Services on Demand
Journal
Article
Indicators
Related links
-
Cited by Google -
Similars in Google
Share
R&D Journal
On-line version ISSN 2309-8988Print version ISSN 0257-9669
R&D j. (Matieland, Online) vol.14 Stellenbosch, Cape Town 1998
A design program for dilute phase pneumatic conveyors
K.H.K. WodrichI; T.W. von BackströmII
IDepartment of Mechanical Engineering, University of Stellenbosch, Private Bag XI, Matieland, 7601 South Africa
IIDepartment of Mechanical Engineering, University of Stellenbosch, Stellenbosch
ABSTRACT
A Windows-based computer program for designing dilute phase pressure and vacuum pneumatic conveyors is introduced. The simulation program is based on the numerical integration of the five governing differential equations for two-phase flow. A summary of the equations and the method of solution are given. A detailed discussion is presented on the advantages of the program results which include values for the conveying gas velocity, particle velocity, pressure, density, and voidage at any point along the conveying pipeline. The evaluation of the results is high-lighted in the presentation of comparison of simulations with experimental data for the conveying of cement and tube ice. In conclusion a working example of a pneumatic conveyor is given as analysed with the design program.
Nomenclature


Introduction
Pneumatic conveying can be described as the transport of powdered and granular solid material by means of a gas stream through a pipeline. Pneumatic conveying of solids is widespread in the mining, chemical, food, plastics, power generation, and wood treatment industries.
The two common types of pneumatic conveyors can be classified as the positive pressure and the vacuum or negative pressure conveying systems. The vacuum system works in a similar manner to a vacuum cleaner and is commonly used to convey hazardous material as no leakage of gas or material can occur to the atmosphere during conveying. In the positive conveying system the solids are fed into a pipeline by means of an airlock system (rotary vane feeder, tandem flap valves or a blow vessel). The prime air mover supplies the conveying air at a pressure and flow rate required to transport the material along the pipeline to a receiver where the solids are separated from the air by means of filters or cyclones and the air vented to the atmosphere. A prime air mover commonly used for dilute phase conveying is a positive displacement pump, the Roots blower.
A further distinction can be made between dilute and dense phase conveying modes. Dilute phase conveying can be defined as conveying with a mass flow ratio less than 15. Dense phase conveying can be defined as conveying with a mass flow ratio higher than 15.1
The objective in this paper is to present a computer program that can be used to determine the pressure drop and air flow rate requirements of a dilute phase conveyor for both vacuum and pressure conveying systems. These parameters determine the specifications of the prime air mover required to effect efficient conveying and hence have a direct impact on the power requirements and the associated running costs. Another factor influencing the running costs is wear reduction in the pipeline, which can also be addressed using the design program by reducing air and solids velocities.
Design program requirements
An important requirement in the implementation of the design program is a user-friendly interface. Computers are currently used to simulate complex processes which require a high volume of calculations to be performed and the result is often a high volume of output data. These data have to be interpreted by the designer and the most effective initial evaluation takes place visually by means of graphical representation. Hand in hand with this goes the efficient input of, for example, the pipeline geometry and the required conveying parameters. To be able to implement this requirement it was decided to use DELPHI, an object orientated programming language based on PASCAL. Further requirements can be identified as:
• Break up of the computer program into separate blocks such as the data input file generation by means of a pipeline layout generation program, a program for the input of the conveying characteristics with the subsequent two-phase flow simulation, and the output data visualisation module. In addition to this, separate blocks are added that include a Roots blower selection program and, in the future, also a solids feeding device selection and solids and gas separation equipment selection program.
• Logical input of the pipe layout by means of standard components that are used in the industry, such as bends and straight pipeline sections.
• Provision for a material database containing the required parameters such as material density, particle diameter, particle shape and friction coefficient correlations.
• Calculation and graphical representation of the five primary output parameters: the average velocities of solids (c) and air (v), the pressure (P), air density (pg) and the voidage (e) along the length of the pipeline. The flow simulation must be able to handle single-phase flows up to the material feeding point and then switch to a two-phase flow analysis for the remaining length of conveying pipe. It should also be possible to model stepped increases in pipeline diameter and allow for the provision of air leakage at the material feed point.
Pipeline layout generation
Figure 1 depicts an example of the pipeline generation window. The components required to build up a pipeline layout are represented visually. These include the six bend orientations that are possible in pneumatic conveying where vertical or horizontal pipelines are used. During the building process a visual representation of the layout is presented in the layout view window with a provision to delete erroneously added components. Dimension units can be changed as required and stepped pipelines are generated by increasing the pipeline diameter.

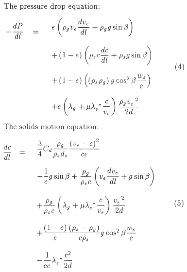
A mathematical model for two-phase flow
The two-phase flow differential equations have been used in a simplified form1 to model pneumatic conveying with respect to the determination of pressure drop and average air velocity. In dilute phase conveying the voidage (the fraction of volume of a conveying pipe element that is taken up by air) is close to unity and is in a simplified analysis often taken as unity. This simplification implies that the solids velocity is equal to the air velocity. This is not the case, particularly in acceleration regions and in bends. It is thus imperative to introduce additional equations to obtain a more complete mathematical model which includes the solids velocity and the voidage as variables. Ferretti2presents a set of equations consisting of the state equation for an ideal gas, two continuity equations, one for the solid phase and one for the gaseous phase, a solids motion equation, and the pressure drop equation which can be derived by means of a power balance or an analysis of a finite pipe element. These equations are utilised by Saccani3 to present a new design program for pneumatic conveyors which is able to predict air and solids velocities, pressure drops, and the voidage. The work of Ferretti2and Saccani3 is used as a basis for the design program presented here. The ideal gas equation in differential form for an isothermal process can be written in the following form:

The remaining four differential equations can be derived from the analysis of an elemental volume of conveying pipe element at an arbitrary pipe inclination angle ßmeasured from the. horizontal axis. They are:


Note that the average interstitial velocity ve is used throughout in the differential equations. The average air velocity can be calculated from this by multiplying the interstitial velocity with the voidage.
The key to the successful implementation of the two phase flow equations for pneumatic conveying is the determination of the solids impact and friction coefficient term λs* by means of experimental data for each material that is to be conveyed. Standard practice is to determine the pressure drop along a length of horizontal pipeline experimentally, with and without material being conveyed. The pressure drop equation (4) is integrated resulting in an expression from which the air-alone pressure drop is subtracted to determine the solids impact and friction coefficient. During subsequent calculation of conveying parameters the experimental solids impact and friction coefficient values are used to determine the pressure loss contribution of the solids only. The air-alone pressure losses are determined separately by means of the classical single-phase flow theory embodied in the Moody chart.4 The separation of the pressure loss contributions by the gaseous phase and the solids phase is somewhat artificial as the theory of air-alone pressure losses does not take into account the change in air velocity profile that occurs during the complex interactions in two-phase flows and may lead to inaccurate determination of the solids impact and friction coefficient λs*. Weber5 suggests an improved method for correlating the friction coefficient by using a total friction coefficient in which the air and the solids friction coefficient are combined into a single term, thus inherently taking the effects of air velocity profile modification by the presence of solids into account. The equations presented by Ferretti2can therefore be modified to make use of a total friction coefficient. The term:

in equations (4) and (5) can be replaced with a single total friction coefficient. Another benefit of using the total friction coefficient is that its definition remains the same regardless of the pipe inclination angle. Ideally, then, the total friction coefficient determined from experiment in horizontal flow can also be applied to vertical flow.
The solids motion equation (5) still contains the solids impact and friction coefficient λs* that cannot be expressed in terms of the total friction coefficient without resorting to separating the air-alone from the total friction loss.
This leads to the requirement to develop an alternate method for determining the solids impact and friction coefficient by means of integrating the motion equation and utilising experimental data to determine the correlation for what will be called the alternative solids impact and friction coefficient λs' in the remaining part of the paper. This replaces λs* in the last term in equation (5).
By utilising experimental data it is possible to determine a total friction coefficient and an alternative solids impact and friction coefficient correlation for each material that is to be conveyed. To verify this approach, experimental data for cement conveying by Lange6 and Van Straaten7 and for tube ice conveying by Sheer8 are used to determine the total and alternative solids impact and friction coefficients and the simulated results are then compared with experimental results.
The bend flow model
The bend flow model is based on the assumption that the material is thrown against the outer bend wall and that the alternative solids impact and friction coefficient can be defined in terms of the sliding friction coefficient f in a similar manner to that presented by Ferretti.2 The equations for the total and alternative solids impact and friction coefficients can be derived as:

where αis the vertical turning angle measured between the horizontal plane and the line connecting the bend origin with the particle and ro is the bend radius to the outer bend wall. For bends in the horizontal plane the turning angle is zero.
The model for bend flow makes use of short, straight pipeline sections strung together to build up the bend curve. For bends in a horizontal plane the bend inclination angle for the bend elements with respect to the horizontal remains zero while it increases or decreases from one section to another for a bend connecting a horizontal pipe with a vertical pipe depending on the direction of material flow.
Equations (1) to (5) can be applied to bend flow with modified total and alternative solids impact and friction coefficients as defined in equations (7) and (8) to account for the decelerating effect that the bend has on the conveying material. The sliding friction coefficient model tends to underpredict pressure drops and material decelerations in the bends. This necessitates an adjustment of the value for the sliding friction coefficient in order to model bend flow effectively.
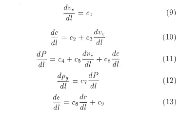
Method of solution
The differential equations (1) to (5) can be simplified, rearranged, and integrated by means of a Runge-Kutta-Fehlberg numerical integration routine based on the programme RKF45 presented by Forsythe, Malcolm and Moler.9,10 The simplified equations can be written as:

The terms c1to c7are constants during a single integration step and contain the dependent variables determined at a previous step and include variables, such as friction coefficients, which are recalculated and adjusted after each integration step.
The advantage of the above integration routine is that the integration step length in terms of the pipeline length is adjusted automatically making it possible to specify at which point in the pipeline output data are to be generated. The dependent variables calculated from equations (9) to (13) are the average solids velocity, the interstitial air velocity, the absolute pressure, the density, and the voidage.
The Runge-Kutta-Fehlberg integration routine requires initial values at the material feed point for the dependent variables. With the exception of the initial solids velocity these can be determined by applying the continuity and ideal gas equations. To determine the best estimate for the initial solids velocity at the feed point one has to run the simulation for a range of initial solids velocities and plot these against the resulting system pressure drop. The resultant curve shows a distinct maximum pressure drop at a certain initial solids velocity for a particular material. This point is independent of the material mass flow rate and mass flow ratio. The value of the initial solids velocity corresponding to the maximum pressure drop is used for determining a conservative estimate of the pressure requirements during subsequent design simulations.
Program results
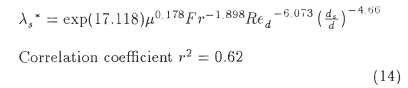
To confirm the validity of the two-phase flow model used in the simulation program, test data for cement6,7 and tube ice8 are used. This represents both fine powdered material with a particle diameter of 32.69 μmfor cement and coarse particles with an equivalent spherical diameter of 33.04 mm for the tube ice. The friction coefficients for cement are determined using data points as determined by Lange6 and Van Straaten.' Sufficient information is available with respect to particle velocities and voidage along the test section, which are required for determining the friction coefficients from the pressure equation and solids motion equation. The first simulation was run to determine the effects of defining the total friction coefficient as a combination of the solids impact and friction coefficient and the gas friction coefficient as given in equation (6). The correlation equation for the solids impact and friction coefficient is determined by means of the least squares approximation from equation (4) as:

The results obtained from the simulation programme for a horizontal conveying pipeline length of 13.185 m and an inner diameter of 101.6 mm are presented in Figure 2.

It can be seen that the solids velocity is overpredicted by up to 20% by the simulation while the pressure drop has a maximum error of 15% and the air velocity is within 1%) of the experimental value.
A noticeable improvement is attained if the total and alternative solids impact and friction correlations are used as shown in Figure 3. The total friction coefficient is determined directly from equation (4) without separating the air and solids friction components as:


Equations (14) to (16) are valid for a pipe diameter of 101.6 mm only.
The improved solids velocity prediction does not influence the slope of the pressure drop or average air velocity but reduces the calculated acceleration length required to bring the solids to a constant conveying velocity. This brings about a reduction in the calculated overall system pressure drop due to a reduction in pressure drop in the acceleration region. In this case the solids velocity is predicted to within 1% of the experimental values. Note that the experimental facility makes use of a tandem rotary vane feeder arrangement for feeding material into the pipeline and thus allows air leakage at the feed point to be neglected. In this case the air velocity increases in the acceleration region as a result of a reduction in absolute pressure due to the acceleration pressure drop and the associated decrease in air density.
For horizontal conveying of tube ice a pipe layout including two bends depicted in Figure 4 is used to verify the two-phase flow model for coarse particles. An attempt to calculate the solids impact and friction coefficient resulted in negative friction coefficients, preventing a comparison of the simulation results by using the two alternative representations of the friction coefficients for ice flow. Instead the total friction coefficient and the alternative solids impact and friction coefficient are used in the simulation where the correlation equations are given as follows:

for uPVC pipe inner diameters from 95 mm to 136 mm.

For the case of a material mass flow of 9 360 kg/h in a 136 mm ID uPVC pipeline the comparison between the simulation and the experimental results is presented in Figure 5. An air leakage prediction is entered into the simulation programme as a percentage loss of the total air mass flow rate. For the test cases investigated this varies between 8% and 15%. The effect of air leakage can be clearly seen in Figure 5 where a drop in velocity occurs after the feed point. This is an important point to consider during the design stage as the initial air velocity must be high enough to effect safe acceleration of the solids without causing a blockage after the feed point. It is thus imperative to keep air leakage through feeding devices to a minimum and be aware of a possible reduction in the initial air velocity as the feeding mechanism wears, with an associated increase in air leakage.

Of further interest is the acceleration length of around 180 pipe diameters required for large particles such as tube ice in this test case. For this reason Sheer8 suggests that bends only be set into place at a minimum distance of 200 pipe diameters downstream of the feed point. The simulations for test cases, ranging from ice mass flow rates of 9.36 t/h to 22.3 t/h and mass flow ratios between 4 and 7, show that the acceleration length decreases the higher the initial average air velocity.
Another phenomenon that is clearly illustrated is the increase in air velocity along the pipeline as the pressure decreases. The air volume flow rate increases as a result of the decreasing air density resulting in high air velocities. The increase in air velocity is associated with high wear rates and high pressure drops and for this reason designers make use of stepped pipelines when conveying over long distances. The pipeline diameter is successively increased to reduce the air velocity. As a result the solids velocity decreases resulting in less wear. The design programme can thus be used to determine at which point in a pipeline such an increase in diameter should occur.
It was found necessary to derive the sliding friction coefficient for the bends utilising a combination of the simulation data and the experimental values as the low coefficient of friction of ice on uPVC results in an underprediction of the pressure drops in the bends. What is clear from the bend flow is that the material decelerates rapidly in the bends and accelerates again afterwards. In this case the distance between two successive bends is less than 70 pipe diameters in length with the result that the solids do not have sufficient time to accelerate again before entering the second bend. As a result the solids velocity is reduced to a lower value than the minimum solids velocity in the first bend. Insufficient bend spacing may thus result in pipe blockage if the solids velocity is reduced below the value required for safe conveying.
A practical program application
Following is an example for the application of the design program. A client in a fish-processing plant wishes to convey tube ice from the ice production plant to the storage facility at the other end of the processing plant. The client wishes to convey a maximum of 15 t/h to the storage facility.
The only parameters that are given to the designer are the maximum ice-flow rate expected and the plant layout into which the conveying pipeline has to be integrated. The pipeline layout used for this example is depicted in Figure 6. For the simulation an air leakage of 10% is assumed with the pipe outlet venting to the atmosphere at sea level conditions.

Sheer8 gives a guideline for the minimum average air velocity at the feed point. For the 136 mm diameter pipeline this lies at 25 m/s. Furthermore from experimental data one can conclude that the solids velocity should not fall below approx. 15 m/s at any point along the pipeline to prevent blockages from occurring. Bearing this in mind the simulation can be run for a range of mass flow ratios and the results inspected after each simulation to check whether the above guidelines are met. Figure 7 depicts the results after completion of this process. It can be seen that the solids velocity is the dominating constraint and that the inlet air velocity has to be higher than 25 m/s to ensure that the solids velocity does not fall below 15 m/s after the third bend. The resulting system pressure drop lies at 66 kPa with a required air mass flow rate at 0.926 kg/s or a volume flow rate of 0.434 m3/s at a density of 2.135 kg/m3.

Program design application advantages
The advantages of the design program with respect to the application to full scale conveyor design can be summarised as follows:
• Rapid generation of pipe layouts allowing different pipe layouts, pipe diameters and diameter combinations for stepped pipelines to be analysed.
• Graphic visualisation of the five important conveying variables which include the pressure drop, density, average air velocity, solids velocity and voidage. This allows the designer to check for problems such as low initial air velocities, low solids velocities, problems with bend spacing and to determine the influences of stepped pipelines.
• The output data file can be imported into a spreadsheet to yield plots of additional parameters such as particle drag coefficients, particle terminal velocities and the slopes of the five major output variables.
Conclusion
A design program for dilute phase pneumatic conveyors has been presented. The program has been proven to simulate accurately horizontal flow of both fine particle and coarse particle materials provided the friction coefficient correlations are available from experimental data for the particular material that is to be conveyed. Further work is suggested to improve the bend flow model currently used in the design program and to verify the accuracy of the mathematical model for vertical conveying. Ideally this should be done on a full scale installation where sufficient lengths of horizontal and vertical conveying sections are available. The benefits of using the total friction coefficient in conjunction with an alternative solids impact and friction coefficient for an improved simulation of the solids velocity have been shown. The program is not only a useful design tool but will also serve as a basis for a better understanding of the nature of two-phase flows. As more comparative data become available it will be possible to refine the mathematical model used for the simulation and also investigate the effects and validity of the different terms that appear in the differential equations.
References
1. Marcus RD, Leung LS, Klinzing GE & Rizk F. Pneumatic Conveying of Solids. Chapman and Hall, London, 1990.
2. Ferretti G. Calcolo degli impianti per il transporto pneumático di materiali sfusi. Fluid, 1983, 231/232, 57-63. [ Links ]
3. Saccani C. A new simulation program for designing pneumatic conveying plants. Bulk Solids Handling, 1993, 13, 111-122. [ Links ]
4. Moody LF. Friction factors for pipe flow. ASME Transactions, 1944, 66, 671-678. [ Links ]
5. Weber M. Friction of the air and the air/solids mixture in pneumatic conveying. Bulk Solids Handling, 1991, 11, 99-102. [ Links ]
6. Lange LM. An analysis of fine particle gas/solids suspension flow in the dilute phase as a continuum according to the pipe diameter. MSc (Eng) thesis. Faculty of Engineering, University of the Witwatersrand, Johannesburg, 1989. [ Links ]
7. Van Straaten WH. The operating characteristics of a high efficiency axial cyclone in a dilute phase pneumatic conveying system. MSc thesis. Department of Mechanical Engineering, University of Pretoria, Pretoria, 1994. [ Links ]
8. Sheer TJ. Pneumatic conveying of ice particles through mine shaft pipelines. PhD thesis. Faculty of Engineering, University of the Witwatersrand, Johannesburg, 1991. [ Links ]
9. Forsythe GE, Malcolm MA & Moler CB. Computer Methods for Mathematical Computations. Prentice Hall, New Jersey, 1977.
10. Wodrich KHK. A design program for pneumatic conveyors. MEng (Mech) thesis. Department of Mechanical Engineering, University of Stellenbosch, 1997. [ Links ]
Received November 1997
Final version May 1998
1 This paper is reproduced with permission from beltcon 9, International Materials Handling Conference (22 - 24 October 1997), where it was first presented.











