Services on Demand
Journal
Article
Indicators
Related links
-
Cited by Google -
Similars in Google
Share
R&D Journal
On-line version ISSN 2309-8988Print version ISSN 0257-9669
R&D j. (Matieland, Online) vol.11 Stellenbosch, Cape Town 1995
Modal testing for NDT of structures
M. SmartI; H.D. ChandlerII
IUniversity of Wales, Swansea (formerly University of the Witwatersrand)
IIReader in Mechanics of Materials, School of Mechanical Engineering, University of the Witwatersrand, P.O. Wits, 2050 South Africa
ABSTRACT
Certain physical properties of structures like stiffness determine modal parameters such as natural frequencies. Damage can cause a change in such properties and this can be used for non-destructive testing (NDT). The purpose of this research was to determine whether the changes in natural frequencies due to damage could be used to locate flaws. A numerical simulation of the effect of defects on the natural frequencies of beams was completed. Experimental modal tests were done on mild steel beams to measure how the parameters changed with damage. It was possible to locate defects but only when they were large. Small defects were not reliably detected. It was concluded that, although modal testing showed some promise, further work is required before modal testing can be routinely used as a NDT technique.
Nomenclature
DNumber of possible damage positions
f Sensitivity coefficient
[F]Sensitivity coefficient matrix
kStiffness (N/m)
δkChange in stiffness due to damage
{δk}Vector of δk
KStiffness matrix
[δK]Change in stiffness matrix
m Mass (kg)
[M]Mass matrix
Greek
ωNatural frequency (rad/s)
δωChange in natural frequency (rad/s)
λ Eigenvalue of dynamic system (rad2/s2)
δλChange in eigenvalue (rad2/s2)
{ψ}Mode shape
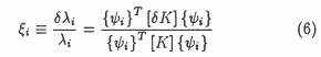
ξ Ratio of eigenvalue change to eigenvalue = δXλ/λ
{ξ} Vector of ξ
Subscripts
imode
jposition
Introduction
Failure of structures or components can have severe consequences. Should the failure cause death or injury to people the responsible parties could be faced with civil and criminal liability suits. Thus ways of anticipating failure of components are essential.
Often samples are taken from a batch of components and tested to destruction to reveal flaws. Provided that the sample is typical of the batch, direct and reliable results may be obtained. Often however, this is impractical and non-destructive testing (NDT) methods are the only alternative. There are several existing techniques for NDT of components, each having certain advantages and disadvantages. These include:[1;2]
• Visual inspection
• Radiological methods
• Ultrasound scanning
• Electrical methods
• Magnetic testing
• Thermographic methods
• Acoustic emission
All of these methods, with the exception of acoustic emission, require the component to be scanned in a piece-wise manner (in other words every part of the component must be examined). A method that is able to measure global parameters of structures and which could therefore obtain structural integrity information from a few selected measurement points would be a very attractive form of NDT. It is a well-known fact that the modal parameters of components e.g. natural frequencies, damping factors and mode shapes depend upon physical properties of the structure such as mass, stiffness and damping.[3] When a structure is damaged in some way, the resulting change in physical properties will alter the modal parameters and by measuring this alteration one can in principle identify the position and extent of the damage or defect. A familiar use of modal testing for NDT is railway wheel tapping. Depending on the pitch (i.e. the natural frequency) and the decay rate of the sound (the damping) the wheel is either passed or failed. This test, relying as it does on the skill of the operator, is obviously subjective. A more objective application of the method would be advantageous and could be used to assess the structural integrity of a wide variety of engineering components.
Adams et al. [4] were among the early researchers to use modal testing to locate defects in structures. Aluminium bars damaged with a saw cut, a bar with a fatigue crack and a motorcar crankshaft that was also damaged with a saw cut were excited with a loudspeaker and the response was measured by accelerometers. The natural frequencies were obtained from the resulting frequency response functions (FRFs). By comparing the changes in frequencies they were able to locate damage amounting to a removal of 1% of cross-sectional area. Cawley & Adams [5] extended the method using finite element analysis and a sensitivity approach. Modal testing has been used to detect fatigue-induced cracks in welds at the roots of cantilever beams,[6] fracture damage to beams,[7] loose bolts in a rib stiffener,[8] saw-cut damage to beams [9] and aluminium plates [10] and as a production quality control tool for crankshafts, iron castings, grinding wheels, refractory linings, glass-fibre tubes and concrete piles.[11]
There is, however, still controversy over the use of modal testing for NDT, despite the successful results reported in some of the literature. Srinivasan & Kot [12] performed tests on a cylindrical shell, and reported that changes in frequency, damping factor and mode shape were so small as to be unreliable for damage detection. They did not, however, attempt to use any of the changes in damage detection algorithms. Baliscrema et al. [13] performed tests on composite panels and concluded that because of wide scatter in the results, damping was an unsuitable parameter for damage location. Pandey et al [14] found that the modeshapes were insensitive to damage and suggested the use of curvature mode shapes instead. However, it is well known that in modal testing, damping factors and mode shapes cannot be identified with great accuracy, whilst frequencies can be more accurately determined. Most researchers have concentrated on frequency as being the best parameter for damage location, although the changes reported have been small.
A further shortcoming in the research to date is that it appears as though there are no experimental results which indicate the successful location of damage at more than one location in a structure. Stubbs & Osegueda [15; 161 developed algorithms which were suitable for this purpose, but only conducted tests with damage in one location. Obviously in practice, scenarios where damage occurs simultaneously at several positions are possible and it would be useful to verify whether these methods can locate such positions.
The objectives of this present research therefore were firstly to establish how natural frequencies changed with damage and to determine whether these changes could be used to locate the damage sites reliably. Secondly the algorithms would be tested to see whether damage in more than one location could be found.
Modal testing for NDT
For an undamped single degree of freedom (SDOF) system the natural frequency is given by

Changes in mass and stiffness cause a change in natural frequency δωwhere

Assuming that a defect in a structure causes a change in stiffness and that it is small enough to cause no change in mass the change in natural frequency is

For a multi degree of freedom (MDOF) system the equivalent equation for natural frequencies is:[17]

where λ1 = ω12. A small change in stiffness will cause a change in eigenvalue

The physical meaning of δK is a matrix of the same size as K, with the only non-zero (negative) elements occurring in a position corresponding to the position of damage.[5] It should be noted that eq. 5 is only approximate since second order effects have been neglected.
In order to find damage, the location algorithm developed by Stubbs [15] was used. The ratio of change in eigenvalue is

which may be expressed in summation form as

where fij is the sensitivity coefficient for mode i for damage at position j. Eq. 7 may be rewritten in matrix form as

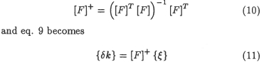
if [F]and {ξ} are known, {δk}may be calculated from

In the event of the number of measured modes and the degrees of freedom of the model differing (a very common occurrence), [F] will not be square and a unique inverse to the rank deficient equations will not exist. In this case, the pseudo-inverse matrix [F]+may be formed by

This gives a least-squares solution to the equations.[3]
The means of using eq. 11 is as follows. A finite element model of the beams is created and the eigenvalues and eigenvectors calculated. The stiffness of each element is then reduced by 10% in turn, the eigenvalues and eigenvectors recalculated and eigenvalue change ratios computed. These are used to build the sensitivity matrix [F]. The actual eigenvalue change ratios {ξ} are found by experiment and eq. 11 is then used to calculate the stiffness changes. Any positive changes of stiffness are rejected as being physically impossible (damage should not make the beam stiffer) and these changes are set to zero and the remaining results used for another iteration.
It was found that numerical stability problems sometimes arose if the number of positions was greater than the number of modes available and so the beam was initially modelled using five elements and the damaged element was identified. Thereafter, the beam was split into ten elements and the search was limited to the region of the previously damaged element. This was repeated for thirty elements and in this way the damage was found. Both Stubbs [15] and Richardson [10] found it necessary to use a searching technique similar to this one.
Experimentation
Tests were performed on three metal beams which were suspended by elastic cords to simulate a free boundary condition (the most desirable case for modal testing [3]). Damage was introduced by cutting with a saw across one of the faces of the beam, as shown in Figure 1. The variables that had to be changed were the position and magnitude of damage and in Table 1 the various parameters for the different cases of damage are listed. The table lists the dimensions of each beam and the position and depth of damage as well as the change in local moment of inertia caused by the cut. Case 6 lists two positions of damage, both measured from the same side of the beam and both to the same depth.


The beams were excited by an impact hammer with built-in force transducer and the response was measured by accelerometers. The signals were passed from the hammer and accelerometer via signal conditioners to a Genrad 2515 spectrum analyser. Although shaker excitation would have afforded more precise control, using a shaker on lightly damped structures can cause problems.[18; 19]
The frequency resolution of the test was 1 Hz, and the IDEAS package was used with the Polyreference technique to estimate the natural frequencies once the FRFs had been obtained.[20] Since the parameter estimation depends on the quality of the fitted curve rather than the frequency resolution of the test it is possible using curve-fitting techniques to estimate the natural frequencies to a higher resolution than that of the test spacing.[3;21] For the purposes of this work the frequencies were estimated to 10% of the spacing, i.e. to 0.1 Hz.[3]
Results and Discussion
A sample FRF from an undamaged beam is shown in Figure 2 as a solid line. It can be seen that the data are good, with little noise at the antiresonances and clear sharply defined peaks. This FRF is a point FRF and therefore has resonances followed by a antiresonances, as expected. [3]

The natural frequencies obtained from the FRFs are shown in Table 2, together with the theoretical bending frequencies found from a finite element model of the beam. It can be seen that the measured frequencies correspond to the bending frequencies. Figure 2 shows a small peak between 346 Hz and 594 Hz which corresponds to a theoretical bending frequency of 472 Hz. However the parameter estimation routines were not able to identify this frequency with confidence and so it was neglected for damage detection.

An FRF for a damaged beam is also shown in Figure 2 as a dotted line. It can be seen that the peaks have shifted slightly due to damage but this shift is small, especially for the lower modes. Some of the peaks of the FRFs show a change in magnitude as well as frequency due to damage. In certain cases there is a decrease in magnitude which is contrary to expectation if stiffness is decreased.[22] This change is not due to different hammer impact levels since the magnitude of the FRF does not depend on the force of impact. The most likely cause is that either the impact or accelerometer positions varied slightly from test to test.
The changes in frequencies due to damage are listed in Table 3. These results show that defects do cause a measurable change in the natural frequencies of structures. The magnitude of the changes are however seen to be very small - varying from 0.1% to 1%. The results are consistent with other researchers such as Adams et al.,[4] Cawley & Adams [5] and Stubbs [15] who all reported changes of around 1% or less. Also it may be seen that some of the lower modes have actually increased in frequency which is contrary to intuition.

In order to see whether these could be caused by boundary condition changes, a beam was arbitrarily chosen before it was damaged and tested by hanging it by the elastic cords, measuring the FRFs, removing, replacing and re testing it. This procedure was repeated four times. The means and standard deviations of the frequencies for the five tests were calculated and the standard deviations are listed in Table 3. It can be seen that for some of the lower modes the changes due to boundary conditions are comparable in magnitude to those caused by damage. Furthermore, the frequency resolution of the test was greater than some of the changes due to damage and it would appear that when small changes are being considered, one should not estimate frequencies to a resolution greater than that of the test.
The results of the damage location scheme are depicted graphically in Figures 3 to 8. These graphs show the actual change in local stiffness [δk] and the values of δk predicted from eq. 11.






The position of damage was erroneously located when the damage was moderate (cases 1 and 2) and correctly located when damage was large (cases 3 to 6). In all cases the magnitude of the damage was underpredicted although this is possibly because the width of the cut (1 mm) is less than the width of an element (43 mm) and so the loss in stiffness is distributed over the element. It should also be noted that the predicted change in stiffness was sometimes 'smeared' across several elements adjacent to the damaged one. This result was reported by Stubbs [15] and is probably a consequence of the numerical inversion routines. It should also be noted that damage which occurred at more than one location (case 6) does appear to have been successfully located.
Although defects have been successfully found in four out of six cases, by examining Table 1 it may be seen that these cases represent serious damage to the beam. It would appear therefore from these results that the resolution of the method is not great enough for reliable NDT. It may be thought that increasing the frequency resolution of the test would improve the situation but this is not necessarily the case. If very small changes in frequency were detected these might not be significant when compared to the changes due to boundary conditions and/or temperature. Moreover increasing the resolution would increase the testing time and might make modal testing compare unfavourably to other NDT techniques.
Conclusions
A sensitivity analysis of the natural frequencies of simple beam structures to local damage was performed and these results were compared to experimental data obtained from tests on metal beams that had been damaged with saw cuts. It was found that the changes in frequencies were very small and that damage could only be located when a large amount of the cross-section of the beam had been removed. Even when damage was successfully located, the magnitude of the prediction was always less than what had actually occurred. It was found also that the greatest changes occurred in the higher modes with little change taking place in the lower modes. Damage in more than one position was located, but once again with large uncertainty in the magnitude of damage predicted.
In certain cases for the lower modes, the frequencies actually increased with damage and it was surmised that this could be due to boundary condition changes or to the parameter estimation routines. A higher frequency resolution is however necessary before such changes can be properly evaluated.
Modal testing shows some promise as an NDT method but on the basis of the results from this research more experimental work is required before it can be accepted as a viable NDT technique. Specifically, suggestions for future work are that:
• Tests be perfomed with a higher frequency resolution.
• Temperature be varied to see what effect this has on damage location.
• The sensitivity to flaws of other parameters such as damping be examined to see whether they are better indicators of damage.
References
[1] Halmshaw R. Nondestructive Testing. Edward Arnold. 1987.
[2] Dieter G. Engineering Design: a Materials and Processing Approach. McGraw- Hill, Tokyo, Japan, 1983.
[3] Ewins DJ. Modal Testing: Theory and Practise. Research Studies Press, Letchworth, England, 1985.
[4] Adams RD, Cawley P, Pye CJ & Stone BJ. A vibration technique for nondestructively assessing the integrity of structures. Journal of Mechanical Engineering Science, 20(2), 93-100, 1978. [ Links ]
[5] Cawley P h Adams RD. The location of defects in structures from measurement of natural frequencies. The Journal of Strain Analysis, 1979, 14(2), 49-57. [ Links ]
[6] Chondros TG h Dimarogonas AG. Identification of cracks in welded joints of complex structures. Journal of Sound and Vibration, 1980, 60(4), 531-538. [ Links ]
[7] Ju FD &Mimovich M. Modal frequency method in diagnosis of fracture damage in structures. Proceedings of the 4th International Modal Analysis Conference, 1986, 1 168-1174. [ Links ]
[8] Wolff T & Richardson MH. Fault detection in structures from changes in their modal parameters. Proceedings of the 7th International Modal Analysis Conference, 1989, 87-94.
[9] Fox CHJ. The location of defects in structures: a comparison of the use of natural frequency and mode shape data. Proceedings of the 10th International Modal Analysis Conference, 1992, 522-528.
[10] Richardson MH & Mannan MA. Remote detection and location of structural faults using modal parameters. Proceedings of the 10th International Modal Analysis Conference, 1992, 502-507.
[11] Adams RD & Cawley P. Nondestructive Testing, vol. 8. Elsevier, London, 1985.
[12] Srinivasan MG & Kot CA. Effect of damage on the modal parameters of a cylindrical shell. Proceedngs of the 10th International Modal Analysis Conference, 1992, 529-535.
[13] Baliscrema LA, Castellani A & Peroni I. Modal tests on composite material structures: application in damage detection. Proceedings of the 3rd International Modal Analysis Conference, 1985, 708-713.
[14] Pandey AK, Biswas M & Samman MM. Damage detection from changes in curvature mode shapes. Journal of Sound and Vibration, 1991, 145(2), 321-332. [ Links ]
[15] Stubbs N. Global nondestructive damage evaluation in solids. International Journal of Experimental and Modal Analysis, 1990, 5(2), 67-97. [ Links ]
[16] Stubbs N, Broome TH & Osegueda R. Nondestructive construction error detection in large space structures. AIAA Journal, 1990, 146-152.
[17] Tse FS, Morse IE & Hinkle RT. Mechanical Vibrations, Theory and Applications. Allyn and Bacon, 1978.
[18] Rao DK. Electrodynamic interaction between a resonating structure and an exciter. Proceedings of the 5th International Modal Analysis Conference, 1987, 1142-1150.
[19] Massey DS. Structural modification usin frequency response functions - an extension of modal analysis. M thesis, University of the Witwatersrand, Johannesburg. South Africa, 1992. [ Links ]
[20] Structural Dynamics Research Corporation. IDEAS Tdas manual, 1990.
[21] Mannan MA k Richardson MH. Detection and location of structural cracks using FRF measurements. Proceedings of the 8th International Modal Analysis Conference, 1990, 652-657.
[22] Smart MG. Modal testing for location of defects in structures. M thesis. University of the Witwatersrand, Johannesburg, South Africa, 1994. [ Links ]
Received September 1994
Final version July 1995











