Services on Demand
Journal
Article
Indicators
Related links
-
Cited by Google -
Similars in Google
Share
R&D Journal
On-line version ISSN 2309-8988Print version ISSN 0257-9669
R&D j. (Matieland, Online) vol.13 Stellenbosch, Cape Town 1997
A design method for single-finned-tube-row air-cooled steam condenser to avoid back flow of steam into any finned tube
T. ZipfelI; D.G. KrogerII
IPostgraduate student, University of Stellenbosch
IIProfessor, Department of Mechanical Engineering, University of Stellenbosch, Stellenbosch, 7600 South Africa
ABSTRACT
In an air-cooled condenser (ACC) exhaust steam from the turbine is distributed via a distribution pipe or dividing header into numerous finned tubes or laterals in which most of it is condensed. The excess steam which is condensed in a later stage (dephlegmator) and the condensate is collected in a combining header. The steam flow rate entering the finned tubes is, amongst others, a function of the difference in pressure between the dividing to the combining header over the finned tube. As the pressure in the dividing and the combining header varies, the pressure difference over the finned tubes also varies. This variation can cause the flow distribution to be significantly non-uniform. In the design of an ACC, the flow distribution into the finned tubes has to be quantified to ensure that sufficient steam flows into each finned tube in order to avoid non-condensable gases from being trapped at the finned tube outlet causing so-called dead zones. In this paper, a simplified design method is presented with which an ACC can be designed such that the formation of dead zones is avoided. This method employs the pressure changes along both headers and the pressure differences over the first upstream and the last downstream lateral. A numerical example to demonstrate the application of the method is also presented.
Introduction
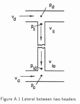
A typical single-finned-tube-row air-cooled steam condenser configuration is shown in Figure 1. From the dividing header, low pressure steam enters numerous finned tubes or laterals where condensation takes place. The bundles are configured in an A-frame with an apex angle of about 60°. Due to nearly identical condensation rates in the laterals, the mass flow rates entering the laterals should be identical, i.e. the flow should be distributed uniformly into the laterals. In an ACC system, however, a certain flow distribution must always be accounted for due to the varying flow conditions the laterals experience. If however the maldistribution is too severe, the steam flow entering a lateral from the dividing header is found to be too small to condense along the full length of the lateral and therefore steam is drawn into the lateral from the combining header. Noncondensable gases, which leak into the system, are drawn along and will remain trapped in the lower part of the lateral. This accumulation of noncondensable gases in the laterals forms so-called dead zones which are identified by low temperatures as no heat transfer takes place. The dead zones are normally observed at the positions indicated in Figure 1. Aside from reducing the thermal efficiency, corrosion can take place and in the case of extremely low air temperatures the condensate may freeze, causing the lateral to rupture.

Analysis
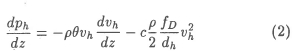
In this analysis the effect of the small volumes of condensate is ignored and the mass flow rates and velocities are those of the steam flow. Consider the elementary header control volume shown in Figure 2 and apply the continuity equation assuming continuous flow in the case of close lateral spacings:


According to Datta and Majumdar,1 the momentum equation for the dividing and the combining header in its differential form can be written as:

where θ is the overall momentum correction coefficient which is defined as

with amh the momentum correction coefficient of the header flow and ami the momentum correction coefficient of the header flow entering the lateral, both based on the local mean axial header velocity. The overall momentum coefficient is taken as constant for an entire header and differs in magnitude for the dividing header and the combining header. If equations (1) and (2) are to be used for the dividing or the combining header, the subscript h is replaced by subscripts d or c, respectively. The factor c - 1 for Vh > 0 and c = -1 for Vh < 0. Integrating equation (2) from z = 0 to z - Lh yields

where

which is the change in the static pressure due to frictional effects which can be approximated as shown in the Appendix or ignored since its contribution to the change in static pressure in the headers of air-cooled condensers is small. The static pressure difference between the dividing and the combining header is given by

The derivation of equation (6) is presented in the Appendix.
If equation (4) is written for the dividing and combining headers and if the two resulting equations are subtracted from each other, the following expression is obtained:

This expression is valid for any ACC configuration. In order to apply it, however, the steam mass flow rates entering the first (at z - 0) and the last (at z - Lh) lateral must be given in order to calculate Δp10 and ΔpiL. Furthermore, the total mass flow rate entering all the laterals of the condenser section and that entering and leaving the headers must be specified. The condensation rate in the laterals is also a requirement and an identical condensation rate, mlcon , will be assumed for all the laterals.
Via the continuity equation the relationship between the inlet and the outlet velocity of a lateral is given by:

The following definitions are to be used in equation (7):
Define the condensation ratio for a condenser with bundles consisting of single rows of laterals

with mtot the total mass flow entering the laterals of the condenser section and N the number of laterals on one side of the A-configuration.
The ratio of the dividing header cross-sectional area to that of the combining header is

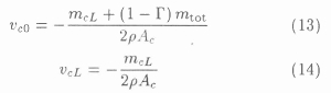
The mean header velocities at z = 0 and z = Lh in the dividing header are as follows:

where md0 is the total mass flow rate entering the dividing header of the condenser section at z = 0. For the case of the condenser being in U-configuration (opposite flow directions in dividing and combining header) the mean velocities in the combining header at z = 0 and z = Lh are calculated according to

where mcL is the mass flow rate entering the combining header at z = L. For the case of the condenser being configured in the Z-configuration (same flow direction in the dividing and the combining header) the mean velocities are given by:

where mc0 is the mass flow rate entering the combining header at z = 0.
In order to solve equation (6), the following assumption is proposed to determine the mass flow rates through the first lateral (at z = 0) and the last lateral (at z - L): the mass flow entering either the first or the last lateral will be set equal to the condensation rate which is the minimum allowable mass flow rate to avoid a dead zone at that lateral. This lateral is referred to as the critical lateral. Observations of ACCs showed that dead zones occur in the first few upstream laterals. However if the ACC is in U-configuration, the last lateral can also be critical because the pressure difference over the laterals can also decrease along the headers to give higher mass flow rates through the first few laterals. The flow through the remaining laterals is determined with the assumption that the flow distribution through the laterals is uniform. The lateral inlet velocity of the critical lateral is then determined according to

The inlet velocity of the remaining lateral is determined by

Application of the Design Method
A numerical example to demonstrate the method is shown in the Appendix. An air-cooled condenser section shown in
Figure 3 with the specifications used in the sample calculation is also used to investigate the relationship between r and σ calculated according to the design method for this condenser section. The area ratio is changed by varying the combining header flow area. Figure 4 shows the relationship between Γ and σ for the cases of the first and the last lateral being the critical one. It can be seen that there is a minimum and a maximum Γ for a specific σ. No dead zones should occur in any lateral if Γ is chosen between the minimum and the maximum.


Discussion and Conclusion
It is found that the allowable condensation ratio in an air-cooled condenser is most significantly influenced by the header area ratio. Furthermore the sample calculation shows that the effect of the header friction contributes only a small part to equation (7). Due to the increasing pressure difference over the laterals found in the Z-configuration making the assumption of a uniform flow distribution through the laterals is invalid. Thus another assumption for the flow through the last lateral must be made. For example, it is expected that the last lateral in an ACC in the Z-configuration usually has the highest flow rate of all the laterals. This mass flow rate can be determined by specifying a maximum deviation from the uniform mass flow distribution. An ACC system, incorporating a U-configuration only, is preferred since the flow distribution through the laterals can be kept nearly uniform if the condensation ratio is chosen between the minimum and the maximum determined by this design method.
Nomenclature
A Area m2
A Factor
B Factor
C Factor
c Coefficient
d Diameter m
de Hydraulic (or equivalent) diameter m
fD Darcy friction factor
h Height m
K Loss coefficient
L Length m
m Mass flow rate kg/s
N Number of laterals
p Static pressure N/m2
V Mean velocity m/s
w Width m
x Vapour quality
z Coordinate m
ae Energy correction coefficient
am Momentum correction coefficient
0 Overall header momentum correction factor
μ Dynamic viscosity Ns/m2
p Density kg/m3
Subscripts
c Combining header
con Condensation
crit Critical
d Dividing header
fr Friction
h Header
i Inlet
1 Lateral
o Outlet
tot Total
w Wall
Dimensionless groups

References
1. Datta AB & Majumdar AK. Flow distribution in parallel and reverse flow manifolds. Int. J. Heat and Fluid Flow, 2, pp. 253-262, 1980. [ Links ]
2. Groenewald W. Heat transfer and pressure change in an inclined air-cooled flattened tube during condensation of steam. M thesis, Stellenbosch University, Stellenbosch, 1993. [ Links ]
3. Zipfel T. Flow distribution in air-cooled steam condensers. M thesis, Stellenbosch University, Stellenbosch, 1996. [ Links ]
4. Idelchic IE. Flow resistance: a design guide for engineers. Hemisphere Publishing Corporation, New York, 1989.
Received June 1996
Final version May 1997
Appendix
This appendix presents the derivation of the expression for the difference in static pressure over a lateral, the condensation loss coefficient of a flattened finned tube and a numerical example to demonstrate the application of the design method.
Static pressure change over a lateral from the dividing to the combining header
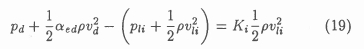
Consider a lateral between the dividing and the combining header as shown in Figure A.1. From the definition of the loss coefficient at the lateral inlet:


For flow in the lateral:

and at the lateral outlet:

The energy correction factors of the flow in the lateral at the lateral inlet and outlet are assumed to be approximately unity due to the turbulent velocity profile encountered there. Add up the three above equations to obtain an expression for the change in static pressure over a lateral from the dividing to the combining header:

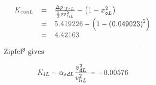
The terms in the square brackets have to be determined experimentally. Ki is the inlet loss coefficient of a lateral and K0 its outlet loss coefficient. Zipfel3 presents experimentally determined data for the term (Ki - aedvh2/vl2i).
The condensation loss coefficient of a flattened finned tube
The condensation loss coefficient accounts for the loss in total pressure of the condensing flow in a lateral and is given by:

where the outlet steam quality is determined according to

The first term on the right hand side of equation (23) quantifies the loss due to frictional effects. For a lateral having the shape of a flattened finned tube as shown in Figure A.2, Groenewald2 proposes an expression for the frictional term:


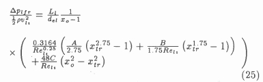
for the Reynolds number in the turbulent range at the inlet and in the laminar range (Rel < 2300) at the outlet of the flattened finned tube. For the Reynolds number in the turbulent range (Rel > 2300) at the inlet and the outlet the expression is:

In order to determine the factors A, B, and C, the wall Reynolds number due to condensation is defined as:

where del is the hydraulic diameter of the lateral and Aw the internal area of the parallel walls of the flattened finned tube. The factors A, B, and C, are given in terms of Rew by
A = 1.041 X 10-3Reω - 2.011 X 10-7Reω3 + 1.064
B = 59.3153Reω + 1.5995 x 10-2 Re3ω + 290.1479
C = 1 + 6.56 x 10-4 Reω2
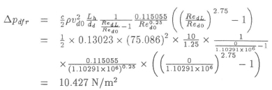
Pressure change due to frictional effects in the dividing and the combining headers
This pressure loss is approximated by the situation that the inflow and the outflow out of the lateral is at constant rate along the headers. By making use of the Blasius friction factor (fD = 0.3164/Re) and applying the continuity equation in the header, equation (5) can be integrated to yield

For Reh0 < 0, Reho and Vh0 must be exchanged with RehL and vhl, respectively.
Numerical example to demonstrate the design method
The application of the design method will be demonstrated by means of a numerical example. Consider a section of an A-frame, single-lateral-row air-cooled steam condenser in U-configuration as shown in Figure 3. The laterals consist of flattened finned tubes as shown diagrammatically in Figure A.2. The calculation will be performed with the assumption that the flow entering the first lateral is equal to the condensation rate, while the mass flow rates through the remaining laterals, including the last, is assumed to be of equal magnitude. Steam at 60°C enters the dividing header at a flow rate of 12 kg/s. The specifications of the condenser are as follows:

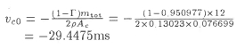
The lateral inlets are rounded with a 3 mm radius. It is required to find the condensation ratio for which no dead zone will occur in any lateral. By applying a numerical analysis for the header flow, Zipfel3 proposes 0d = 0.99 and 0c = 2.24.
The solution of the design method is determined iter-atively. The converged solution of the condensation ratio is Γ = 0.950977.
The density and the viscosity for saturated steam at 60°C are p = 0.13023 kg/m3 and μ = 1.10825 x 10"5 Ns/m2 respectively.
The lateral (flattened tube) cross-sectional area is:
Al = w x h = 0.01 x 0.190 = 0.019m2
In order to calculate the wall Reynolds number of condensing flow in a flattened finned tube the internal area of its parallel walls is determined by:

The total mass flow rate entering the laterals is:

This gives a condensation rate in a single lateral of:

The dividing and the combining headers are closed at z - L; this means that vDl - 0 and vcl - 0. The steam velocity at the dividing header inlet is:

At the end of this condenser section the dividing and combining header velocities are zero because the headers are closed at z - L. Therefore the combining header steam velocity at z = 0 can be calculated as:

The velocity is negative because of the U-configuration.
The condensation loss coefficient will be determined by equation (23). Calculate the wall Reynolds number according to equation (27):

The coefficients of equations (25) and (26) are:


Static pressure change over the first lateral (critical lateral):
The lateral inlet velocity is:

For the first lateral vio0 = 0.
From the lateral inlet velocity the lateral inlet Reynolds number can be determined:

Because of full condensation, Rel0o = 0 and x0o - 0; the quality at the transition from turbulent to laminar flow is:

is now calculated according to equation (23). The first term on the right hand side in this above equation for turbulent inflow and full condensation can be calculated from equation (25):

The dividing header inlet to lateral inlet velocity ratio is:


for a three dimensional inlet header configuration with rounded lateral inlets.
Because of a zero outlet velocity the outlet loss coefficient is not considered.
Calculate the static pressure difference over the first lateral:

Static pressure over the last lateral:
By assuming a uniform mass flow distribution through the laterals, the last lateral's inlet velocity is calculated as:

The respective lateral inlet and outlet Reynolds numbers are:

Calculate the condensation loss coefficient. Again the first term of the right hand side of equation (25) is calculated first. The outlet quality is:

and the quality at the transition from turbulent to laminar flow is:

Again equation (25) is used, as the stream leaves the lateral with ReloL < 2300.

The condensation loss coefficient is calculated according to equation (23):

for the last lateral of a dividing header with a closed downstream end.
It is assumed that the term (K0l 4- aecLV2cL/vloL2) is equal to the expansion loss coefficient of flow undergoing a sudden expansion. Because of the high aspect ratio of the laterals, the area expansion ratio from the lateral to the combining header is taken as ω/Δz = 0.1/0.4 = 0.25, for which from Idelchic:4

The static pressure difference over the last lateral is calculated as:

Header momentum equations:
The pressure loss due to frictional effects for both headers is now calculated. Firstly consider the dividing header. At z = 0 the header Reynolds number is:

The dividing header Reynolds number at z - Lh is 0 as the header is closed. Calculate the pressure change over the dividing header due to frictional losses according to equation (28).

The combining header Reynolds number at z = 0 is

At z = Lh, ReCL = 0 as the velocity is zero. Calculate the pressure change over the combining header due to frictional losses

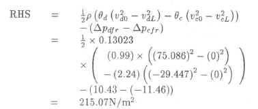
Now we can solve equation (7). The left hand side of the equation is:

and the right hand side gives:

which is equal to the left hand side. This means that the correct value of T has been chosen.
The graph of Figure 4 is generated by calculating the allowable condensation ratios for an area ratio by setting the first upstream and the last downstream lateral as the critical one.











