Services on Demand
Journal
Article
Indicators
Related links
-
Cited by Google -
Similars in Google
Share
R&D Journal
On-line version ISSN 2309-8988Print version ISSN 0257-9669
R&D j. (Matieland, Online) vol.11 Stellenbosch, Cape Town 1995
Analysis of dynamic effects in a rotary kiln system used for iron production
D.J. van DykI; L. PretoriusII
IPost-graduate student. Rand Afrikaans University
IIProfessor, Department of Mechanical Engineering, Rand Afrikaans University
ABSTRACT
In this article a rotary kiln used in the iron manufacturing industry is modelled by means of two mathematical models. The macro model simulates the dynamic behaviour of the electric drive, burden and kiln. The micro model is used for a detail analysis of the drive train of the rotary kiln with emphasis on the girth gear and pinion in contact. Both models have been verified with the experimental results.
Nomenclature
Symbols
Bmviscous friction coefficient [N.s.m/rad]
Cpo equivalent damping constant [N.s.m/rad]
efdifference signal [r.p.m.]
evReference signal [r.p.m.]
Fbfbreakout force [N]
Fttangential force of burden weight [N]
Fovspring force of girth gear teeth [N]
Fpvspring force of pinion gear teeth [N]
Fpbdamping force of pinion gear teeth [N]
Fwfriction force [N]
ggravitational constant [m/s2]
iaarmature current [amp]
JeJo + Jv [kg.m2]
Jminertia of motor [kg.m2]
Joinertia of kiln [kg.m2]
Jvinertia of burden [kg.m2]
Kfeedback constant [r.p.m.s/rad]
ktorque arm of bearing [m]
keequivalent spring constant [N/m]
kospring constant of girth gear teeth[N/m]
kpispring constant of pinion gear teeth [N/m]
kpoequivalent spring constant [N.m/rad]
kpproportional constant
krjderivative constant
kIintegrational constant
kbki
kitorque constant [N.m/r.p.m.]
Ltorque arm of burden [m]
l torque arm of bearing [m]
La armature inductance [H]
mv mass of burden [kg]
ntotal reduction
P total weight of kiln [N]
R radius of kiln [m]
Ra armature resistance [ohm]
Ro pitch circle radius of girth gear [m]
Rp pitch circle radius of pinion [m]
T friction torque in bearing [N.m]
TFK torque transmitted by coupling[N.m]
Tt load [N.m]
Tm motor torque [N.m]
To torque on kiln [N.m]
Tp torque on pinion [N.m]
Wt tangential force transmitted by gears [N]
Xp linear displacement of pinion teeth [m]
xo linear displacement of girth gear teeth [m]
Greek
∆x backlash [mm]
θm angular displacement of motor [rad]
θo angular displacement of kiln [rad]
θp angular displacement of pinion [rad]
μ friction coefficient of burden
μbrg coefficient of friction of support roller bearing
μc Coulomb friction coefficient
μs static friction coefficient
ωm angular velocity of motor [rad/s] Φ angular displacement of burdenfrad]
Introduction
Rotary kilns are widely used in production of cement, iron, etc. In this paper the authors concentrate on rotary kilns used in the iron production industry. The rotary kiln is a horizontal circular tube lined with refractory material, supported by support stations and driven via a girth gear and drive train. The drive train consists of two DC electrical motors and two high reduction gearboxes.
Several models are found in the literature modelling the retention time of the burden inside the kiln [1,2] as well as models for several possible ways of heat transfer.[3,4] Only similar dynamic models of ball mill drives [5] and refinery drives [6] are found.
The maintenance of rotary kilns, especially the girth gear and drive train, is a very important aspect for the plant operations personnel, especially regarding the financial aspect and availability of spare parts. If the plant personnel understand the dynamic aspects of rotary kilns, their decision-making process will be easier.
The purpose of this study was to simulate the effect of several operating conditions on the dynamic aspects of rotary kilns. Operating conditions such as varying friction coefficient of the refractory lining, different feed rates and varying backlash between the girth gear and pinion were studied.
Mathematical model of the rotary kiln
The rotary kiln is modelled from two perspectives, respectively, namely a macro model and a micro model. A computer simulation language ACSL, Advanced Continuous Simulation Language, is used for the numerical simulation. The reasons for the two different models are (a) less computer time, and (b) for parametric studies to determine the coefficient of friction of the refractory lining.
The macro model is a model of the rotary kiln, burden and electric motor studying only macroscopic effects and thus a bigger integration step size is used in numerical simulations. The experimentally determined coefficient of friction of the refractory lining had to be verified with the macro model before it could be used in the more detailed micro model.
The study thus consists of two models where the results from the one simulation are used in the micro model numerical simulation, where short time effects are more important.
Development of the macro model
The macro model is a mathematical model of the kiln, burden inside the kiln, and the electrical motor. This model simulates the interaction of the burden inside the kiln with the kiln wall. The interaction between the pinion and the girth gear is not simulated and the gearbox is modelled as a pure torque reducer. The kiln is modelled as if driven directly by only one electrical motor. See Figure 1. The interaction between the two electric motors is thus disregarded.

During start up conditions of the kiln, the burden tends to stick to the kiln wall until the angle through which the kiln is turned is such that the angle of repose of the material is overcome. At this time the burden tumbles over and repeats the tumbling process during the rotation of the kiln. Although the burden follows a tumbling effect, it is modelled as a rigid disk similar to the shape of the burden. During the start up, two conditions prevail, namely (i) stick, and (ii) tumbling. The tumbling condition is modelled as if the burden effectively slides against the kiln wall.
The stick condition will prevail as long as the tangential force of the burden weight (Ft) is smaller than the breakout force (Fbf).

While the tangential force is smaller than the breakout force, a friction force (Fw) with the same magnitude as the tangential force but opposite in direction will keep the burden from slipping.
If the tangential force overcomes the breakout force, the friction force will be dominated by a Coulomb friction coefficient, thus permitting the burden to slip. The friction force will thus adhere to the following conditions:

From the above it is evident that two conditions will prevail. In the first stick condition, only one degree of freedom exists namely the burden, kiln and motor together. With the second condition slip, two degrees of freedom exist. The burden being one and the kiln and electrical motor being the other.
Stick condition
From Figure 1 and Euler's equations of motion [7] the differential equations are derived. The following equation of motion holds for the electrical motor:

With the stick condition only one degree of freedom prevails, thus:

From equations (4) and (10) the differential equation describing the motion of the kiln with zero slip can be derived.

Slip condition
When the burden slips along the kiln wall, two degrees of freedom prevail. From Figure 1 the equations of motion for the first degree of freedom are derived.

The above mentioned equations hold for zero friction torque in the support rollers.
To accommodate the friction torque in the support roller bearings, the rotary kiln is modelled as if it is supported by only two support roller bearings. Equation (17) describes the friction torque in the support roller bearings. [9]

From the literature Le Roux [10] found the friction coefficient (μbrg) to be 0.001
Equations (11) and (15) describing the motion of the kiln for the two different conditions including friction torque thus reduce to:

respectively.
Modelling of the electrical motor
Two DC electrical motors are used to drive the rotary kiln. For the purpose of this study the kiln is modelled as if driven by only one electrical motor. The purpose of the model is only to simulate an equivalent drive and control system and not the actual control system precisely. Figure 2 is a schematic diagram of a DC motor used to model the electrical drive of the rotary kiln.[8]

The motor speed is controlled between 100 r.p.m. and 1000 r.p.m. by controlling the armature voltage. The optimum operating speed is at 500 r.p.m.. The differential equations of the motion of the motor without a feedback control is derived from Figure 2.[8]

The equivalent controller used is a PID controller that uses the output speed of the motor to compare to the reference speed set by the kiln operator. The PID controller ensures minimum rise time with minimum over shoot in order not to induce vibrations in the modelled drive system. P, PI, and PD equivalent controllers have been modelled but the results were not satisfactory.
From Figure 2 a signal diagram is constructed for the internal control on the motor, which is modified to accommodate the equivalent external control on the motor. The result is shown in Figure 3.

From Figure 3 and Mason's gain formula,[8] the transfer function of the motor and PID controller can be derived. The control constants in the PID controller are determined from the characteristic equation of the transfer function. From the characteristic equation root loci are constructed in order to determine the constants kP, kD and kI.
With the control constants known the equations of motion are determined from Figure 3.

With the equations of motion of the kiln, burden and electrical motor known, the dynamic behaviour of the kiln can be simulated. In order to simulate the kiln and drive train, a numerical computer simulation language, ACSL is used. The differential equations are entered into ACSL in a fortran format before ACSL translates it via a fortran compiler. [9]
Numerical results from the macro model simulation
The program flow diagram for the macro model is similar to that shown for the micro model in Figure 8. Typical values for the constants used in the numerical simulations for the macro and micro models are shown in Table 1. These values are typical for rotary kilns used in the iron manufacturing industry.






During the simulation with the macro model, the effective friction coefficient between the burden and the kiln wall was not known. A parametric study was done by varying the friction coefficient and determining the motor current. The numerical results are then compared with the experimental results in order to find an effective friction coefficient. The motor current was used as a parameter for comparison purposes.
From the numerical results, Figure 4, the condition (mu3) for μc = 0.4 and μs = 0.51 was found to simulate the dynamic behaviour of the kiln the closest. From the experiment done, the burden was found to settle after 17 s at 650 ampere where it oscillates as shown in Figure 5. From the numerical simulation the burden took 15 s to settle at 620 ampere where it oscillates. The difference in the frequency of the oscillation depicted numerically and determined experimentally may be due to the following: (a) the exact mass of the burden during operation is unknown, (b) the exact condition of the kiln wall is unknown, and (c) the burden is not necessarily a rigid mass.
From Figure 5 a peak of 420 ampere can be seen at start up. The absence of this peak in Figure 4 is due to the fact that the simulation was done with only one electrical motor. The experiment was done with the second electrical motor isolated only electrically, and thus the inertia of the second motor has still to be overcome.
The oscillation can be verified with mathematical manipulation of equation (16).


For small oscillations of the burden it can be assumed that:

When equation (24) is substituted in equation (22) it follows that:

The burden behaves like a system with zero damping that oscillates about a fixed position.
Development of the micro model
The macro model was verified successfully with the experimental results and the effective friction coefficient of friction of the refractory lining determined parametrically as shown in the previous paragraph. The model was developed further to accommodate the backlash between the girth gear an pinion, stiffnesses of the gears and the non-linear elastomeric coupling between the electric motor and gearbox, with the intention of studying short time transients.
Figure 6 is a schematic diagram of the micro model which is a more detailed portrayal of the drive train of the rotary kiln.
Modelling of the gear teeth in contact
With the modelling of the girth gear and pinion in contact the backlash was also taken into account. The stiffnesses of the gear teeth, girth gear, and pinion are assumed to be the same and the stiffness of the pinion shaft is included into the stiffness of the gears.
It is also assumed that the stiffness of the gear during contact stays constant. The variation in stiffness during contact was taken into account by varying the line of contact as developed by Michalopoulos.[ll] From Figure 7 the equations of motion can be derived.
When the two gears are in contact the two springs ko, and kpi, are physically in series. The equivalent spring is described by equation (26):

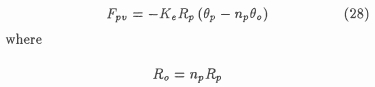
The force that is transmitted by the gears when in contact are determined by equation (27):

If the reduction ratio between the girth gear and pinion is designated by np and the backlash assumed to be zero, then it follows that:

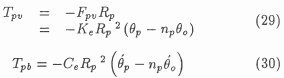
The torque that is transmitted by the pinion can be computed from equation (29) for the stiffness and equation (30) for the damping:

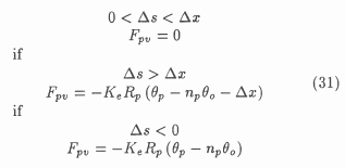
If a backlash of As does exist between the gear teeth, the force transmitted between the girth gear and pinion is transferred according to the following conditions:[11]

The same conditions can be derived for the force transmitted due to damping. The total tangential force transmitted by the girth gear and pinion can thus be computed from:

where Fpv is determined by equation (31) and Fpb an equation similar to (31).
The differential equations describing the gear pair can thus be derived. With the assumption that the burden sticks to the kiln wall during start up conditions, it follows from Figure 6 and Figure 7 that:

and

The gear pair is connected to the electrical motor via a reduction gearbox with a reduction ratio of nr and a non-linear elastomeric coupling. The non-linear effects on the torque transmitted by the coupling are induced in the micro model. Details of this are included in [9]. The reduction gearbox is modelled as a pure torque reducer.
Numerical results from the simulation
Having established the differential and other equations for the micro model, they are programmed .in ACSL in a similar procedure as for the macro model.[9] Figure 8 is a program flow diagram for the micro model.
As a first verification the movement of the burden inside the kiln was studied. With the kiln fixed the burden is simulated as a pendulum falling free through gravitation. From Figure 9 it is evident that the motion of the burden is characteristic of a body subject to Coulomb friction. With a Coulomb coefficient of friction of μc = 0.35 and a static coefficient of friction of μs =0.38, the burden took 10 s to settle down to an offset from the zero mark.

Figure 10 shows the numerical results obtained from the micro model during start up of the rotary kiln. Graph A represents the motor current while graph B represents the motor speed. From Figure 10 it is evident that the motor current peaks at 280 ampere during the acceleration of the kiln. From the experimental study (Figure 6), a peak of 450 ampere is evident. The deviation is due to the inertia of the second electric motor which has to be overcome.

It can thus be seen that the micro model adequately simulates the effects gathered from experiments.
Parametric study
The micro model can be developed further to accommodate the computation of the bending stress in the gear teeth of the girth gear as developed by Michalopoulos.[11]
With the bending stress known a parametric study was done to study the influence of several operating conditions on an industrial application. Full details of the development are shown in [9].
The following operating conditions were studied: (a) influence of a varying backlash in gears during start up, (b) forming of accretions, and (c) varying the ramp generator of the controller on the electric motor.
During the operation of a rotary kiln the backlash changes due to the centre line of the kiln changing. The centre line of the kiln changes, due to temperature differences in the circumference varying, resulting in a permanent bend in the kiln shell. The parametric study was done with a backlash varying between 0 mm and 16 mm. During normal operating conditions a backlash of approximately 8 mm is maintained. Figure 11 shows a variation in stress for a varying backlash while Figure 12 shows a typical stress curve during start up for a backlash of 10 mm. All these values were calculated by the numerical simulation of the micro model.[9]


Due to the process inside the rotary kiln and other contributing factors accretions tend to build up inside the kiln. These accretions form a ring on the kiln wall on the inside. Due to the accretions the material flow is restricted and thus the nett mass that has to be turned by the electric drive is larger. This effect was simulated by increasing the mass of the burden as well as the inertia in the micro model.
The variation of the inertia of the burden has a very small effect on the bending stress in the gear teeth during start up (Figure 13). The variation of the burden mass has a significant influence on the stress in the gear teeth. The mass was increased parametrically from 240 000 kg to 974000 kg. The stress is calculated after the transient conditions have died out and the burden has reached the optimum angle in the kiln. From Figure 14 it is evident that the mass of the burden is a critical factor in the operation of the rotary kiln. An increase in mass, of 100 %, increases the stress levels by 120%.


During start up of the rotary kiln the current in the electrical drive is ramped by a certain ramp constant. The ramp constant ensures a smooth start up and acceleration. The influence of a varying ramp constant on the drive train was also studied. From Figure 15 it is evident that an increase of a factor of 10 on the ramp constant will increase the stress level by a factor of 4. A typical ramp constant used on a rotary kiln is 74.

Conclusion
The macro and micro model have been found to simulate the dynamic behaviour of the drive train of the rotary kiln adequately. From the parametric study it is evident that the operating condition where accretions are formed on the kiln wall must be avoided. The accretions have their largest influence on the stress during steady state operating conditions. No evidence of vibrations being excited by a varying backlash during start up could be found during calculations due to the slow speed of the gears prior to engagement. This result is expected.
The mathematical model developed during this study can assist engineers, designing similar systems, as well as maintenance personnel of similar plants. The model can also be used to assist in the evaluation of a gearbox, electrical drive or coupling for rotary kiln systems.
References
[1] Chatterjee A, Sathe AV, Spirvastava MP & Mukhopadhyay PK. Flow of materials in rotary kilns used for sponge iron manufacture: Part I. Effect of some operational variables. Metallurgical Transactions, 14b, 1983, 375-381. [ Links ]
[2] Sathe AV, Chatterjee A & Mukhopadhyay PK. Flow of materials in rotary kilns used for sponge iron manufacture: Part II. Effect of kiln geometry. Metallurgical Transactions, 14b, 1983, 383-392. [ Links ]
[3] Barr PV, Brimacombe JK & Watkinson AAPHeat transfer model for the rotary kiln: Part 1. Pilot kiln trials. Metallurgical Transactions, 20b, 1989, 91-401. [ Links ]
[4] Barr PV, Brimacombe JK & Watkinson AP. Heat transfer model for the rotary kiln: Part II. Development of the cross-section model. Metallurgical Transactions, 20b, 1989, 403-419. [ Links ]
[5] Michalopoulos D, Aspragathos N & Dimarogonas AD. Analytical investigation of a turning gear mechanism during engagement due to stick-slip. Mechanism and Machine Theory, 12, 1986, 145-151. [ Links ]
[6] Mayer CB. Torsional dynamics - An important consideration in large refiner drive systems. Engineering Conference, 1985, 105-115.
[7] Wells DA. Lagrangian Dynamics. Schaum Outline series. McGraw-Hill, 1974.
[8] Kuo BC. Automatic Control Systems. Fifth Edition. Prentice Hall International Editions, 1987.
[9] Van Dyk DJ. Dinamiese aspekte van draaioonde in ystervervaardiging. MEng thesis, Rand Afrikaans University, 1993. [ Links ]
[10] Le Roux HJ. Wringkragverspreiding in roterende elektromeganiese aandryfstelsels tydens dinamiese bedryfstoestande. DEng Thesis, Rand Afrikaans University, 1990. [ Links ]
[11] Michalopoulos D, Aspragathos N & Dimarogonas AD. Fatigue damage of gear teeth in speed reducers moving heavy rotors. Transactions of ASME, 109, 1987, 196-200. [ Links ]
First received June 1994
Final version December 1994











