SciELO - Scientific Electronic Library Online

 
vol.14Leak tightness and a proposed method for inhibiting water penetration of semi-tight containers author indexsubject indexarticles search
Home Pagealphabetic serial listing  

Services on Demand

Journal

Article

Indicators

    Related links

    • On index processCited by Google
    • On index processSimilars in Google

    Share


    R&D Journal

    On-line version ISSN 2309-8988Print version ISSN 0257-9669

    R&D j. (Matieland, Online) vol.14  Stellenbosch, Cape Town  1998

     

    New criteria for comparing frequency response functions

     

     

    T. MarwahI; P.S. HeynsII

    IFormer postgraduate student (University of Pretoria), currently with Cambridge University Engineering Department, Trumpington Street, Cambridge, CB2 1PZ, United Kingdom
    IIProfessor (Member), Department of Mechanical and Aeronautical Engineering, University of Pretoria, Pretoria, 0002 South Africa

     

     


    ABSTRACT

    Measured frequency response functions are commonly used for the extraction of modal properties of structures. These properties may then be used for the updating of finite element models. The updating requires suitable criteria to quantify the success of the updating procedure. Such criteria exist in the literature for the comparison of models in terms of modal parameters, but there is a need for a convenient procedure based on frequency response functions. In this work a frequency response function scaling factor, which directly compares frequency response functions, is proposed. As an intermediate step, a frequency response function assurance criterion, which is the ratio of the analytical to the measured frequency response functions is also proposed. These two methods are compared to simplified versions of the well-known modal assurance and co-ordinate modal assurance criteria, by applying a frequency response function updating method and a modal property updating approach to a freely suspended beam, a freely suspended beam with holes, and an unsymmetrical H-shaped structure. Where the frequency response function method was implemented, the frequency response function scaling factor and frequency response function assurance criterion were found to be better comparators than the modal assurance and co-ordinate modal assurance criteria. Where the modal properties method was implemented, it was found that the modal assurance and co-ordinate modal assurance criteria performed better than the frequency response function scaling factor and frequency response function assurance criterion.


     

     

    Nomenclature

    [M],[K], [C]Mass, stiffness, viscous damping matrices

    [I]Identity matrix

    i

    i,j,rIndex numbers

    d,uRefers to damaged, undamaged

    LNumber of measured degrees of freedom

    MNumber that defines the frequency bandwidth of interest

    NNumber of measured modes

    {0} Null vector

    {ε} ,εError vector, error scalar

    eEuclidean norm of error

    αProportional damping coefficients

    {φ} , [φ]Eigenvector, eigenmatrix

    ACross-sectional area

    EModulus of elasticity

    ρDensity

    VPoisson ratio

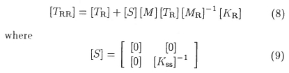
    [S]Matrix used in IRS and contains zeros and inverse of unmeasured stiffness matrix

    ωAngular frequency

    {X (ω)}Response vector

    {F (ω)}System force input vector

    H (ω)Frequency response function

    [T]Transformation vector

     

    Superscript

    * Complex conjugate

     

    Subscripts

    R Guyan reduction

    RR Improved reduced system

    s Unmeasured (slave) co-ordinates

    m Measured co-ordinates

    a Analytical

     

    Acronyms

    IRS Improved Reduced System

    MAC Modal Assurance Criterion

    [MACO] Null matrix

    MACOS MACO scalar

    COMAC Co-ordinate Modal Assurance Criterion

    COMACs Co-ordinate Modal Assurance Criterion scalar

    FRFSF Frequency Response Function Scaling Factor

    FRFAC Frequency Response Function Assurance Criterion

     

    Introduction

    Frequency response functions, obtained by measurement of the artificial excitation of structures and the corresponding responses, are commonly used for the extraction of modal properties. These properties may then be used for updating or improvement of finite element models.

    To quantify the success of an updating procedure, i.e. the correlation between modal properties derived through experimental and finite element procedures, several comparison methods have been developed. Comparison of frequencies can be done directly, but it is not trivial to compare the mode shapes. Two of the most frequently used methods to compare mode shapes are the modal assurance criterion1 and the co-ordinate modal assurance criterion.2

    Recently, several methods have been developed that directly use measured frequency response functions for updating.3 This obviates the need for parameter extraction and represents a more direct use of the available measured data.

    However, the development of these updating methods, based on frequency response functions, has not lead to a convenient correlation procedure. In this paper a frequency response function assurance criterion is proposed for this purpose, and the procedure is applied to three test structures. As an intermediate step a scalar, called the frequency response function scaling factor, is developed and applied on the test structures. The frequency response function scaling factor is a measure of the average slope in the analytical versus measured frequency response functions graph. The frequency response function assurance criterion is a measure of the least squares deviation from the straight line of the analytical versus measured frequency response functions graph.

    The test structures considered are a freely suspended beam, a freely suspended beam with holes drilled at regular intervals, and a freely suspended unsymmetrical H-shaped structure. Frequency response functions were measured for these test structures and the corresponding modal properties (frequencies and mode shapes) were extracted. Frequency response functions and modal properties were then individually used to update a finite element model.

    A method proposed by D'Ambrogio and Zobel3 uses measured frequency response functions directly to minimise the Euclidean norm of an error vector in the equation of motion. The eigenvalue equation method4 uses the extracted modal properties to minimise the Euclidean norm of the error vector. This is done by using, amongst other parameters, the area A, the density ρ, and the modulus of elasticity E as design variables, which are adjusted to improve the correspondence between the measured and analytical data.

    To simplify the implementation of the optimisation procedures, a co-ordinate modal assurance criterion scalar, defined as the product of all the elements in the standard co-ordinate modal assurance criterion vector, is introduced in this work. Furthermore, the usual modal assurance criterion is transformed so that a null matrix instead of the normal unit matrix would correspond to a perfect correlation between two mode shapes. To simplify the application of the modal assurance criterion matrix, a scalar is introduced as the Euclidean norm of the difference between the MAC and the identity matrix.

    These parameters were then used for the correlation of experimental, original, and updated finite element models, based on modal parameters. Similarly, the frequency response function scaling factor and the frequency response function assurance criterion were also applied to the correlation of experimental, original, and updated models, based on the frequency response function data.

    The structures that were studied were subjected to several damage cases. Damage was introduced by saw cuts, which on average went half way through the cross section of the structure. The finite element models of each of the structures were updated for each of the several damage cases.

    Finite element models were obtained by using the Structural Dynamics Toolbox5 which runs in a MATLAB environment6 and uses Euler-Bernoulli beam elements. The Optimisation Toolbox7 was used to solve the optimisation problem.

     

    Updating methods

    Updating using measured frequency response functions

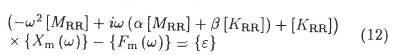
    In this section a method based on the work done by D'Ambrogio and Zobel3 is briefly developed. The equation of motion obtained may be written in the frequency domain as follows:

    In this study it was found that damping was low, and therefore the damping matrix is assumed to be proportional to the mass and stiffness matrices. Equation (1) may therefore be rewritten as follows:

    where {X (ω)}and {F (ω)} are measured quantities, which are in practice written in terms of measured frequency response functions.

    These frequency response functions are measured at selected degrees of freedom which are fewer than those of the finite element model. Therefore the mass and stiffness matrices in equation (2) are reduced. In this study the reduction technique chosen is the Improved Reduced System (IRS).8 The IRS is an improvement of the Guyan static reduction.9

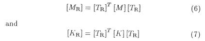
    In the Guyan static reduction method, the displacement and force vectors {X (ω)} and {F (ω)}, and the mass and stiffness matrices [M]and [K] in the equation of motion are partitioned into measured and unmeasured coordinates. If the inertia terms are neglected, the partitioned equation of motion can be used to eliminate the unmeasured co-ordinates. From this, the transformation matrix is obtained as follows:

    This transformation matrix can then be used to obtain the reduced mass and stiffness matrices as follows:

    The transformation in equation (3) can be used in conjunction with the reduced mass and stiffness matrices in equations (6) and (7), respectively, as well as the [S]matrix to obtain a new transformation equation as follows:

    The transformation in equation (8) can be used to obtain the reduced mass and stiffness matrices as follows:

    The IRS method consists of using transformation in equation (3) in conjunction with equation (9), equation (6), and the mass matrix.

    If equations (10) and (11) are substituted in equation (2), then the following is obtained:

    where {ε}is the error vector. Due to the cumbersome nature of investigating the elements of the error vector, the Euclidean norm, which is the square root of the sum of the squares of the error vector elements, is used. The Euclidean norm of this error vector is defined as follows:

    The design variables (A, ρ, v, and E of each element), are varied until e is minimised.

    Updating using the modal property method

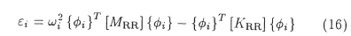
    The eigenproblem may be written as follows:

    where ωi and φi, respectively, are the natural frequency and mode shape for mode i. Equation (14) can be pre-multiplied by the transpose of the mode shape vector and the resulting equation is:

    As in the previous section, the mass and stiffness matrices may be reduced by using the IRS method. The mass and stiffness matrices in equation (15) may be substituted by equations (10) and (11), respectively, to obtain:

    If N mode shapes are extracted, then there will be N error coefficients. As in the previous section the Euclidean norm of all the εobtained [see equation (13)] may be used to determine e. The design variables may be varied until e is minimised.

     

    Correlation criteria

    The Modal Assurance Criterion

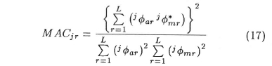
    The Modal Assurance Criterion (MAC) compares any two mode shapes and is defined by the following equation:1

    The MAC is a measure of the least squares deviation of the points from the straight line correlation. A value close to 1 suggests that the two mode shapes are perfectly correlated, whilst a value close to 0 indicates that the mode shapes are not correlated. If the mode shape matrix is used in equation (17), then the MAC becomes an identity matrix. To simplify comparison of sets of mode shapes originating from different sources, a single value parameter representative of the MAC matrix is introduced. For this purpose the MAC matrix is first transformed so that perfect correlation would correspond to a null matrix.

    where [I] is the identity matrix.

    If the modal vectors that are being analysed are perfectly correlated, then the matrix [MAC0] will have zero entries. A single-valued entity that is the Euclidean norm of the [MAC0], may be defined as follows:

    where I and J are the numbers of rows and columns in the MAC matrix.

    If MAC0S is equal to zero, then the two mode shape matrices are perfectly correlated. The shortcoming of this method is that it does not discriminate between random scatter being responsible for the deviations or systematic deviations. The main causes of less than perfect MAC results are: non-linearity in the test structure, noise on the measured data, and poor modal analysis of the measured data.10

    The Co-ordinate Modal Assurance Criterion (COMAC)

    The COMAC method is based on the same principle as the MAC, and is essentially an indication of the correlation between the measured and the computed mode shapes for a given common co-ordinate. The COMAC given for co-ordinate j,2 is as follows:

    L is the total number of well-correlated mode shapes as indicated by the MAC. A value close to 1 suggests good correlation. If the mode shape matrices are used then the COMAC becomes a vector. For a perfect co-ordinate correlation, the elements of the COMAC vector are all equal to 1.

    Unlike the MAC, the COMAC does not have any difficulty comparing mode shapes that are close in frequency or that are measured at insufficient transducer degrees of freedom. The product of the elements of the entries of the COMAC vector may be defined as follows:

    where N is the number of measured degrees of freedom.

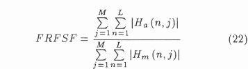
    The Frequency Response Function Scaling Factor (FRFSF)

    The advantage of using frequency response functions is that they are measured directly. One of the ways in which the measured frequency response functions may be compared to the analytical ones, is by plotting the magnitudes of the measured versus the analytical frequency response functions graph.

    Since for frequency response function measurements, there are many frequency response function degrees of freedom to be compared, it becomes necessary to introduce a scalar entity that gives the relationship between measured and theoretical frequency response functions. The FRFSF is defined as

    where L is the number of measured degrees of freedom, M is the number of the measured frequency lines in the bandwidth under consideration, whilst Hm and Ha are the measured and analytical frequency response functions, respectively.

    An FRFSF of 1 indicates that on average the magnitude of the analytical frequency response functions is the same as that of the measured frequency response functions. An FRFSF that is less than 1, shows that the measured frequency response functions are on average higher than the analytical frequency response functions. An FRFSF which is higher than 1, shows that the analytical frequency response functions are on average higher than the measured frequency response functions.

    In this paper, the ability of the FRFSF to compare the measured and analytical frequency response functions is investigated.

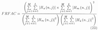
    The Frequency Response Function Assurance Criterion (FRFAC)

    The FRFSF described in the previous section only compares the average slope in the analytical versus measured frequency response functions graph. It is therefore desirable to introduce a scalar entity which gives a measure of the least squares deviation of the points from the straight line correlation in the analytical versus measured frequency response functions graph. This new entity uses measured frequency response functions directly and is defined as follows:

    where L is the number of measured degrees of freedom, M is the number of measured frequency lines in the band-width, while Hm and Ha are the measured and analytical frequency response functions, respectively.

    An FRFAC close to 1 indicates that the measured frequency response functions are closely correlated to the analytical frequency response functions. An FRFAC that is less than 0.5 indicates that the analytical frequency response functions are not close to the measured frequency response functions.

    The ability of the FRFAC to give the correlation between experimental and analytical frequency response functions is investigated in this paper.

    It should also be noted that the FRFSF and the FRFAC compare the magnitudes of the frequency response functions and ignore the phase. For this reason, the FRFSF and the FRFAC are not completely representative of the frequency response functions.

     

    Experiment

    Example 1: Freely suspended beam

    The aluminium beam shown in Figure 1 was excited at node 6 and the response was measured using an accelerometer placed in succession at nodes 2 to 11. From the measurements a set, of 10 frequency response functions was obtained. These measurements were used to identify modal parameters. The frequency response function and modal property methods were used to update the finite element model.

     

     

    In the first case, damage was introduced at element 3 and measurements were taken. In the second case, damage was introduced at elements 3 and 5 simultaneously. Lastly, damage was introduced to elements 3, 5. and 6 simultaneously. The nature of damage introduced was a saw cut that went half way through the cross-section of the beam.

    For each of the damage cases, a set of 10 frequency response functions was measured. These frequency response functions and that of the undamaged case and their respective extracted modal properties were used in the frequency response function method and the modal property method, respectively. The measured frequency response functions for all cases were compared to those from the updated finite element model by using the COMACS, the MAC0S, the FRFSF. and the FRFAC.

    Example 2: Freely suspended beam with holes

    This example is closely related to the previous one, except that the beam had holes and therefore was more difficult to model. The beam had holes of diameter 5.8 mm located at nodes 2 to 9 which were separated by 10 cm equal spacing. The beam was modelled by 12 elements and the structure was excited at node 6 (see Figure 2). The responses were measured by placing accelerometers consecutively at nodes 2 to 12. The structure was tested freely suspended and a set of 11 frequency response functions was obtained and used for updating.

     

     

    In the first case damage was introduced at element 2. In the second case, damage was introduced at elements 2 and 3 simultaneously and lastly, damage was introduced at elements 2, 3, and 4 simultaneously. For each of the undamaged and damaged cases, a full set of 11 frequency response functions was measured. The measured responses were compared to those from the updated finite element model by using the COMACs, the MAC0S, the FRFSF, and the FRFAC.

    Example 3: Freely suspended H-shaped structure

    The third example was an unsymmetrical H-shaped (see Figure 3) aluminium structure. The structure was divided into 12 elements. The structure was excited at node 6 and an accelerometer was placed at 15 degrees of freedom. The structure was tested free and a set of 15 frequency response functions was obtained and used for updating.

     

     

    In the first case, damage was introduced at element 3. Secondly, damage was introduced at elements 3 and 4, and lastly, damage was introduced at elements 3, 4, and 5. For the undamaged case and each of the damaged cases, a set of 15 frequency response functions was measured. The frequency response function method and the modal property method were implemented and the responses from the updated models were compared to the measured ones, by using the COMACs, the MACos, the FRFSF, and the FRFAC.

    When the FRFSF and the FRFAC were used, the frequency range was chosen on the region with minimal noise. A typical measured frequency response function is displayed in Figure 4. The bandwidth chosen for this frequency response function is 37.5 to 280 Hz. The frequency response function shown is relatively noisy above 280 Hz.

     

     

    Results and discussion

    Example 1: Freely suspended beam

    The frequency response function and the modal property methods were implemented and their respective updated finite element models were obtained. The COMACS, the MAC0S, the FRFSF, and the FRFAC, before and after updating, were compared and the percentage changes in these parameters are shown in Table 1.

     

     

    Table 1 shows that the FRFSF and the FRFAC were on average updated the most when the frequency response function method was used. The COMACs and the MACos were on average updated the most when the modal property method was used.

    Example 2: Freely suspended beam with holes

    The frequency response functions were measured and the frequency response function method and the modal property method were implemented to update the finite element model. The COMACs, the MACos, the FRFSF, and the FRFAC, before and after updating, were compared and the percentage changes in these parameters are shown in Table 2.

     

     

    The results in Table 2 show that on average the FRFSF and the FRFAC were updated the most when the frequency response function method was used. The COMACs and the MACos were updated the most when the modal property method was used. From Table 2 it may also be observed that the FRFAC was on average substantially lower than 1. This is because the beam had holes and therefore it was difficult to get a good updated model.

    Example 3: Freely suspended H-shaped structure

    The frequency response functions were measured and frequency response function method and the modal property method were again implemented to update the finite element model.

    Table 3 shows that the FRFSF and the FRFAC were on average updated the most when the frequency response function method was used. The COMACs and the MACos were on average updated the most when the modal property method was used.

     

     

    The results show that sometimes the results do not show any changes in the comparison criteria. This has nothing to do with the comparison criteria, but with updating procedures.

     

    Conclusion

    The results show that the effectiveness of the frequency response function method is best evaluated by the FRFSF and the FRFAC. The results also show that the effectiveness of the modal property method is best evaluated when the COMACs and the MACos are used.

    These parameters seem to provide useful but simple and convenient single-valued criteria for application in the implementation of optimisation procedures in model updating.

     

    References

    1. Allemang RJ & Brown DL 1982. A correlation coefficient for modal vector analysis. 1st International Modal Analysis Conference, Orlando, Florida, USA, pp.110-116.

    2. Lieven NAJ & Ewins DJ 1988. Spatial correlation of mode shapes, the co-ordinate modal assurance criterion. Proceedings of the 6th International Modal Analysis Conference, Kissimmee, Florida. USA, pp.690-695.

    3. D'Ambrogio W & Zobel PB 1994. Damage detection in truss structures using a direct updating technique. Proceedings of the 19th International Seminar of Modal Analysis, Katholieke Universiteit Leuven, Belgium, 11, pp.657-667.

    4. Baruch M 1978. Optimisation procedure to correct stiffness and flexibility matrices using vibration data. AIAA Journal, 16, pp.1208-1210.         [ Links ]

    5. Balmès E 1995. Structural Dynamics Toolbox, Users Manual 2.1. Sèvres, France: Scientific Software Group.         [ Links ]

    6. Anonymous 1992. MATLAB Reference guide. The Mathworks, Natick, Massachusetts, USA.

    7. Grace A 1990. Optimization Toolbox User's Guide. The Mathworks, Natick, Massachusetts, USA.

    8. O'Callahan JC 1989. A procedure for an Improved Reduced System (IRS) model. Proceedings of the 7th International Modal Analysis Conference, Las Vegas, Nevada, USA. pp.17-21.

    9. Guyan RJ 1965. Reduction of stiffness and mass matrices. AIAA Journal, 3, pp.380.         [ Links ]

    10. Ewins DJ 1995. Modal Testing. Theory and Practice., Research Studies Press, Letchworth, England.

     

     

    Received September 1997
    Final version September 1998