Services on Demand
Journal
Article
Indicators
Related links
-
Cited by Google -
Similars in Google
Share
R&D Journal
On-line version ISSN 2309-8988Print version ISSN 0257-9669
R&D j. (Matieland, Online) vol.11 Stellenbosch, Cape Town 1995
The use of an integral base flow solver to establish the stability of spatially developed pipe flows impulsively started from rest
E.A. MossI; D.F. da SilvaII
ISchool of Mechanical Engineering, University of the Witwatersrand, P.O. Wits, 2050 South Africa (Member)
IISchool of Mechanical Engineering, University of the Witwatersrand
ABSTRACT
This work investigates the stability of a spatially developed pipe flow impulsively started from rest. The laminar base flow was established using an integral method and eigenvalues of the Sexl stability equation were obtained using a finite difference approach in conjunction with the Q-Z algorithm. A strong qualitative correlation was obtained between the present data and those for a steady pipe entrance flow. Utilisation of a dimensionless shear stress parameter to plot these results in a common framework results in the inference that the velocity profiles and hence stability characteristics of the two flow systems become coincidental only towards the Hagen-Poiseuille limit. It it shown that, beyond a well-defined dimensionless time in the process, the flow becomes unconditionally stable to small disturbances. Unlike the situation for steady pipe entrance flows, measurements taken in a temporally developing flow at a spatially developed downstream station may for a period of time be isolated from the effects of upstream-generated finite amplitude disturbances. It was concluded that such flows potentially provide a means of experimentally resolving the contentious pipe flow stability problem.
Nomenclature
c Phase velocity
Dimensionless phase velocity [c/U]
pFluid pressure
ReReynolds number based on radius [UR/v]
Reδ*Reynolds number based on displacement thickness [Uδ*/v]
rRadial co-ordinate
Dimensionless radial co-ordinate [r/R]
RPipe radius
SDimensionless shear stress parameter [2τωR/(μU)]
tTime
Dimensionless time [vt/R2]
uBase flow axial velocity
ūDimensionless base flow axial velocity [u/U]
UPipe cross-sectional mean velocity
UcPipe centreline velocity
UcDimensionless pipe centreline velocity [Uc/U]
x Axial co-ordinate (distance from pipe inlet)
Dimensionless axial co-ordinate [x/(R.Re)]
yWall co-ordinate
Dimensionless wall co-ordinate [y/6]
Greek
αWave number
a Dimensionless wave number [αR]
Boundary layer thickness
δ1Dimensionless boundary layer thickness [δ/R]
δ* Displacement thickness
θAngular co-ordinate
Λ Pressure gradient parameter [(δ2/v) dU/dx)
A Wavelength
Dimensionless wavelength
μFluid dynamic viscosity
v Fluid kinematic viscosity
φDimensionless amplitude function
ψStream function
Dimensionless stream function [ψ/(UR2)]
ψf Dimensionless perturbation of stream function
Introduction and background
Steady pipe entrance flow stability is a classical unresolved problem, in that the only experimental results [1] differ markedly from predictions.[2-4] To illustrate, Figure 1 shows comparisons between computed [3] and measured [1] variations of critical Reynolds number (the smallest possible Re at which an infinitesimal disturbance will begin to grow) with dimensionless axial distance from the inlet plane. While such disparities were thought to arise from the theory neglecting the streamwise acceleration which exists in practice, recent work [4] has disputed this hypothesis, showing that non-parallel effects formally become zero at a well-defined position (about 3.7% of the entrance region) beyond which no critical Reynolds number exists, and suggesting that the finite amplitude nature of the disturbances in the experimental system was the more likely cause.

Non-parallel effects are inherently absent from starting pipe flows sufficiently far from the pipe inlet, as are the wash-down of unwanted disturbances in the experimental system. In other respects starting pipe flows conceptually resemble steady entrance flows: both are characterised by an evolution of velocity profile shape from essentially flat (commonly referred to as 'top-hat') to parabolic, the difference being that the former development occurs in time and the latter in space. Therefore, a spatially fully-developed impulsively started pipe flow is a system which provides an opportunity to explore flow stability and transition under controlled conditions, in contrast to its steady entrance flow counterpart, without streamwise effects. Although a few experimental studies have been performed on transition in unsteady pipe flows,[5-7] this system has received little analytical attention.
The purpose of this research was to obtain stability results for an impulsively started flow and to compare them with existing data for steady pipe entrance flows in a common frame of reference. The. laminar base flow data to be used were those obtained using an integral approach,[8] the rationale being that this is a simple and efficient way of providing accurate data in the limit where the boundary layer is thin, at the start of the process. To achieve equivalent accuracy using a finite difference solver would require considerable computational effort.
Analysis
Base flow model
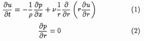
The governing equations for an impulsively started laminar pipe flow, sufficiently down-stream of the inlet plane that streamwise variations may be neglected, are

where u = pressure, t = time, r = radial co-ordinate and v = fluid kinematic viscosity.
Consideration of an impulsively started flow will reveal that instabilities are possible only well within that period of time preceding merging of the annular boundary layer at the pipe centreline. For this special case a velocity profile may be assumed of the form [8]

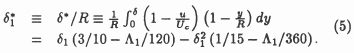
where the various parameters are defined as follows:

The equation that follows was obtained by substituting eq. (3) into eq. (1) after eliminating the pressure term and performing a transverse integration on it across the boundary layer.

Solution of (4), together with the relations that succeed it, embraces a complete description of the flow system as it evolves with time, prior to merging of the boundary layer. Of particular pertinence for the matter at hand are the velocity profiles (see Figure 2), whose stability characteristics are required, while it will prove necessary to evaluate the dimensionless displacement thickness below in order to obtain the critical Reynolds numbers based on displacement thickness.


Flow stability
The method briefly reiterated below closely follows that used in da Silva & Moss [3] for steady pipe entrance flows.
The linear stability is required of an axisymmetric, parallel, laminar base flow with velocity components
in cylindrical coordinates
, which is perturbed by an axisymmetric disturbance with the mathematically convenient form
, where
. For the temporal stability problem under consideration φis a complex amplitude function given by φr+φi and the dimensionless celerity of disturbance propagation (phase velocity) is defined, by
where
is the velocity of wave propagation in the base flow direction and
determines the degree of damping (negative) or amplification (positive). The dimensionless wavenumber
is real and related to the dimensionless wavelength by
.
Implementation of the above into the full incompressible form of the Navier Stokes equation in cylindrical coordinates and linearization leads to [9]

The subscript
refers to differentiation with respect to
.
Eq. (6) is a singular eigenvalue problem of the form
, which after finite difference discretization becomes a system of equations possessing the structure
(the complex matrices A and B are pentadiagonal and tridiagonal, respectively). The Q-Z algorithm [10] was used to obtain the complex celerity
for various values of Re and
This proceeds in four stages. In the first, which is a generalization of the Householder reduction of a single matrix to Hessenberg form, A is reduced to upper Hessenberg form and at the same time B is reduced to upper triangular form. In the second step, which is a generalization of the standard Francis implicit double shift Q-R algorithm, A is reduced to quasi-triangular form while the triangular form of B is maintained. In the third stage the quasi-triangular matrix is effectively reduced to triangular form and the eigenvalues extracted. Finally the eigenvectors are obtained from the triangular matrices and then transformed back into the original co-ordinate system. This process enables the locus
to be determined, thus defining the curve of neutral stability for any given velocity profile. The critical Reynolds number of stability is the point on the α - Re curve where the Reynolds nuinber has its smallest value. It defines that condition at which small (in the limit, zero magnitude) disturbances just begin to grow: therefore they do not affect the base flow, for which consequentially the original assumptions remain valid. The computational efficiency of the current system was improved by transforming the hydrodynamic stability equation according to
, effectively stretching the radial co-ordinate (the variable C is essentially a grading parameter) and giving a distribution of points that is dense near the wall where the flow variables change rapidly.
Results and Discussion
Figure 3 shows the variation of critical Reynolds number with time, indicating that the flow is stable to infinitesimal disturbances for the limiting cases pertaining both to small and to large times. In interpreting this pattern it should be noted that the velocity profile in the limit
is 'top-hat', while as
it is parabolic. As shown in Figure 1 the equivalent limits of x→ 0 and x→∞ for steady pipe entrance flows are also stable, consistent with the trends observed in the current situation. The stability as x,t → 0 is easily explicable by the fact that the flow is boundary-like, and δ→ 0. The stability as x,t →∞ follows from well-established predictions [11; 12] that Hagen-Poiseuille flows are unconditionally stable to infinitesimal disturbances.

The variation of Reynolds number based on displacement thickness Reδ*≡ Uδ*/v with a dimensionless shear stress parameter S ≡ 2τωR/(μU) (τω = wall shear stress; μ - fluid dynamic viscosity) is shown in Figure 4. The parameter S is characterised in the current context by the fact that S = ∞ and S = 8 correspond to 'top-hat' and parabolic velocity profiles, respectively: therefore it is a useful (though not necessarily unique) indicator of velocity profile shape. It is clear that the stability curves for the two different situations become synonymous only for the lower values of S. By inference the velocity profiles, although of a qualitatively similar nature, are sufficiently different to yield fundamentally divergent stability characteristics for the spatially and the temporally developing systems.

The dimensionless shear stress of S ~ 13.91, established in Abbot & Moss [4] for steady entrance flows as being that value of S less than which critical Reynolds numbers do not exist, appears from Figure 4 to apply equally to impulsively started flows which are spatially fully developed. In this latter context S = 13.91 corresponds to
the approximate value of the dimensionless time greater than which the flow is unconditionally stable to infinitesimal disturbances. This result is fundamentally important from the viewpoint that those disturbances which grow beyond this time must necessarily possess a form and/or magnitude which falls outside of the limitations embodied in the analysis.
It is appropriate to mention that the stability of Hagen-Poiseuille flows has been the subject of much debate over the years, for the primary reason that the mathematical prediction of stability is at variance with the fact that turbulence is usually observed far downstream in steady pipe flows. This is generally attributed to the fact that the upstream system is not stable:[1-4] thus transitional/turbulent structures, even when considerable care has been exercised to provide a smooth inlet contraction, may evolve in the developing upstream boundary layer region and be washed downstream. If the inlet contraction is not well-designed, gross disturbances are carried down from this source, with the same result.
The reasons for the poor correlation between predictions and experimental data for steady entrance flows are more subtle. If non-parallel effects are excluded as being the primary cause,[4] two of the possibilities (or combinations thereof) are as follows:
1. Even for entrance flows with infinitesimal disturbances the (analytical) sensitivity of stability patterns to the form of disturbance has not been categorically established. The literature commonly cites disturbances with an azimuthal wavenumber n of unity as being most 'dangerous' for pipe-Poiseuille flows, and applies the same tenet to pipe entrance flows. However this rather centrally important hypothesis has not yet been proven, and other azimuthal wavenumbers in the developing region might yield lower values of critical Reynolds number over a larger axial extent.
2. Sarpkaya's [1] core flow disturbance levels were at the significant level of approximately 0.7%. Even for boundary layers, very few data exist showing the combined influence of free stream turbulence and pressure gradient on stability, although some studies [13] have partially dealt with transition in this context. Moreover, the stability of a pipe flow is rapidly affected by the incidence of its axisymmetry: i.e. once the annular boundary layer has grown (in time or space) beyond a very small value its critical Reynolds number diverges increasingly from that of a boundary layer growing on a flat plate under an equivalent pressure gradient. The effect of non-infinitesimal disturbance levels in these circumstances is largely unknown.
The above issues highlight a possible advantace of experimentally investigating unsteady pipe flows. The entrance length of an impulsively started pipe flow increases with time from zero at t = 0. It follows that measurements taken at a sufficiently downstream station should be isolated from the influence of upstream disturbances which have evolved at some earlier time. Therefore, aside from the absence of non-parallel effects, a well-designed facility has the potential of providing experimental stability information for pipe flows in the absence of finite amplitude disturbances, thereby allowing the effects of disturbance form in axisymmetric flow systems to be studied in isolation.
Conclusions
1. An impulsively started pipe flow far from the inlet plane is unconditionally stable to infinitesimal disturbances, both for sufficiently small and sufficiently large times.
2. The use of a dimensionless shear stress parameter (S)shows that a steady pipe entrance flow exhibits qualitatively much the same behaviour as its temporally developing counterpart. However the two stability curves converge only at the lower values of 5.
3. Beyond
the flow is unconditionally stable to infinitesimal disturbances.
4. In the context of experimentation an impulsively started pipe flow should, within limits, provide a means of effectively isolating a measuring station, both from, non-parallel effects and from upstream-generated finite amplitude disturbances which have been convected to the measuring station. Thus it has a potential role to play in providing experimental conditions which more closely approximate those of the analysis: this might lead to an improved understanding of the fundamentally important and unresolved problem of instability and transition in pipe flows.
References
[1] Sarpkaya T. A note on the stability of developing laminar pipe flow subjected to axisymmetric and non-axisymmetric disturbances. J. Fluid Mech., 1975, 68, part 2, 345. [ Links ]
[2] Garg VK & Rouleau WT. Linear spatial stability of pipe Poiseuille flow. J. Fluid Mech., 1972, 54, part 1, 113. [ Links ]
[3] da Silva DF & Moss EA. The stability of pipe entrance flows subjected to axisymmetric disturbances. Trans. ASME, J. Fluids Eng., 1994, 116, 61. [ Links ]
[4] Abbot A &Moss EA. The existence of critical Reynolds numbers in pipe entrance flows subjected to infinitesimal axisymmetric disturbances. Physics of Fluids, 1994, 6(10), 3335. [ Links ]
[5] Maruyama T, Kato Y & Mizushina T. Transition to turbulence in starting pipe flows. J. of Chem. Eng. of Japan, 1978, 11(5), 346. [ Links ]
[6] Lefebvre PJ & White FM. Experiments on transition to turbulence in a constant acceleration pipe flow. Trans. ASME, J. of Fluids Eng., 1989, 111, 428. [ Links ]
[7] Moss EA. The identification of two distinct laminar to turbulence transition modes in pipe flows accelerated from rest. Experiments in Fluids, 1989, 7, 271. [ Links ]
[8] Moss EA. Laminar pipe flows accelerated from rest. R&D Journal, 1991, 7(1), 7. [ Links ]
[9] Sexl T. Zum stabilitatsproblem der Poiseuille-Stromung. Ann. Phys. Lpz., 1927, 83, 835. [ Links ]
[10] Moler CB & Stewart GW. An algorithm for generalized matrix eigenvalue problems. SIAM J. Num. Anal., 1973, 110(2), 241. [ Links ]
[11] Davey A & Drazin PG. The stability of Poiseuille flow in a pipe. J. Fluid Mech., 1969, 36, 209. [ Links ]
[12] Salwen H, Cotton FW & Grosch CE. Linear stability of Poiseuille flow in a circular pipe. J. Fluid Mech., 1980, 98, 273. [ Links ]
[13] Mayle RE. The role of laminar-turbulent transition in gas turbine engines. Trans. ASME, J. of Turbomachinery, 1991, 113, 509. [ Links ]
Received April 1995
Final version August 1995











Dimensionless phase velocity [c/U]
Dimensionless radial co-ordinate [r/R]
Dimensionless time [vt/R2]
Dimensionless axial co-ordinate [x/(R.Re)]
Dimensionless wall co-ordinate [y/6]
Boundary layer thickness
Dimensionless wavelength 
Dimensionless stream function [ψ/(UR2)]
the flow is unconditionally stable to infinitesimal disturbances.