Services on Demand
Journal
Article
Indicators
Related links
-
Cited by Google -
Similars in Google
Share
R&D Journal
On-line version ISSN 2309-8988Print version ISSN 0257-9669
R&D j. (Matieland, Online) vol.14 Stellenbosch, Cape Town 1998
Using cyclic plastic bending as an energy absorption mechanism
F. RossleeI; G. CoetzeeII; L. PretoriusIII
IResearch Group for Dynamic Mechanical Systems, Department of Mechanical & Manufacturing Engineering, Rand Afrikaans University; Junior Engineer, Vaal Reefs Exploration & Mining Company Ltd
IISenior lecturer, Department of Mechanical & Manufacturing Engineering, Rand Afrikaans University
IIIHead, Department of Mechanical &: Manufacturing Engineering, Rand Afrikaans University
ABSTRACT
Recently a study was done at the Rand Afrikaans University on the characteristics of the cyclic-plastic-bending energy absorber. The device consists of a set of rollers through which a metal element is pulled, thereby subjecting the metal element to a process of cyclic plastic bending deformation, facilitating energy absorption. The cyclic-plastic-bending energy absorber shows stable, reliable and predictable behaviour. The device has an almost ideal (square) force-displacement characteristic, it is not maintenance intensive, and it can be constructed at relatively low cost. In emergency situations, where a large moving object is out of control and has to be stopped at a controlled rate, this device could find application.
Nomenclature
droller separation [m]
Dempirical constant[s-1]
f dimensionless force term
Fforce [N]
mmass [kg]
nnumber of rollers
Rroller radius [m]
sstroke length [m]
tstrip thickness [m]
Vvelocity [m/s]
wstrip width [m]
Wenergy absorbed [J]
ϵstrain
έ strain rate [s-1]
ρempirical constant
σstress [MPa]
σyquasi-static yield stress [MPa]
σyd dynamic yield stress [MPa]
Introduction
In the modern technologically advanced world one regularly encounters large, heavy objects moving at high velocity. Should these objects go out of control the results could be catastrophic, leading to large-scale damage to property and equipment, and injury or death to people. Examples of this scenario are: a train over-running its station; a plane over-running its runway; or the over-winding or under-winding of an elevator.
When such a heavy object, at a certain velocity, becomes unable to bring itself to rest under its own power, an external kinetic energy absorbing device is required to halt the object and alleviate damage to property and injury to people.
The design aim of a kinetic energy absorber is to dissipate the kinetic energy the moving object possesses in a stable, controlled, and irreversible fashion. A number of basic energy absorption mechanisms exist by which this can be achieved, namely:1
• Electromagnetic damping
• Viscous damping
• Coulomb friction damping
• Hysteretic damping
• Plastic deformation
Lately plastic deformation dampers have received a good deal of attention. These energy absorbers rely on the plastic deformation of structural elements to absorb the kinetic energy. A variety of such plastic deformation energy absorbers have been developed for various applications, such as the aviation industry, automotive industry, etc.
At the Mechanical & Manufacturing Engineering Department of the Faculty of Engineering at the Rand Afrikaans University, plastic deformation damping has been the focus of a number of studies. One such study2 was conducted on the characterization of the cyclic-plastic-bending energy absorber. The device was characterized through experimental study, mathematical analysis, and a finite element analysis was carried out on the device. This device, its development and characteristic behaviour, and its application are the focus of this article.
Principle of operation
On 21 July 1964, Jackson,3 assignor to Van Zelm Associates Inc., filed a claim to a patent on an energy absorption device. The device relies on the principle that a large quantity of energy is absorbed when a metal element is cyclically subjected to plastic bending and unbending. The device consists basically of a long metal element (wire, strip, bar, etc.), being pulled through a set of rollers, as shown in Figure 1. As the element, in this case a metal strip, passes round each roller it is subjected to cyclic plastic bending. The plastic deformation of the metal element facilitates the conversion of the kinetic energy, of the object to be halted, into low level heat.

In its simplest form, the device would consist of one roller around which the element is deformed, as well as a guide roller to force the element to conform to the roller radius (known as the single-roller configuration).
In the case of the three-roller configuration (Figure 1), the metal element is not subjected to any force prior to reaching the first roller. Once it reaches the first roller, every incremental section of the element is consecutively subjected to plastic bending and is deformed to conform to the roller radius. After the initial deformation the sections are not subjected to any deformation whatsoever over the arc of contact with the roller.
At the moment when an incremental section leaves the first roller it is plastically unbent, and then subsequently re-bent to conform to the radius of the second roller. This process repeats itself as each section passes from one roller to the next and finally departs from the last roller.
Each fibre within the metal element is therefore subjected to cyclic plastic extension and compression, the intensity of which varies from a maximum at the outside surfaces to zero at the neutral surface. Nine4 found experimentally that the actual bending and straightening occurs within a traversing distance comparable to the sheet thickness, which implies that high strain rates occur. All plastic deformation, and therefore energy absorption, thus occurs the moment a section touches a roller and again the moment it departs from the roller.
Willis5 showed experimentally that plastic bending under tension produces elongation and consequent thinning of the metal element, the severity depending on the geometry of the device and the velocity at which the element is pulled through. A certain force is required to pull the element through the rollers and is called the resistance force of the energy absorption device. It is this resistance force, acting over a certain displacement of the metal element, which facilitates the absorption of energy.2
Operating parameters and dimensional analysis
The resistance force (F) delivered by the device depends on a number of parameters, namely:
• The thickness of the metal strip (t),
• The width of the metal strip (w),
• The radii of the rollers (R),
• The number of rollers (n),
• The separation distance between rollers (d),
• The velocity at which the strip is pulled through (v),
• The material's characteristic behaviour, i.e. yield stress (σy).
These parameters can be grouped into a number of dimensionless parameters, in terms of which a device's characteristics can be expressed:2
• A dimensionless force term: (formulated inversely to obtain figures larger than unity)

• A dimensionless geometry term:

• The number of rollers:

• The experiments were carried out under quasi-static conditions and therefore the velocity [v] is neglected, as well as all inertia effects.
• The separation distance [d] between the rollers is assumed to remain equal to strip thickness.

Using the terms derived in equations (1), (2), (3), and (4), the experimental data collected2 were transformed into non-dimensionalized results, as shown in Figure 2.

As can be seen from Figure 2 the dimensionless force term is directly proportional to the dimensionless geometry term, within the range (4 < R/t < 25) tested. These results can therefore now be used to predict the behaviour of any device falling within this range.
General characteristics
General force-displacement characteristic
In order to absorb kinetic energy an absorber must develop a resisting force (F) over a certain stroke length (s) (see Figure 3). The resisting force exerted on a moving object determines its deceleration rate, whilst the stroke length is the distance from where the object engages the energy absorber to where it comes to rest. The amount of kinetic energy absorbed is given by the integral of the force over the stroke length (Eq. 5):


The performance required of a kinetic energy absorber is determined by the maximum deceleration rate that can be applied to the moving object and the distance available to halt it.6
As the maximum amount of energy should be absorbed within these constraints, the ideal performance is given by an energy absorber that maintains a constant resistive force, at the maximum allowable level, over the full stroke length (Figure 3).6 In practice an instantaneous rise in force level is neither possible, nor desirable, and a finite onset rate is required (Figure 3).6 Due to the nature of the various mechanisms utilized it is found that the load-deflection characteristics of some energy absorbers differ substantially from this ideal profile.7
Although the profile required by a specific application might differ from the ideal profile, in most instances the actual energy absorbers are proportioned to possess load-deflection characteristics resembling the ideal energy absorber.8
The experiments conducted2 showed that, under quasi-static conditions, the force-displacement characteristic of the cyclic-plastic-bending energy absorber shows a very close resemblance to the ideal square force-displacement characteristic.
Typical experimental traces obtained2 are shown in Figure 4, for different roller radius-strip thickness combinations. Note the sharp initial rise and the smooth transition to a steady state condition.

In the steady state condition a virtually constant resistive force is maintained. The constant resistive force results from the fact that the mode of deformation of the metal element remains stable throughout the experiment. In other words, each section of the metal element follows the exact same deformation path.
Effect of variation of R/t-value on resistance force
The resistance force results vs. R/t-valuesfor single roller experiments2 are shown in Figure 5. The R/t-values were varied between 4 and 50, for mild steel strip thicknesses of 1 mm, 1.6 mm, 2.0 mm and 2.5 mm (w - 120 mm, d/t = 1).

The figure clearly shows a decreasing exponential or hyperbolic type relationship between the resistance force and the R/t value. This implies that, if all other parameters are kept constant, the resistance force will increase exponentially as the R/t-value approaches zero (if the roller radius decreases or the strip thickness increases).
Consequently, if an R/t-valuebelow 5 is used for an energy absorber, even a slight variation in the R/t-value, due to roller ellipticity or strip thickness variation, could cause large fluctuations in the resistance force. Also, at high R/t values (above 30) the gradient of the relationship becomes too low (Figure 5) and it becomes difficult to predict the behaviour of the device.
Effect of varying the number of rollers
The results for single, double, and triple roller energy absorbers, for constant roller radius and strip thickness values, are shown in Figure 6.2 Again d/t = 1, w = 120 mm and the strips are mild steel. From the graph it can be seen that the relationship between the resistance force and the number of rollers is linear and directly proportional.

It can therefore be concluded that, at least for R/t-values between 8 and 25, the differential increase in resistance force is virtually equal for the first, second, and third rollers. Thus, for mild steel, at least up to the third roller, the multi-roller force will merely be a multiple of the single roller force, under quasi-static conditions.
Effect of variation of separation distance
In the one case in Figure 6 where a linear relationship does not exist (R = 10 mm and t = 1mm), the deviation was due to the geometry of the set-up. Due to the physical size of the assemblies the rollers could not be moved close enough together to obtain a d/t-value of 1 and therefore could not force the strips to conform to the roller radii.
Consequently the strips followed the easiest route through the rollers, as is illustrated in Figure 7.2 As can be seen, the magnitude of the strain to which the strips were subjected was thus smaller than intended and consequently the resistance force generated was smaller than expected. From this it is clear that when a cyclic-plastic-bending energy absorber is designed, it should be ensured that the spacing of the rollers is such that the d/t-value is as small as possible in order to force the strip to conform to the roller radii. This will ensure that the device delivers the predicted resistance force.

Effect of variation of strain rate
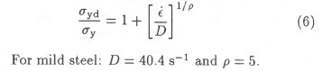
In the experiments carried out at the Rand Afrikaans University2 only quasi-static tests were carried out and no dynamic testing was done. It is however of great importance to consider the influence of high strain rates on the cyclic-plastic-bending energy absorber, as the application of the device is in high speed impacts.
Because of the geometrical set-up and the mechanism of deformation that occurs in the cyclic-plastic-bending device, the strip has to follow a predetermined strain path. The deformation mode will therefore not differ from quasi-static to dynamic loading conditions. The characteristic behaviour of the material will however be affected under dynamic loading conditions. As the strain rate increases, the dynamic yield stress increases, thereby hardening the material.
The empirical Cowper-Symonds constitutive equation,9 requiring two constants from experimental tests on a given material, can be used to assess the strain rate effects. It relates the dynamic yield stress σyd, to the strain rate έ, by the expression:

It is important to note that as the energy absorber decelerates the moving object, the strain rate imposed on the metal strips decreases, the dynamic yield stress decreases, and the resistance force consequently decreases.
Analytical results
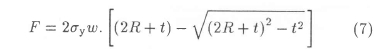
From basic principles two analytical equations were obtained2 that describe the behaviour of the cyclic-plastic-bending energy absorber to some degree of accuracy. The first of these was derived by calculating the plastic bending moment using the rigid, perfectly plastic assumption of material behaviour. It relates the resistive force (F) to the roller radius, the strip thickness, strip width, and the material's yield stress, as follows:2

The second of the two equations was derived by calculating the deformation energy absorbed over a single roller using the perfectly plastic assumption. It relates the resistive force (F) to the roller radius, the strip thickness, strip width, and the material's yield stress, as follows:2

Both equations are valid for n = 1 and d/t = 1. The equations can now be used to approximate the resistive force developed by a cyclic-plastic-bending device, under quasi-static conditions, as shown in Figure 8.2

From Figure 8 it is clear that both Eq. (7) and Eq. (8) give reasonable approximations of the resistive force developed by a metal strip being pulled over a single roller, for R/t-values ranging from 4 to 25. The approximations of the resistive force given by these equations should therefore suffice for design purposes.
Conclusion
The cyclic-plastic-bending device has a number of advantages that make it ideal for use as an energy absorber. A major advantage is that, due to the mechanism of operation, all the material participates in absorbing the energy through plastic deformation. No excessive localized plastic deformation, that could lead to failure, occurs. This implies that the device has a very high energy absorption capacity per unit mass and is highly reliable.
Due to the configuration and mechanism of operation the stroke length of the device is only limited by the available length of the metal element and the stroke to length ratio is therefore 1. Furthermore, because it is a tension energy absorber, directionality of loading is not critical.
All the results obtained2 showed that the device maintains an almost constant resistive force, virtually from the start of its stroke, without any notable transitional effects. This constant resistive force implies that a constant rate of deceleration is obtained, which is very advantageous if the object being decelerated contains passengers. Furthermore, the experimental and analytical results also show that variation of any of the parameters leads to stable, predictable change in the resistive force developed by the device and no instabilities or sudden change of deformation mode results (no catastrophic failures). By suitably choosing the parameters the resistance force can be reasonably well controlled and design of such a device should be a relatively simple task. Lastly, the device is comparatively inexpensive and easy to manufacture and after being activated in an accident situation, only the deformed metal element needs to be replaced.
Cognisance should however be taken of high-strain low-cycle fatigue if the R/t-value goes below 5 or if a large number of rollers are used in series. Due to the dynamic loading conditions the effect of strain rate, in increasing the dynamic yield stress, should also be taken into account.
To conclude, the cyclic-plastic-bending energy absorber shows stable, reliable, and predictable behaviour. It has an almost ideal (square) force-displacement characteristic, it is not maintenance intensive, and can be constructed at relatively low cost. In emergency situations, where a large moving object is out of control and has to be stopped at a controlled rate, the use of this device is recommended.
References
1. Bodner SR, Symonds PS. Experimental and theoretical investigation of the plastic deformation of cantilever beams subjected to impulsive loading. J. of Appl. Mech., 29, 1962, pp.719-728. [ Links ]
2. Rosslee F, Coetzee G, Pretorius L. Design and analysis of an energy absorbing mechanism for mine cages. Ming thesis, Rand Afrikaans University, Johannesburg, 1996. [ Links ]
3. Jackson MA. Energy absorption device. United States Patent No. 3/211/260, October 12, 1965, pp.656-657.
4. Nine HD. Drawbead forces in sheet metal forming. In: Mechanics of sheet metal forming, DPKoistinen & NM Wang (eds). General Motors Research Laboratories, Plenum Press, New York, 1978, pp.179-211.
5. Willis J. Deep drawing. Butterworth Scientific Publications, London, 1954, pp.10-39.
6. Johnson W, Reid SR. Metallic energy dissipating systems. Applied Mechanics Reviews, 31(3), 1978, pp.277-288. [ Links ]
7. Thornton PH, Edwards PJ. Energy absorption in composite tubes. Journal of Composite Materials, 16, 1982, pp.521-545. [ Links ]
8. Thornton PH, Magee CL. The interplay of geometric and material variables in energy absorption. J. of Eng. Mat and Tech., 99, 1977, pp.114. [ Links ]
9. Jones N. Structural impact. Cambridge University Press, Cambridge, 1989, pp.423-427.
Received May 1997
Final version March 1998











