitehead; because it makes use of this particular characteristic of that controller. However, as can be seen, the sideslip velocity is never exactly equal to zero, due to the small disturbing term in the yaw equation.
The real benefits of this controller can be seen when viewing the results for yaw and roll rate, Figures 7 and 8. These simulations use input manoeuvres of such severity that they provide sustained lateral acceleration, ensuring that non-linear vehicle dynamics become predominant. Under sustained lateral acceleration, between 4 and 6 seconds, the new controller is better able to limit yaw and roll. Another aspect observed is the ability to damp out oscillations much faster. This can be attributed to the fact that the yaw degree of freedom is now also a first order system and was designed to limit overshoot. The smaller yaw motion of the body, faster transients and greater damping imply a much reduced driver load allowing the driver to reduce his gain.
The controller has the ability to maintain the vehicle on the required path. This excellent tracking is primarily as a result of the optimum use of both the front and rear tyres.
The use of the tyres is the most revealing element that demonstrates the way in which the extended controller operates. Figures 10 and 11 give the comparisons of the tyre forces with and without control. From the figures the following features are notable:


1. The peak forces are higher. This means that the tyre is able to generate more force than previously which allows the vehicle body to be moved with greater acceleration. This allows the vehicle to track better because the forces that move the vehicle in the desired direction are greater.
2. Transient responses are significantly improved. The vehicle reacts niuch faster to the driver input and moves in the required direction with greater response. The reduction in the delay of side force also reduces errors in path tracking at higher speeds. This is demonstrated by Figure 9, which shows that the vehicle completes the lane change manoeuvre with no overshoot.
3. There is a phase delay imparted by the controller between the front and rear, with the rear wheels steered fractionally later than the front wheels. This allows the vehicle to develop the required yaw rate very quickly, and with no overshoot. It also utilises the tyres in a more optimum fashion. The use of tyre forces is depicted in Figures 10 and 11.
4. Path tracking is dependent to a large degree on driver parameters, but is influenced by the steering strategy. However, with the new strategy the driver gain can be reduced in comparison to that of Whitehead, due to increased responsiveness and the reduction of understeer. A similar effect has been discussed in Nagai & Ohki.9
Frequency response
Much of the improvement in the yaw response is provided by the feedback of yaw rate to the front wheels. The effect of the new strategy on the frequency response is shown in Figure 12. Over the range of frequencies of interest for drivers (0 to 3 Hz), the new strategy shows a higher yaw rate gain than the strategy of Whitehead. This translates to less understeer and a better response. Also evident is a more gradual roll-off than a conventional vehicle at higher frequencies. This effectively means that driver effort is reduced because the vehicle response does not change significantly at higher frequencies while providing reasonable gain at low frequencies.

In addition to the improved yaw rate gain is the smaller phase lag, which implies that there will be a smaller time lag between driver input and the vehicle responding in terms of yaw rate and lateral acceleration. This enhances the driver's ability to control the vehicle accurately.
Figure 12 shows that the yaw rate gain remains flat until well in excess of 2 Hz. The upper limit of human frequency performance is approximately 2 Hz while the average steering action occurs below 1 Hz. The performance of the controller thus ensures vehicle behaviour controllable by an average driver without having to raise his bandwidth significantly during emergency situations.
Conclusion
In this paper a closed loop controller is presented which expands on a previously proposed controller that limits sideslip to zero. The controller derived feeds yaw rate back to both the front and rear wheels. This minimises the sideslip to be controlled and allows the yaw rate to be controlled. The ability to specify the yaw rate removes the heavy understeer tendency present in the previous controller. By feeding back yaw rate in this way the controller aids the driver in the compensating action of steering the vehicle. This compensation provides higher stability and feeds back yaw rate more rapidly than the driver is able to, due to the increase in bandwidth. This effectively reduces the driver's workload allowing him to reduce his gain and operate at a lower steering frequency.
Improved transient response and greater damping of the yaw rate are also obtained through the feedback scheme employed here. This means more effective utilisation of all four tyres allowing the vehicle and driver to track the required path more accurately, at higher speeds, and with less steering effort. Ultimately this means increased stability of the vehicle and driver system.
Further studies are required on systems such as these that control sideslip and yaw to investigate the effect of the variation of vehicle parameters. Also of importance is an investigation into the speed dependence of the strategy derived here and that of Whitehead and the impact this has on vehicles during differing manoeuvres at varying vehicle speeds
In conclusion, this paper illustrates the great benefits that can be obtained from the active control of a vehicle to improve stability and handling. However a great deal of work is still required in terms of implementation and safety.
References
1. Sato H et al. Dynamic characteristics of a whole wheel steering vehicle with yaw velocity feedback rear wheel steering. Road Vehicle Handling, I Mech E Conference Publications, 198S-5. C124/83, London, 1983.
2. Sano S et al. Four-wheel steering system with rear-wheel steer angle controlled as a function of steering wheel angle. SAE Paper 860625, 1986.
3. Eguchi T et al. Development of 'Super HICAS', a new rear-wheel steering system with phase reversal control. SAE Paper 891978, 1989.
4. Yeh EC et al. Open-loop design for decoupling of a four-wheel steering vehicle. International Journal of Vehicle Design, 10, 1989. [ Links ]
5. Ackermann J. Robust car steering by yaw rate control. Proceedings of the 29th Conference on Decision and Control, Honolulu, Hawaii, 1989, pp.2033-2035.
6. Whitehead JC. Four-wheel steering: Manoeuvre-ability and high speed stabilization. SAE Paper 880642, 1988.
7. Yeh EC et al. Closed-loop design for decoupling of a four-wheel steering vehicle. International Journal of Vehicle Design, 10, 1989, pp.703-727. [ Links ]
8. Ackermann J. Yaw disturbance attenuation by robust decoupling of car steering. IFAC, 1996.
9. Nagai M et al. Theoretical study on active four-wheel steering system by virtual vehicle model following control. International Journal of Vehicle Design, 10, 1989, pp.16-33. [ Links ]
10. Yu S et al. A global approach to vehicle control: coordination of four-wheel steering and wheel torques. Journal of Dynamic Systems, Measurement, and Control, 116, 1994, pp.659-667. [ Links ]
11. Hirano Y et al. Development of integrated system of 4WS and 4WD by H∞control. SAE Paper 930267, 1993.
12. Kleine S & Van Niekerk JL. The use of linear observers to estimate vehicle states during severe handling manoeuvres. R & D Journal, 13, 1997, pp.47-61. [ Links ]
13. Von Riekert P et al. Zur Fahrmechanik des Gummibereiften Kraftfahrzeugs. Ingenieur Archiv 11, 11, 1940, pp.659-667. [ Links ]
14. Nalecz AG et al. Handling properties of four wheel steering vehicles. SAE Paper 890080, 1989.
15. Allen RW, Rosenthal TJ & Szostak HT. Steady state and transient analysis of ground vehicle handling. SAE Paper 870495, 1987.
16. Xia X et al. Nonlinear dynamic response of four-wheel steering automobiles to combined braking and steering commands in collision avoidance manoeuvres. SAE Paper 901731, 1990.
17. Xia X et al. Nonlinear analyses of closed-loop driver/vehicle performance with four-wheel steering control. SAE Paper 920055, 1992.
18. Metz LD et al. Transient and steady state performance characteristics of a two-wheel and four-wheel steer vehicle model. SAE Paper 911926, 1991.
19. Dugoff H et al. An analysis of tyre traction properties and their influence on vehicle dynamic performance. SAE Paper 700377, 1970.
20. Donges E. Ein regelungstechnisches Zwei-Ebenen-Modell des menschlichen Lenkverhaltens im Kraftsfahrzeug. Zeitschriftfur Verkehrssucherheit, 3. 1978. [ Links ]
21. Mac Adam C. Application of an optimal preview control for simulation of closed-loop automobile driving. IEEE Transactions on Systems, Man. and Cybernetics, SMC-11, 1981.
22. Nagai M & Mitschke M. Adapative behaviour of driver-car systems in critical situations: analysis by adaptive model. JSAE Review, 1985.
23. Senger JM el al. Investigations on state observers for the lateral dynamics of four-wheel steered vehicles. DLR Institute for Flight System Dynamics.
24. Dixon JC. The equations of lateral motion of the two degree of freedom model of the four-wheeled road vehicle. SAE Paper 901732, 1990.
25. Ohnuma A et al. Controllabilty and stability aspects of actively controlled 4WS vehicles. SAE Paper 891977, 1989.
Received October 1998
Final version June 1999












