Services on Demand
Journal
Article
Indicators
Related links
-
Cited by Google -
Similars in Google
Share
R&D Journal
On-line version ISSN 2309-8988Print version ISSN 0257-9669
R&D j. (Matieland, Online) vol.13 Stellenbosch, Cape Town 1997
Transient resonance in a hoisting cable system with a periodic excitation
Stefan Kaczmarczyk
Senior Lecturer, Department of Mechanical Engineering, University of Natal, Durban
ABSTRACT
The non-stationary oscillations of slowly varying oscillatory distributed one-dimensional systems can be analysed using a combined perturbation and numerical technique. This approach is used to investigate a passage through resonance in a hoisting cable system. Due to the time-varying length of the cable the natural frequencies of the system vary slowly, and a transient resonance may occur when one of the frequencies coincides with the frequency of an external excitation at some critical time. The method of multiple scales is used to formulate a uniformly valid perturbation expansion for the response near the resonance. A system of first order ordinary differential equations for the slowly varying amplitude and phase of the response results. This system can be easily integrated numerically on a slow time scale. A model example is discussed, and it is shown that the amplitude of the oscillations remains large after the passage through resonance.
1 INTRODUCTION
Cable structures are widely used in various industries to transmit forces, to carry pay loads, and to conduct signals. Perhaps one of the most significant is the application of hoisting cables to a vertical and inclined transport, especially in the mining industry. Hoisting cables, due to their flexibility, are susceptible to oscillations. Therefore, the design methodology of hoisting systems requires a thorough dynamic analysis in order to predict the dynamic loads and to evaluate the response stability during various operational modes.
The typical design of a hoisting cable system comprises a winder drum, a single cable, and conveyance. Usually in the dynamic analysis a motion of the winder drum is assumed to be prescribed through a known velocity or acceleration time profile. Therefore, in this approach, the driving system is treated as an ideal source of energy, and its dynamic behaviour is not taken into consideration. Three major types of vibration may occur in the hoisting cable, namely longitudinal, transverse, and torsional. These vibrations are caused by various sources of excitation. A load due to the winding cycle acceleration/deceleration profile is the most significant in the longitudinal transient response. A mechanism applied on the winder drum surface in order to achieve a uniform coiling pattern forms the primary source of stationary periodic excitation during the constant velocity winding phase for both the longitudinal and the transverse response. The torsional response is coupled with the longitudinal response, and occurs in triangle strand rope, which is known to respond in torsion to applied axial loads. During the wind the system parameters are changing due to the time-varying length of the cable. The rate of variation of the length is, however, slow, and the oscillations represent waves in a slowly varying domain. Hence, the hoisting cable is essentially a nonstationary oscillatory system with slowly varying frequencies and mode shapes. Therefore, a passage through resonance may occur during the wind when one of the slowly varying frequencies coincides with the frequency of the periodic excitation at some critical time instant.
The study of vibration problems in hoisting cables has attracted wide attention. Savin and Goroshko1 analysed a motion of a hoisting cable using integro-differential equations taking into account a slip of the cable on the winder drum. Kotera2 considered the longitudinal dynamics of a mining lift model and proposed a method to determine analytically a free and forced vibration response via a suitable transformation of variables. Greenway3 analysed the influence of physical parameters of a mine hoisting system on the dynamic longitudinal response using an analytical approach. Mankowski4 investigated the nonlinear dynamic behaviour of mine hoisting cables taking into account both longitudinal and lateral behaviour. Various mathematical models were developed, and the system was studied through an extensive computer simulation of the forced response of the system. The results of the simulation were correlated with measurements made on industrial installations. Constancon5 extended this study by an analytical stationary analysis of the system stability, validated by a laboratory experiment. An intensive numerical simulation of a nonstationary model of the system, intended to be used as the final validation, was also performed. Kumaniecka and Niziol6 also investigated the longitudinal-transverse vibration of a hoisting cable. The cable material non-linearity was taken into account and unstable regions were identified by applying the harmonic balance method.
Perturbation techniques can be used to study slowly varying oscillatory systems. Mitropolsky7 established fundamental concepts in this field and developed an asymptotic method to analyse non-stationary oscillations in systems with slowly varying parameters. This method was further developed and modified by Agrawal and Evan-Iwanowski.8,9 Nayfeh10 proposed the generalized multiple scales method to deal with the problem. Kevorkian11,12 used the multiple scales method and averaging techniques for systems with slowly varying parameters.
The perturbation methods present a useful tool in investigation of resonances. The phenomenon of passage through resonance in a hoisting cable system, referred to as transient resonance,13 is studied in this paper. A general mathematical model describing vibrations of one-dimensional distributed systems with slowly varying length is presented. A simplified longitudinal model of the hoisting cable system is formulated in order to illustrate the techniques needed to analyse the passage through resonance during the constant velocity winding phase. The first order approximation of the system response is determined by a combined numerical and analytical technique. The generalized method of multiple scales is applied to represent uniformly valid perturbation expansion for the response near the resonance. This leads to a system of first order autonomous ordinary differential equations for the slowly varying amplitude and the phase of the response which is solved numerically. The response of the system is aperiodic which is demonstrated in a numerical example.
2 VIBRATIONS OF ONE-DIMENSIONAL DISTRIBUTED SYSTEMS WITH SLOWLY VARYING LENGTH
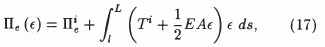
Forced small-amplitude oscillations of an elastic one-dimensional distributed structure carrying concentrated inertia elements at intermediate and end points can be described by the following equation

where u(s,t) is a deflection, with s denoting a spatial coordinate and t denoting time, dots designate partial derivatives with respect to time, L is a linear spatial operator, F is a forcing function with a harmonic term of frequency 0 - Ω and p is a mass distribution function. If the length of the system is assumed to vary slowly, the spatial domain D is time dependent and can be defined as

where l1 and l2 are prescribed functions of a slow time scale t - et, with 0 < e << 1. The parameters l1 and l2 are therefore varying slowly and the oscillations of the structure described by (1) are non-stationary.
The deflection u is subject to the following homogeneous boundary conditions

where B is a linear spatial operator. The concentrated inertia elements have been accommodated in the equation of motion (1) as applied inertial loads and the mass distribution function is given as

where m denotes mass per unit length of the base structure, Mi is the magnitude of the ith concentrated inertia element located at s - Li, and S is the Dirac delta function.
The Rayleigh-Ritz procedure can be used to analyse the response of non-stationary systems with slowly varying parameters.1 An approximate solution to the problem defined by the system (1)-(4) can be represented by the following expansion

where qn are generalized coordinates, and Yn are slowly varying normal free-oscillation modes of the corresponding stationary system with the inertia elements. They are solutions of

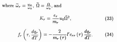
where ωn are the natural frequencies of the system, and l1 and l2 are treated as constant parameters.
By substituting the expansion (5) into (1), multiplying the result by Yr, integrating over the domain D, and using the boundary conditions (3) the following second-order ordinary differential equation set for the generalized coordinates is obtained

where the prime denotes the derivative with respect to r, and

and

In order to generate an approximate solution, the slowly varying oscillatory second-order system of N equations (7) can be transformed into a Hamiltonian standard form of 2N first-order differential equations using action-angle variables.12 Later perturbation techniques, namely the method of averaging or the method of multiple scales, can be applied to determine the solution. Alternatively, these techniques can be applied directly to the second-order model. Using the method of multiple scales a first-order system can be obtained to compute the amplitudes and the phases for the first approximation of the response. In this procedure the following form of the solution is assumed14

where Фr represents a fast scale and is defined as

By substituting the expansion (10) into (7) and equating coefficients of the same power of ε, one obtains a set of differential equations for the approximations qrj, j = 0, 1,... M. These equations are solved in succession using the solvability conditions that make the expansion (10) uniform.
When a single term is taken in the expansion (5), the result is referred to as a single-mode approximation. This single-mode model can be used to investigate resonances in the system, understood as coincidence of the slowly-varying natural frequencies ωr, with the forcing frequency Ω. This approach is applied to investigate the non-stationary oscillations of a hoisting cable.
3 DYNAMIC MODEL OF A HOISTING CABLE SYSTEM
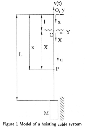
The following model of a hoisting cable system is considered (Figure 1). A mass M representing the cable load is attached to the bottom end of a tensioned cable translating axially due to the cable being coiled onto a rotating cylindrical drum. The upper end O1 of the cable is moving with a prescribed winding velocity v(t), and the mass M is constrained in a lateral direction. The section l = OO1 represents a slowly varying length of this part of the cable that is already coiled onto the winder drum. The cable is assumed to be perfectly elastic, and has a constant effective cross-sectional area A, a constant mass per unit length m, and effective Young's modulus E.

Assuming that the modulus E of the cable material is high, the strain of the cable wound around the drum can be neglected,1 and the length l is given by

where signs '+' and ' correspond to ascending and descending respectively, and l(0) is the initial length.
In order to describe the longitudinal oscillations of the cable two frames of reference are established: a coordinate system 01xy attached to and moving with the upper end of the cable, and a stationary system OXY. The position of a given point P on the cable during its motion defined in the moving frame is given as

where s denotes Lagrangian coordinate of the point measured from 01 in the initial strained state, u represents the longitudinal dynamic deflection from the initial reference state, and observed in the moving frame. An absolute position of point P is determined by Eulerian coordinate X in the non-moving frame as

and the velocity of a cable particle P is

where the signs ' - ' and '+'correspond to ascending and descending, respectively.
Assuming that dynamic deflections of section OO1 of the cable can be neglected, the kinetic energy of the system is expressed as follows

where L denotes the total cable length in the initial state, um = u{L,t), and Vm - V(L,t).
The elastic strain energy of the cable is

where ε = u,s is the strain measure, IIie is the strain energy in the initial state, and Ti is the cable tension in the initial state.
The gravitational potential energy of the cable expressed in terms of the dynamic deflections is given by

Using Hamilton's principle

the following equation for the deflection from the initial static equilibrium configuration results

In order to formulate the boundary conditions it is relevant to consider a mechanism employed to implement the coiling process. Typically a repetitive coiling pattern during a winding cycle in hoist systems is achieved via a symmetrical 180° Lebus liner.4 In this mechanism the winder drum surface is covered by parallel circular grooves with two diametrically opposed cross-over zones per drum circumference, as shown in Figure 2. Each zone offsets the grooves by half a cable diameter and when the cable passes through a cross-over an additional axial displacement relative to the nominal transport motion occurs. The magnitude of this displacement is calculated as the difference between the arc length traversed through the cross-over and the corresponding diametrical arc5


where R is the drum radius, d represents the cable diameter, and a is the angle defining the diametrical arc corresponding to the cross-over region. As the cross-over occurs twice per drum revolution, a periodic boundary excitation results that can be represented by the following boundary condition

where Ω = 2v/R. The boundary condition at s = L is the equation of motion of the end mass

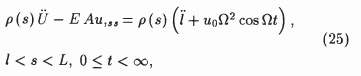
Treating the concentrated end mass M as an inertial load, and using the substitution

the following equation of motion results

with homogeneous boundary conditions

where p(s) - m + Mδ(s - L). The parameter / is time-dependent, and is assumed to vary slowly. This condition agrees well with nominal parameters of a winding cycle in most industrial hoist systems. Therefore, a separate slow time scale τcan be chosen to observe the parameter variation so that l = l (τ) as indicated earlier.
4 DISCRETE MODEL AND THE MULTIPLE SCALES PROCEDURE
The discrete model is determined from equations (25)-(27) through application of the expansion defined by (5). A single-mode approximation is assumed as

where

is a free-oscillation mode of the system with / being fixed, where γr =
, with c -
and ωr (l) is the natural frequency. The slowly varying parameter γr is determined from the transcendental equation

where Lv = L - l.
By applying the Rayleigh-Ritz procedure, and introducing a fast non-dimensional time scale

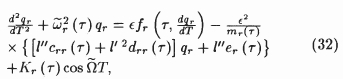
together with the slow scale τ = εT, 0 < e << 1, where ω0 = ωr (/(0)), the following equation is obtained


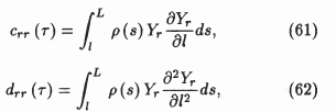
The slowly varying coefficients crr, drr, er, and mr are defined in the Appendix.
Following the expansion (10), the solution is sought in terms of the fast and slow scales in the form

where

4.1 Non-resonant case
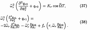
The non-resonant oscillations of the system take place when Ω is away from ωr. In this case the amplitude of the excitation is assumed to be hard, and is ordered as Kr = O (1) in the analysis to follow. By substituting (35) into (32) and equating the coefficients of ε0 and ε on both sides, one obtains

The general solution of (37) in a complex form is

where Ar is the complex conjugate of Ar which is given as

where ar and βrare real. By substituting qro into (38) one obtains

where cc denotes the complex conjugate of the preceding terms. The condition for the elimination of the secular terms in (41) is

Writing Ar in the polar form (40), separating the result into its real and imaginary parts, and noting that m!r = 2l'crr, leads to the following result

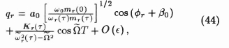
where a0 = ar(0), and β0 = βr- (0) are constants. Therefore, for the first approximation the solution of (32) is given as

where Фr = 
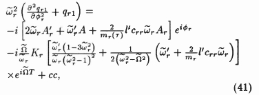
4.2 Resonance case
If a resonance occurs at any time in the system (32) the solution (44) becomes singular and is no longer valid. As in this case one is concerned with values of ωr (r) near Ω, this nearness can be quantified by a slowly varying detuning parameter ar (r) introduced as follows

Therefore, when the relationship (36) is taken into account, one gets from (45)

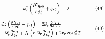
where
, unbounded oscillations would be predicted for a corresponding system with constant parameters. In the actual system the oscillations are affected by the non-stationary terms on the right hand side of equation (32). Therefore, the excitation needs to be ordered so that it will appear when the non-stationary terms appear. Thus, in order to determine the first approximation one sets

so that Kr - 0(ε). By substituting (35) into (32) and by equating the coefficients of ε0 and e on both sides, the following results

In this case the first approximation, given as the general solution of (48), is

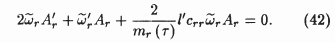
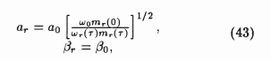
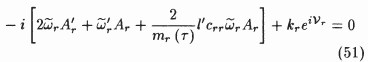
where Ar (τ) has the form of (40), and will be determined by eliminating the secular terms from the particular solution of (49). Using (50) and (46) in (49), the following solvability condition results:

By expressing Ar in the polar form, separating the result into its real and imaginary parts, and also denoting

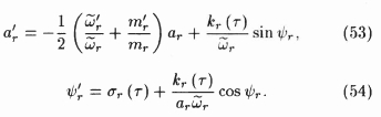
one obtains the following set

The first approximation to the resonant solution is given by

where ar and γr are given by (53) and (54).
5 NUMERICAL EXAMPLE AND RESULTS
The system evolution through resonance can be analysed through solving the set of equations (53)-(54). These are autonomous ordinary differential equations with variable coefficients to be determined numerically. The set does not easily lend itself to an analytical solution, and a numerical solution for the amplitude ar and the phase γr is sought. The following system parameters have been assumed in calculations: M - 4 500 kg, L - 500 m = 8.4 kg/m, A = 0.001028 m2, E = 1.1 x 1011 N/m2, d = 0.048 m, R = 2.14 m, a = 0.2 rad. A transition through fundamental resonance is investigated when the frequency Ω of the excitation is near the first longitudinal natural frequency w of the cable. The natural frequency is computed from the transcendental equation (30), and is plotted against the vertical length Lv in Figure 3. During the ascending constant velocity phase the length parameter I is obtained from (12) as


where vc denotes the nominal winding velocity. Assuming l(0) = 0, and introducing the slow time scale, the length parameter is given as

where τ - εT, with

The system (53)-(54) is then integrated numerically using matlab implementation of the Runge-Kutta method. The response amplitude against slow time curves for three winding velocities vc1 = 8 m/s, vc2 - 12 m/s, and vC3 - 16 m/s are presented in Figure 4, where the initial conditions are assumed as a1(0) - 0.001, and γ1(0) = 0. The corresponding non-stationary frequency-response curves are shown in Figure 5. As can be seen, during the ascending motion the detuning parameter σ decreases when making a single slow passage through zero. The amplitudes exhibit oscillatory behaviour before the resonance, and near the resonance (σ(τ)« 0) the amplitudes increase rapidly and develop beat phenomena afterwards, growing later at a slow rate.


The single-mode approximation (28) assumes the form

and the corresponding dynamic deflection u is expressed as

The time response plots of mass um - u(L,t), calculated from (60) for the winding velocities vc\, vC2, and vC3, are shown in Figure 6. The passage through resonance can be observed on the plots. As one can see, the response grows and remains large after the resonance. This phenomenon can be observed more clearly in Figure 5. For instance, for the winding velocity of 8 m/s the amplitude jumps to the value of approximately 0.033 m shortly after resonance, and later oscillates about the level of 0.03 m. The phenomenon where the amplitude of the oscillations remains large after the transition through resonance is typical for systems with slowly varying frequencies, and has also been recorded by others,13,15 for example.'

The accuracy of the first approximation (55), where ar and γr,are given by (53)-(54), can be verified by numerically integrating the original differential equation (32) derived via the Rayleigh-Ritz procedure. The solutions for q1 with the winding velocity vc = 8 m/s, obtained for the same initial conditions through a numerical integration of (32) and from the approximation (55), respectively, are superimposed in Figure 7. It can be seen that the difference between the solutions is negligible.

The primary reason for solving the problem through a perturbation method are difficulties in direct numerical integration of the original differential equations. The integration procedure is time consuming for small values of ε. For example, to solve the problem in the interval τε [0.0, 0.85] for a value of vc = 8 m/s, with a corresponding value of the small parameter ε = 0.0026, requires an integration to a time of 326.97 on the non-dimensional fast time scale T. Using the matlab c language MEX-file version of function ODE45 with a relative error tolerance of 1.0 x 10-12 it takes over 62 minutes to complete the calculations on an a Pentium 100 Personal Computer. Also, it is difficult to integrate the generalized coordinate qr directly over long times as it is a rapidly oscillating function, and the procedure may yield inaccurate results. On the other hand, the
slowly varying amplitude ar and phase γr can be obtained from (53)-(54) without difficulty. It has been found that it takes less than five minutes to integrate functions a1 and γ1 from the perturbation-generated system (53)-(54) with a satisfactory accuracy over the same time interval.
6 CONCLUSION
A hoisting cable system represents an oscillatory system with slowly varying natural frequencies and mode shapes. If a periodic excitation is present, due to a coiling mechanism applied at the winding drum for example, a passage through resonance may take place during a winding cycle. A thorough dynamic analysis is required in order to predict the stability and dynamic loads in the cable. The system is however non-stationary and classical analytical methods for the response analysis cannot be applied. Direct numerical integration of the discrete model of the system, obtained via the Rayleigh-Ritz method for example, is time consuming and may yield inaccurate results. Therefore, a combined numerical and perturbation technique is proposed to determine the first order approximation of the system response. The procedure is illustrated by application of this technique to a single-mode model of the hoisting cable. The multiple scale method is used to obtain a system of first order ordinary differential equations for the amplitude and phase of the response. These are slowly varying functions and the system can be solved numerically without difficulty. A model example is solved to investigate transient resonance in the system when the frequency of the excitation coincides with the first natural frequency at some critical time instant. The non-stationary frequency-response curves demonstrate the passage through resonance. The amplitude oscillates slowly before resonance and increases rapidly near the resonance, remaining large afterwards.
References
1. Savin GN k Goroshko OA 1971. Introduction to mechanics of one-dimensional bodies with variable length. Naukova Dumka, Kiev (in Russian).
2. Kotera T 1978. Vibrations of string with time-varying length. Bulletin of the JSME, 21, pp.14691474. [ Links ]
3. Greenway ME 1989. Dynamic loads in winding ropes - an analytical approach. Internal Report, Anglo American Corporation, Johannesburg.
4. Mankowski RR 1982. A study of non-linear vibrations occurring in mine hoisting cables. University of the Witwatersrand, Johannesburg.
5. Constancon CP 1993. The dynamics of mine hoist catenaries. PhD Dissertation, University of the Witwatersrand, Johannesburg. [ Links ]
6. Kumaniecka A & Niziol J 1994. Dynamic stability of a rope with slow variability of the parameters. Journal of Sound and Vibration, 178, pp.211-226. [ Links ]
7. Mitropolsky YA 1965. Problems of the asymptotic theory in non-stationary vibrations. Israel Program for Scientific Translations Ltd.
8. Agrawal BN & Evan-Iwanowski RM 1973. Resonances in non-stationary, non-linear, multi degree-of-freedom systems. AIAA Journal, 11, pp.907-912. [ Links ]
9. Evan-Iwanowski RM 1976. Resonance oscillations in mechanical systems. Elsevier, Amsterdam.
10. Nayfeh AH 1973. Perturbation methods. John Wiley & Sons, New York.
11. Kevorkian J 1971. Passage through resonance for a one-dimensional oscillator with slowly varying frequency. SI AM Journal of Applied Mathematics, 20, pp.364-373. [ Links ]
12. Kevorkian J 1987. Perturbation techniques for oscillatory systems with slowly varying coefficients. SIAM Review, 29, pp.391-461. [ Links ]
13. Bosley DL & Kevorkian J 1992. Adiabatic invariance and transient resonance in very slowly varying oscillatory Hamiltonian systems. SIAM Journal of Applied Mathematics, 52, pp.494-527. [ Links ]
14. Nayfeh AH & Mook DT 1979. Nonlinear oscillations, John Wiley k Sons, New York.
15. Kevorkian J 1974. Erratum: Passage through resonance for a one-dimensional oscillator with slowly varying frequency. SIAM Journal of Applied Mathematics, 26, p.686. [ Links ]
Received July 1996
Final version October 1996
APPENDIX
The slowly varying coefficients appearing in the system (32) result from the application of the Rayleigh-Ritz method. Using D (r) = {s: l (τ) < s < L}, setting n - r, and deleting index k in equation (8), the parameters crr and drr are defined by

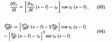
where the mode function Yr is defined by (29), and the partial derivatives of Yr with respect to lare determined as follows:

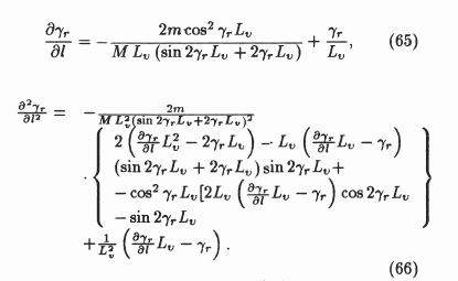
The derivatives of the eigenvalue jr with respect to lare obtained through differentiation of the frequency equation (30) which yields

The remaining coefficients in Eq. (32) are as follows












