SciELO - Scientific Electronic Library Online

 
vol.10Waste Heat Recovery in SI Engines by the Dissociation of Methanol FuelLeak tightness and a proposed method for inhibiting water penetration of semi-tight containers author indexsubject indexarticles search
Home Pagealphabetic serial listing  

Services on Demand

Journal

Article

Indicators

    Related links

    • On index processCited by Google
    • On index processSimilars in Google

    Share


    R&D Journal

    On-line version ISSN 2309-8988Print version ISSN 0257-9669

    R&D j. (Matieland, Online) vol.10  Stellenbosch, Cape Town  1994

     

    Orthotropic failure criterion for timber

     

     

    D.F. HaasbroekI; L. PretoriusII

    IM Eng, Rand Afrikaans University, Johannesburg, Republic of South Africa
    IIProfessor, Systems Laboratory, Rand Afrikaans University, P.O. Box 524, Auckland Park, 2006 Republic of South Africa

     

     


    ABSTRACT

    Timber is an organic, orthotropic material of which the strength is currently not fully utilised in structural designs. Most design codes treat timber as an isotropic material with special clauses to compensate for the weaker strength across the grain. Several safety factors are used to accommodate the large variations in the strength of timber. In the orthotropic approach presented here, the unidirectional properties of timber are assumed as constant. It is also assumed that the large strength variation which is observed between samples of the same group can mostly be attributed to the grain slope variation in a sample. The finite element method is employed to model grain slopes around a predetermined defect in a sample. The sample is then forced to fail at this defect, and the finite element model is then analysed at the failure load to determine which stress combination led to the failure. The results indicate that the strength of a timber section can be predicted on the basis of the observed grain directions if the unidirectional material strengths are known.


     

     

    Nomenclature

    ai fitting coefficients

    b section width

    dsection depth

    e error between predicted and real failure indices

    fb permissible bending stress

    f1strength along grain

    f2 strength across grain

    f12 strength for inplane shear

    nnumber of specimens to be fitted

    yneutral axis depth for section

    EYoung's modulus or sum of squared error term for n specimens

    FIfailure index

    I inertia of section

    Mapplied bending moment

    Wpointload at midspan

    δdeflection at midspan

    σbcalculated bending stress

    σithe three orthotropic stresses

    σfail stress at failure

    σ1 calculated stress along grain

    σ2 calculated stress across grain

    σ12calculated inplane shear stress

     

    Introduction

    The main topics presented in this work are:

    The current design method of permissible stresses for structural timber.

    Problems with the current method of grade stress determination.

    The proposal of an alternative failure criterion for timber, based on orthotropic stresses.

    The evaluation of the orthotropic failure criterion consisting of experiments, finite element stress evaluation of the failure region and a least squares fit of the results.

    Orthotropic material properties are determined by comparing predicted and actual failure indices by means of the multidimensional method of least squares.

    The shear modulus for timber is determined by means of a sensitivity study.

    Permissible stress methods

    Current timber design methods in South Africa are based on permissible stresses.[1] Thus, the real factor of safety is never determined and failure is assumed to occur when an isotropically determined stress exceeds a certain prescribed value. The design code discourages the application of tensile forces across the grain in order to compensate for the orthotropic behaviour of timber. The state of failure is not considered. This method is simple to apply but is mostly over-conservative.

    A few clauses of the South African Timber Design Code, SABS 0163-1980, will be discussed.

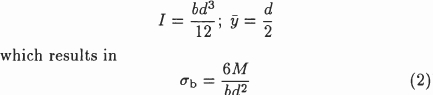
    The permissible bending stress in timber beams is given by the SABS Timber Code[l] (regulation 6.2.1) which specifies that

    Equation (1) can be simplified for a rectangular section with width b and depth d by substitution of the following:

    The permissible stress fb is determined from the grade stress of the timber. The basic grade stresses are 4, 6, 8, 10, and 12 MPa. Since the higher stress grades are mostly unavailable, most designers standardise on 4 MPa timber. The grade stress is modified by various factors to find the permissible stress. Quality of manufacture, consequences of failure, load duration, and loadsharing with other members are taken into account and normally the permissible stress exceeds the grade stress.

     

    Stress grading

    Determining the grade stress of a specimen is called stress grading. A machine is used to bend the timber being graded about the minor axis of the cross-section and measuring the resultant deflection. This deflection is then used to predict the Young's modulus in the longitudinal direction (normal to both the minor and major axes).

    The maximum deflection of a linear, homogeneous, isotropic simply supported beam loaded with a single pointload at midspan can be calculated as:[2]

    and with W, L, and I constant, E is dependent on δonly.

    If σfail is now assumed as directly proportional to the (isotropic) Young's modulus, we get

    Note that σfail is measured about the major axis and δabout the minor axis.

    The grade stress of a particular specimen is taken as the lower fifth percentile value of the predicted strength of the test batch, divided by a safety factor of 2.2.[3]

    Inadequacies of stress grading

    Apart from the relatively poor correlation [4] (0.67) between the minor axis bending deflection and major axis bending strength the following weaknesses of the system were identified:[5]

    A knot on the edge of the beam is much more detrimental to major axis bending strength than a knot on the neutral axis. In minor axis bending (stress grading) I in equation (2) is reduced by subtracting the size of the knot from b. In the case of major axis bending (the real application) an edge knot would cause I to be reduced by subtracting the size of the knot from the depth of the beam d which is raised to the power three. To compensate for this, visual grading requires that timber with edge knots be classified as of a lower strength.

    The Young's modulus in the vertical direction is not constant for all planks cut from the same log, since the tangential and radial moduli differ. In Figure 1 the modulus in the vertical direction for plank 1 is the same as the radial modulus, whilst that for plank 4 is the same as the tangential modulus.

    Warp, twist, and other distortions are not accounted for since the test jig forces the planks flat.

    Planks curved about the minor axis (due to shrinkage during drying etc.) will also give inaccurate results.

    The process is not fully automated as visual sorting is still needed to remove planks with edge knots, longitudinal cracks and excessive warp.

     

     

    At present planks with defects are removed or statistically accounted for (using the lower 5th percentile value). This means that the effect of these defects on the strength of a specimen is never calculated.

     

    Orthotropic failure criterion

    The orthotropic failure criterion, which will be presented next, is based on a simplification and combination of the Von Mises failure criteria for cellular structures and the Hill criterion for layered composite materials.[6]

    This approach is based on the assumption that the major cause for the variation in the load capacity of timber beams in bending is the grain slope variation around defects. The orihotropic material moduli of timber along and across the grain are therefore assumed as different and constant for the length of a specimen. A quadratic failure surface (Figure 2) is assumed to describe the relationship between the two dimensional stress components. Note that principal stresses cannot be used since the stresses have to be in the material directions, which again means that a shear stress has to be included in the criterion. The proposed criterion can be stated as:

     

     

     

    This can be visually represented by Figure 2.

    To evaluate this failure criterion it is necessary to

    find samples of which the grain slopes can be determined in the failure region and then to determine the failure loads as shown in Figure 3

     

     

    find representative values for the orthotropic material properties (moduli, Poisson's ratios and strengths) of the samples

    find a system to determine the critical material stresses at the failure loads (finite element analysis)

    determine the correlation between the predicted and the real failure loads

     

    Experimental evaluation

    Since timber is an orthotropic material, the stress calculated in equation (2) is more probably an indication of the maximum bending moment that the beam can take than the actual highest stress state in the material at that time. The orthotropic stresses are calculated taking the grain slopes into account and using the value calculated with equation (2) as the load.

    Each timber sample analysed was tested to failure in a jig (shown in Figure 3).

     

     

    The grain slopes in the failure area were also recorded to facilitate the computation of the orthotropic failure stresses.

     

    Finite element model

    The finite element method was selected to compute the orthotropic stresses in the sample at the point of failure because of its ease of use and reliability.

    In the finite element method a body is discretised such that the stiffness of the body is represented by a finite number of stiffnesses placed at certain points (nodes). If the displacement of the nodes is known, the displacement of any arbitrary point inside the body can be calculated with displacement functions. A group of nodes are linked by displacement functions to form a finite element.

    This method reduces the number of displacements to be calculated (for each point in the body) to a finite number (only at the specified nodes). The applied loads are also discretised and placed on nodes. A set of equations relating the applied loads to stiffness and deflection is assembled and solved after the application of boundary conditions. The computed deflections are used to determine deformations. [7; 8] The stresses are then determined from these deformations. A higher number of nodes for the same body will generally yield results of higher accuracy.

    A commercial finite element analysis package [9] was used to calculate the orthotropic stresses at the point of failure.

    From Figure 3 it can be seen that a constant bending moment is applied across the probable point of failure. If we assume that plane sections remain plane during bending at points far enough away from the defect being investigated, only a small part of the actual beam needs to be modelled.

    In the finite element model (Figure 4) no effort was made to refine the model at the defect, as the knots of the various samples can be of any size and at any vertical position in the beam. A prerequisite for the model was that the knot be modelled as close to the vertical centre-line of the mesh as possible. A rather coarse mesh of 21.2 mm by 20 mm of 50 elements and 66 nodes was used as shown in Figure 4. Even though a finer mesh should give better results, the effective response time would then be too long. A linear 4 noded plane stress element with orthotropic features was used.

     

     

    Method of least squares to determine material constants

    Orthotropic material moduli were needed as input for the finite element analysis. Experiments to determine these moduli gave only partial results (Tables 2, 3, and 4).

     

     

     

     

     

     

    Published values for the ratios of the other moduli to the longitudinal modulus were used to approximate the missing values in the rightmost column of Table 5.[10; 11] More accurate values for the orthotropic material properties of the sample are later determined by an iterative multidimensional application of the method of least squares. [12]

     

     

    The basic finite element input files for all 12 timber specimens tested were identical except for the 50 grain slopes and the applied end-moment of each sample, which were unique, to model the knot and failure load, respectively.[11]

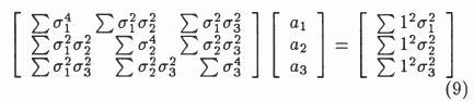
    As the stresses in the output file were in the global XY-directions, they had to be rotated to the local grain slope direction of each element. The results are now called orthotropic stresses and are used in a spreadsheet with the approximate material strengths to determine the failure index from equation (6) as follows:

    The initial fitting coefficients are determined by taking the reciprocal of the square of each material strength. Since the failure index is the ratio of the applied load to the failure load and all the samples were analysed at the failure load, the failure index is taken as unity throughout. This induces an error in equation (7). By squaring both sides of equation (7), the error can be defined as the difference between the two sides. In equation (8) the error is defined as the difference between the predicted and actual failure indices. Also in equation (8), an expression for the sum of the squares of the error, for the test batch is shown and a method to determine the smallest error is found.

    Equation (8) can be written in matrix format as:

    The summation is for all the samples used in the experiment and the stresses are only those of the most critical element of each sample. Critical in this case is the element with the highest failure index as defined in equation (7).

    Application of equation (9) yields new coefficients (the reciprocal of the square of each material strength) which are used to calculate new failure indices for each sample. The stresses of the most critical element are used in equation (7) and the whole process repeated until stability is reached.

    Since the failure index can be defined as the load applied divided by the load capacity of the sample, equation (7) can be used to calculate the predicted load limit.

    The quality of the solution is evaluated by plotting the predicted load limits against the failure loads and fitting the results with linear regression.

    Since the reliability of the material moduli used in the finite element analyses (Table 5) also had to be evaluated, a sensitivity study for the least reliable value, the shear modulus of the timber, G12, was undertaken. This meant that the full study had to be repeated for various values of the shear modulus.

     

    Conclusion and recommendations

    The material strengths determined experimentally (Tables 2 and 3) read in combination with Table 4 indicate that the shear modulus for the timber tested is in the range of 0.15 to 0.2 GPa.

    The last column in Table 6 lists the correlation attained by fitting the experimental failure results with the values in the previous three columns. An important conclusion is that the failure criterion used here is not very sensitive to variation of the shear modulus in the loading configuration considered, since a variation of 0.1 - 10.0 GPa in the shear modulus caused a variation of 70.5 - 55.36 MPa in the longitudinal fibre strength.

     

     

    The orthotropic failure criterion for timber, which was suggested, seems to have better timber strength prediction capabilities than that of the stress grading method currently in use.

    If the method of determining grain slopes in timber samples can be sufficiently automated and if the results from the current stress grading method can be used, the method proposed here can make it possible to selectively and reliably grade timber to a higher category than is currently the case.

     

    References

    [1] South African Bureau of Standards, 0163-1980: Code of practice for the design of timber structures. Part I: Structural design and evaluation.

    [2] Reynolds CE & Steedman JC. Reinforced concrete designer's handbook. 9th edn. A Viewpoint Publication, London,1981.

    [3] Leicester RH. Proof grading, a practical application of reliability theory. Proceedings of Third Annual Conference on the Applications of Statistics and Probability in Soil and Structural Engineering, Sydney, 1979, pp.263-277.

    [4] Madsen B & Knuffel W. Investigation of strength-stiffness relationship for South African timbers as it relates to mechanical grading. Proceedings of IUFRO Conference, Oxford UK, 1980, pp.125-173.

    [5] Keating WG. Structural grading of timber. Notes from Structural Reliability Course, University of Pretoria, 1984.

    [6] Hashin Z. Failure criteria for unidirectional fiber composites. Journal of Applied Mechanics, 1980, 47, pp.329-334.         [ Links ]

    [7] HenshellRD, (ed.). Pafec 75 - Theory results: Anisotropic materials. Nottingham University, 1975, 2, pp.117-126.

    [8] Weaver W & Johnston PR. Finite elements for structural analysis. Printice-Hall, Inc., Englewood Cliffs, 1984.

    [9] Lashkari M. cosmos/m User guide (Version 1.65). Part I, Modstar module. 4th edn. SRAC, Santa Monica, California, 1990.

    [10] Wangaard FF. The mechanical properties of wood. John Wiley &Sons, New York, 1950.

    [11] Haasbroek DF. Ortotropiese swigtingskriteria vir hout M Eng thesis, Rand Afrikaans University, Johannesburg, 1992.         [ Links ]

    [12] Jennings A. Matrix computation for engineers and scientists. John Wiley & Sons, New York, 1977.