SciELO - Scientific Electronic Library Online

 
vol.10Reduction of Aerodynamic Resistance of Heavy Vehicles and Effect on Fuel Economy author indexsubject indexarticles search
Home Pagealphabetic serial listing  

Services on Demand

Journal

Article

Indicators

    Related links

    • On index processCited by Google
    • On index processSimilars in Google

    Share


    R&D Journal

    On-line version ISSN 2309-8988Print version ISSN 0257-9669

    R&D j. (Matieland, Online) vol.10  Stellenbosch, Cape Town  1994

     

    Experimental evaluation of the aerodynamic inlet losses in cooling towers

     

     

    J.E. TerblancheI; D.G. KrögerII

    IGraduate student, Department of Mechanical Engineering, University of Stellenbosch, Stellenbosch, 7600 Republic of South Africa
    IIProfessor, Department of Mechanical Engineering, University of Stellenbosch (Member)

     

     


    ABSTRACT

    The aerodynamic losses experienced at the inlets of cylindrical and rectangular cooling towers are investigated experimentally for different heat exchanger or fill characteristics. The separation of the air flow along the inlet edge of the cooling tower is not only the cause of these losses but it also distorts the velocity profile through the heat exchanger or fill and thereby reduces the effective heat or mass transfer of the cooling system. Empirical equations for evaluating the inlet losses are presented and an indication is given of the extent to which the velocity distribution is distorted. It is shown that in certain cases the loss can be significantly reduced by rounding off the inlet to the tower.


     

     

    Nomenclature

    A Area, m2

    d Diameter, m

    H Height, m

    K Loss coefficient

    p Pressure, N/m2

    r Radius, m

    V Velocity, m/s

    W Width, m

    αe Kinetic energy coefficient

    ρDensity, kg/m3

     

    Subscripts

    a Ambient

    ct Cooling tower

    e Energy

    he Heat exchanger

    i Inlet

    vc Vena contracta

     

    Introduction

    Losses occur at the inlets of cooling towers in a similar manner to most duct inlets where flow losses occur due to separation or other disturbances. If flow through such a tower could be maintained in the absence of any flow resistance due to heat exchangers or fill in the inlet to the tower, flow separation will occur at the lintel or lower edge of the shell, forming a vena contracta with a corresponding distorted velocity distribution as shown schematically in Figure 1, (a). A significant pressure difference will exist between a point inside the tower at the lower edge of the shell and the stagnant ambient conditions far from the tower. When a fill or heat exchanger is installed horizontally in the tower, the velocity distribution tends to become more uniform as shown in Figure 1, (b) and a corresponding reduction in tower loss is observed.

     

     

    A number of experimental studies have been conducted to determine tower inlet flow losses.[1; 2; 3] In these studies relatively little attention was given to the influence of the distorted velocity distribution in the definition and evaluation of the loss coefficient. This study specifically addresses this aspect of the inlet flow pattern and gives a more general definition for the loss coefficient.

     

    Experiment and results

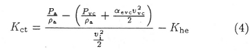
    When stagnant ambient air far from the cooling tower is drawn into the tower, flow losses occur due to separated flow at the inlet of the tower and through the fill or heat exchanger (if losses due to the tower supports are neglected). These losses can be expressed in terms of a cooling tower inlet loss coefficient Kct and the fill or heat exchanger loss coefficient Khe i.e.

    In this equation Pa and ρa are the pressure and the density of the stagnant ambient air far from the tower, respectively. Furthermore, PVc and ρvc refer to conditions at the the cross-section of the vena contracta. The mean velocities of the vena contracta and through the heat exchanger and cooling tower inlet cross-section are, respectively, vVC),vhe and vi

    The diameter of the vena contracta dVC,as shown in Figure 1 (b), is defined in such a way that continuity is satisfied. The kinetic energy coefficient corresponding to this definition of the vena contracta is defined as

    Although the loss coefficient Kctcould have been defined in terms of conditions over the entire tower cross-section corresponding to the vena contracta, the present definition is convenient since the diameter of the vena contracta is of significance in partly determining the shape of a cooling tower, i.e. the throat diameter of the tower should not exceed the diameter of the vena contracta such that the flow can re-attach to the inside surface of the tower shell.

    To determine Kct, experiments were conducted in the same tower sector model used by Geldenhuys & Kröger [2] in which it was possible to attain Reynolds numbers based on the inlet diameter of the model, di of up to 1.8 × 106. A schematic drawing of the sector model with the heat exchanger bundle arranged horizontally in the inlet cross-section of the tower is shown in Figure 2. The position of the vena contracta was obtained by observing the direction of woollen tufts located downstream of the heat exchanger.

     

     

    For this isothermal model equation (1) can be simplified to give

    The static pressure Pvc was measured in the plank wall corresponding to the tower shell. The value of Khe is determined during normal flow experiments.

     

    Cylindrical cooling tower with horizontal arrangement of heat exchangers

    To find the tower inlet loss coefficient according to equation (4), tests were conducted in the sector model shown in Figure 2. Heat exchangers having different flow resistances (various Khevalues) were studied and the base plate representing ground level was located in different positions to evaluate the influence that different values of the ratio of have on Kct.

    It is found that the average value of αevc 1.175 does not change significantly for the range of variables tested. For high values of Khe, αevcapproaches unity.

    The following empirical equation for the loss coefficient is recommended

    This equation is compared graphically in Figure 3 with the measurements of previous studies.[2; 3] Due to the relatively small distortion in velocity distribution it is found that the agreement is good.

     

     

    By rounding off the inlet of the tower, as investigated by Du Preez & Kröger,[3] it was found that there was a measurable reduction in inlet flow losses. The velocity distribution in the tower cross-section corresponding to the vena contracta becomes more uniform with increasing inlet radius. The corresponding inlet loss coefficient is shown in Figure 4 for a heat exchanger loss coefficient of Khe =6.6. It should be noted that the reduction in Kctis most pronounced for large values of as found in wet-cooling towers.

     

     

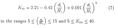
    For the design of cooling towers having a ratio of > 0.01 the following empirical equation for the inlet coefficient is recommended

     

    Cylindrical tower with vertical arrangement of heat exchangers

    The sector model used for this configuration is shown in Figure 5. With this arrangement the axial velocity profile at the cross-section corresponding to the vena contracta is found to be highly distorted. The measured effective diameter of the vena contracta is shown in Figure 6. The throat diameter of the cooling tower should always be smaller than the diameter of the vena contracta to avoid excessive losses in the tower. The kinetic energy coefficient for the vena contracta only does not deviate much from αevc = 1-15.

     

     

     

     

    The loss coefficient for this configuration can be approximated by the following empirical relation

     

    As shown in Figure 7 this equation gives values of Kctthat are considerably lower than those of other studies.[1; 3] The reason for this discrepancy is that the velocity distribution over the entire cross-section of the cooling tower is highly distorted. It is also found that no significant reduction in loss coefficient is achieved by rounding off the inlet in this particular configuration.

     

     

    Rectangular tower with horizontal arrangement of heat exchangers

    Inlet losses similar to those experienced in circular natural draught cooling towers are also found in rectangular mechanical induced draught units. A schematic drawing of the sector model representing this configuration with a horizontal heat exchanger is shown in Figure 8.

     

     

    As in the case of a horizontal heat exchanger arrangement in a circular cooling tower, the velocity distribution is relatively uniform and a kinetic energy coefficient of close to unity is applicable.

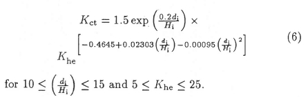
    The recommended inlet loss coefficient is

     

     

    in the ranges

    As shown in Figure 9 the loss coefficient can be reduced by rounding off the inlet to the heat exchanger.

     

    Conclusions

    In general the velocity distribution at a cross-section in a cooling tower is not uniform and this should be taken into consideration when determining the tower inlet loss coefficient. This is particularly so in the case where the heat exchangers are arranged vertically around the periphery of the cooling tower.

    When the heat exchanger or fill is located horizontally in the inlet section of the tower, inlet losses can be reduced by rounding off the inlet to the tower. This is of particular relevance in the case of wet-cooling towers, where the ratio is usually relatively large.

     

    Acknowledgement

    The financial support received from the Water Research Commission is much appreciated.

     

    References

    [1] Buxmann J &¿ Völler G. Die Bedeutung des Eintrittsdruckverlustes beim Naturzug-Trockenkühlturm. Brennst-Wärme-Kraft, No. 7/8, 1981, 33, 313-316.         [ Links ]

    [2] Geldenhuys JD & Kröger DG. Aerodynamic inlet losses in natural draft cooling towers. Proc. 5th LAHR Cooling Tower Workshop, Monterey, 1986.

    [3] Du Preez AF &¿ KrÖger DG. Experimental evaluation of aerodynamic inlet losses in natural draft dry cooling towers. Proc. 6th IAHR Cooling Tower Workshop, Pisa, 1988.

     

     

    First received March 1994
    Final version May 1994