SciELO - Scientific Electronic Library Online

 
vol.11Boiling viscous liquids in natural circulation vacuum evaporatorsReduction of Aerodynamic Resistance of Heavy Vehicles and Effect on Fuel Economy author indexsubject indexarticles search
Home Pagealphabetic serial listing  

Services on Demand

Journal

Article

Indicators

    Related links

    • On index processCited by Google
    • On index processSimilars in Google

    Share


    R&D Journal

    On-line version ISSN 2309-8988Print version ISSN 0257-9669

    R&D j. (Matieland, Online) vol.11  Stellenbosch, Cape Town  1995

     

    Modal testing with natural excitation using a time series approach

     

     

    P.S. Heyns

    Professor, Department of Mechanical and Aeronautical Engineering, University of Pretoria, Pretoria, 0002 Republic of South Africa (Member)

     

     


    ABSTRACT

    Conventional modal testing requires artificial excitation of the test structure under well-controlled conditions. This requirement has severely restricted the use of modal testing for troubleshooting on large industrial structures. With this work a technique for the identification of the modal parameters of naturally excited structures, requiring no artificial excitation or measurement of the input forces, is succinctly presented. The technique utilizes time series analysis of the measured response data only, assuming perturbation of the structure through initial displacement, impulse or random excitation. The viability of the technique is then investigated through a numerical example designed to illustrate several important features of modal testing in industrial applications.


     

     

    Nomenclature

    a vector of normally independent discrete-time response samples

    A continuous-time state matrix

    Adiscrete-time input matrix

    B continuous-time input matrix

    c damping matrix with elements c

    f excitation vector

    i

    I identity matrix

    kstiffness matrix with elements k

    L discrete-time eigenvector matrix

    m mass matrix with elements m

    M continuous-time eigenvector matrix (modal matrix)

    nautoregressive model order

    N number of discrete response samples

    pnumber of variables

    sdummy variable

    ttime

    X continuous-time coordinate vector

    X discrete-time coordinate vector with elements X

    zcontinuous-time state space vector

    Z discrete-time state space vector

    δdiscrete sampling interval

    ζ damping ratio

    λ discrete-time diagonal eigenvalue matrix with elements λ

    μ continuous-time diagonal eigenvalue matrix with elements μσ real part of continuous-time eigenvalue

    τdiscrete time index

    φ autoregressive coefficient matrix

    Φ discrete-time state matrix

    ωnatural angular frequency

     

    Subscripts

    ddamped

    iindex, i = 1,..., n

    jindex, j = 1,,..., p

    kindex

    r mode number

    τdiscrete time index

     

    Superscripts

    T transpose

    - complex conjugate

     

    Introduction

    Modal testing entails the identification of the modal parameters of a structure through a test in which the structure is vibrated with a known excitation, usually out of its normal operating environment.[1] The modal parameters, which normally include the natural frequencies, damping factors and mode shapes, may then be used for troubleshooting, structural modification, the verification or updating of numerical models or even structural monitoring. The technique has established itself as commercially viable in several industries. Most notable are the aerospace and automotive industries.

    However, the same degree of success has not been achieved in industries like the petrochemical or mining industries. This is largely due to the necessity of known excitation.

    Artificial excitation of the structure by means of shaking or impact is usually not appropriate for the large structures typical of these industries. The huge amounts of energy required to induce measureable structural vibration are not only difficult to provide but may well cause local damage. Even the measurement of these excitation forces are problematic.

    Fortunately many such structures are measurably excited through ambient conditions like wind or through the normal operation of the system of which the structure forms part. The turbulent process reactions of petrochemical reactors which cause random pressure fluctuations and the operational vibration of vibratory screens are typical of such excitations. Of course no precise quantitative information will usually be available on these excitation forces.

    Several authors[2;3;4] have investigated techniques based on correlation principles and assuming unknown random excitation for the identification of modal parameters based on measured response only. These techniques generally apply to lightly damped structures with well-separated natural frequencies. Long response time histories are required for reasonable parameter estimates.

    In a different approach based on incorporating the concepts of time series modelling into that of linear system theory, Pandit [5;6] presents a technique which holds significant benefits compared to the Fourier transform based techniques. These include the fact that no record averaging or windowing of data are required, and the fact that the spectral resolution is dependent on the model order, not on the data record length. The disadvantage of this approach is the increased computational burden. This may however be more than offset by the reduced level of competence and user interaction required by the analyst, compared to Fourier transform based techniques.

    With this work the applicability of such a time series approach to modal testing of large structures, excited by natural means, is investigated. A four degrees of freedom system with system parameters selected to yield dynamic behaviour representative of large industrial applications is considered. The effects of different excitation conditions on the system response are investigated through numerical simulation. These simulated responses are then used for modal parameter identification without using the input forces.

    It is demonstrated that the time series approach renders acceptable results for unknown natural excitation. This is accomplished with significant reductions in experimental complexity and testing time (and hence also cost) compared to the traditional modal testing approach.

    To enhance understanding of the technique a brief overview of the procedure followed in this work is first given. In essence continuous-time as well as discrete-time models of the structural behaviour are formulated in state space format. By enforcing agreement of the responses at the sampling moments a relationship between the measured response and the modal parameters of the system may then be found.

     

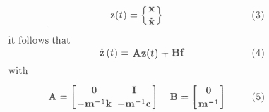
    Continuous-time state space model

    The equations of motion for a linear multivariate system may be expressed as

    in terms of the system mass matrix m, the stiffness matrix k and the damping matrix c. x(t) is the system response for a given excitation f(t).

    Defining a state vector

    Assuming the state matrix A to be diagonalizable so that A = MμM-1, the solution can be written as [6]

    with M the so-called modal matrix with the linearly independent eigenvectors as its columns and μa diagonal matrix with the eigenvalues of A as its diagonal elements.

    For underdamped systems, as usually the case for industrial structures, the natural frequency ωr and damping ratio ζr can be found from a complex conjugate pair of eigenvalues, say

     

    Discrete-time state space model

    Considering an n-th order p-varíate Auto Regressive Vector model ARV(n, p)it follows that the discrete response data may be modelled by the matrix difference equation

    where Xr = [Xτ1Xτ2... Xτp]T, φi, is a p × p matrix of autoregressive coefficients and τ = t/δwhere δis the discrete sampling interval with τ = 0, 1,2,..., N - 1, and N is the number of discrete response samples of each variable. aτis a vector of normally independently distributed residuals which cannot be explained with the assumed ARV(n,p) model and are a measure of the discrepancies between the model and the data.

    Defining a discrete-time state vector

    in which it is assumed that Φ may, similar to A, be diagonalized as Φ= LλL-1.

     

    Relation between continuous-time and discrete-time models

    Comparison of equations (6) and (14) reveal that continuous-time and discrete-time state space models lead to very similar equations. In both these equations the first terms on the right correspond to the homogeneous and the second terms to the particular solutions, respectively. If the system is perturbed by imposing non-zero initial conditions the total response may be described by the homogeneous term, and by forcing the continuous-time response at t to correspond to the discrete time response at the sampling moments r, the eigenvalues of the continuous-time and discrete-time models become related by [5;6]

    By recognizing that the response to an impulsive force may also be described by a homogeneous solution with the appropriate initial conditions and that the response to random excitation may be viewed as a series of successive impulse responses, it may be shown that equation (15) is equally valid for impulse as well as random excitation. [5;6]

    Using equation (15) in conjunction with equation (7) and the definition of the logarithm of a complex number, it may be shown that

    The natural frequencies and modal damping factors are then found from σr and ωdr

     

    ARV(n,p) model parameter estimation

    The autoregressive parameters φi- of equation (9) may be determined by the successive application of the simple least squares solution of

     

    Application of the method

    The method as applied here entails the estimation of a suitable Φ matrix through least squares for different model orders. The eigenvalues of Φ are determined and using equation (17) the natural frequencies and modal damping factors may then be determined. The mode shapes are determined directly from the appropriate columns of L. The model order is determined based on the consistency of the parameter estimates.

    Implementation of the above computational procedure was done in matlab 4.0, a numerical computation and visualization software package. [7]

     

    Numerical example

    To investigate the feasibility of modal analysis with natural excitation using the time series approach, the simple four degrees of freedom system depicted in Figure 1 was considered. The system matrices can easily be shown to be

     

     

    Using the system characteristics of Table 1, and solving for the eigenvalues and eigenvectors of the state matrix A, the modal parameters of the system are shown in Table 2. Two important features of the system under consideration are clear from this table. Firstly, the modes are complex. This is clear from the phase angles which differ significantly from the 0° and 180° found for real modes. This was done intentionally to simulate the effects of non-proportional damping which is typical of most industrial structures. Secondly, modes 3 and 4 are very closely spaced to resemble a phenomenon which is often observed on almost symmetrical structures. This was done to investigate the ability of the analysis method to distinguish between these modes.

     

     

     

     

    A series of numerical investigations were then performed to study the effects of different excitation conditions on the performance of the analysis method. For this purpose an automatic step-size Runge-Kutta-Fehlberg fourth and fifth order pair was used to integrate the equations of motion.[7;8] The computed response was then interpolated to find discrete response functions at a 1 000 equally spaced instants over a 25 s response period. This corresponds to a sampling frequency of 40 Hz (an order of magnitude higher than the highest frequency of interest).

    In the first investigation the system was perturbed by specifying initial displacements of 10 mm, 5 mm, 0 mm and 10 mm on masses 1 to 4, respectively. A modal analysis was then performed and based on the response data only and assuming an ARV(10,4) model, the system modal parameters were estimated as shown in Table 3. Very good correlation with the direct solution of the eigenproblem (Table 2) was found on all four modes.

     

     

    Equally good correlation was found in the second investigation in which the system modal parameters were found based on simultaneous impulse excitations 10 N, 5 N, 0 N and 10 N on masses 1 to 4, respectively (see Table 4).

     

     

    A much more demanding test is the modal parameter estimation based on random response measurements. Separate random force sequences were generated and applied to the system, limiting the maximum peak-to-peak force on masses 1 and 4 to 10 N and 5 N on mass 2. Again no force was applied on mass 3. Parameter estimates based on the corresponding responses, are shown in Table 5. Even though not as accurate as the previous estimates, they are generally still in good agreement with Table 2. The damping factor estimates on modes 3 and 4 are, however, poor. To facilitate the comparison of mode shapes the mode shape information is graphically depicted in Figure 2. Once again estimates of the closely spaced mode shapes 3 and 4 are fairly poor compared to the well-separated modes 1 and 2.

     

     

     

     

    Because random excitation of industrial structures will never be ideally white, uncorrelated white noise signals were generated and then contaminated by bandlimited white noise signals superimposed on the original signals. For this investigation a band of 3,1 to 3,7 Hz was considered. A typical example of such a contaminated signal is shown in Figure 3.

     

     

    From Table 6 it follows that, while it is still possible to obtain quite reasonable estimates of the natural frequencies and mode shapes, all the damping estimates are now unreliable.

     

     

    Subsequently a series of tests was performed to investigate the use of the proposed time series method with a simple two-channel analyser. Excitation levels similar to those used in the previous test, and similarly contaminated by bandlimited random noise, were used in three separate simulation runs (a different random sequence was used for each run). Using the response of mass 1 as a mutual reference and recording the responses of masses 2, 3, and 4, respectively, as the second measurement in the three consecutive simulation runs, another modal analysis was performed (see Table 7).

     

     

    Several interesting phenomena could be observed during this test. Firstly, it was necessary to use an ARV(40,4) model for these two-channel tests, compared to the ARV(10,4) model used for the four-channel analyses.

    Secondly, because of the closeness of modes 3 and 4, it was not possible to determine which mode shape elements correspond to a particular mode. As was previously the case, mode 2 was identified quite well with an inaccurate estimate of the damping.

    It is interesting to note that the frequency and mode shape estimates for mode 1, although still reasonable, are not quite as good as expected. This can be attributed to the fact that the participation of mass 1 in mode 1 is small (see Table 2).

     

    Conclusions

    Based on the simulation results presented there is good reason to believe that a time series approach with natural excitation could well provide a viable procedure for performing modal analysis and vibration problem solving on large industrial structures. The method performs very well in cases where the system is initially perturbed or excited through impact. Performance for random excitation, even with noise-contaminated signals, is still quite good. A notable exception is the damping estimates which will have to be investigated further.

    The method is capable of identifying complex modes and can separate repeated modes in suitably designed multi-channel tests. In principle it can also be applied for repeated application of two-channel measurements. However, this must be done with some care. In this case it is no longer possible to distinguish between closely spaced modes. Significantly higher model orders are required in this application.

    Generally the computational times are only a few minutes and are quite acceptable for practical application. Since no averaging is required, testing times may be very significantly reduced.

     

    References

    [1] Ewins DJ. Modal testing: Theory and practice. Research Studies Press, Letchworth, 1986.

    [2] Luz E & Wallaschek J. Experimental modal analysis using ambient vibration. The International Journal of Analytical and Experimental Modal Analysis, 1992, 7, pp.29-39.         [ Links ]

    [3] Bao ZW & Ko JM. Determination of modal parameters of tall buildings with ambient vibration measurements. The International Journal of Analytical and Experimental Modal Analysis, 1991, 6, pp.57-68.         [ Links ]

    [4] James GH, Carne TG, Lauffer JP & Nord AR. Modal testing using natural excitation. Proceedings of the 10th International Modal Analysis Conference, San Diego, 1992, pp.1209-1216.

    [5] Pandit SM & Wu SM. Time series and system analysis with applications. Wiley, 1983.

    [6] Pandit SM. Modal and spectrum analysis: Data dependent systems in state space. Wiley: New York, 1991.

    [7] The Mathworks, matlab Reference guide. 1992.

    [8] Press WH, Teukolsky SA, Vetterling WT & Flannery BP. Numerical recipes in fortran. The art of scientific computing. Second edition. Cambridge University Press, 1992.

     

     

    Received October 1994
    Final version May 1995