Services on Demand
Journal
Article
Indicators
Related links
-
Cited by Google -
Similars in Google
Share
R&D Journal
On-line version ISSN 2309-8988Print version ISSN 0257-9669
R&D j. (Matieland, Online) vol.9 Stellenbosch, Cape Town 1993
The Design and Analysis of a Runaway Escapement
W. R. MundyI; L. PretoriusII
IPostgraduate Student, Rand Afrikaans University and Senior Design Engineer, Naschem (Pty) LTD., MSAIMechE
IIProfessor, Department of Mechanical Engineering, Rand Afrikaans University, MSAIMechE
ABSTRACT
Runaway escapements of various types are utilised as timing regulators or inertial governors in clockwork mechanisms. The design process for a spring driven runaway escapement having a flat sided pallet has been developed and a computer model to simulate its operation established. Simulation runs were in excellent agreement with experimental results.
Nomenclature
Aj motion equation coefficients
A' escape wheel normal contact force moment arm [m]
a pallet/rotor centre distance [m]
c entrance pallet radius [m]
B' friction force moment arm on escape wheel [N]
C' friction force moment arm on pallet [N]
D' pallet normal contact force moment arm [m]
d exit pallet radius [m]
e coefficient of restitution
Fs spring force [N]
Fxs, Fys spring force components [N]
Fxp, Fyp pallet bearing force components [N]
i, j fixed coordinate system
Ip pallet moment of inertia [kgra2]
Ipe pallet effective moment of inertia [kgm2]
Iw rotor moment of inertia [kgm2]
k spring rate [Nm/rad]
mp pallet mass [kg]
mw rotor mass [kg]
n pallet span [no. of teeth]
local coordinate system
Pn normal contact force between pallet and rotor [N]
Pv rotor gravitational force [N]
ra entrance pallet outer circle radius [m]
rcp pallet centre of mass radius from pivot [m]
ri exit pallet inner circle radius [m]
rp pallet pivot radius [m]
rs radius at which spring applies force [m]
rsp rotor pivot radius [m]
rs1rotor spring hole radius [m]
rs2escape wheel dedendum circle radius [m]
rw escape wheel addendum circle radius [m]
s4,s5 constant positive or negative functions to indicate direction of friction forces, function values -1 or +1
S, T coincident points on pallet and escape wheel
U pallet/escape wheel geometry relationship coefficient
Vpallet/escape wheel geometry relationship coefficient
αe entrance pallet working surface angle [degree]
αt escapement angle [degree]
αx exit pallet working surface angle [degree]
θpallet movement angle [degree], (figure 4)
θc pallet centre of mass angle [degree], (figure 4)
θl pallet lift angle [degree]
pallet angular velocity after impact [rad/s]
pallet angular velocity before impact [rad/s]
λeangle to entrance pallet [degree]
λx angle to exit pallet [degree]
μ, friction coefficient (pallet pivot/face)
μ2friction coefficient (rotor pivot)
μ3friction coefficient (rotor bearing)
τ escape wheel tooth pitch [degree]
Φescape wheel angle [degree], (figures 5 and 7)
Φcrotor angle in starting position [degree]
Φdescape wheel drop [degree]
Φlescape wheel starting angle [degree]
Φptspring pretension [degree]
Φtcumulative escape wheel angle [rad]
Φ rotor angular velocity [rad/s]
Φf rotor angular velocity after impact [rad/s]
Φi rotor angular velocity before impact [rad/s]
rotor angular acceleration [rad s-2]
χkpallet lead [degree]
χzescape wheel tooth tip width [degree]
Introduction
Runaway escapements are utilised as timing regulators or inertial governors in clockwork mechanisms. They are used extensively in the military field as timing regulators in clockwork safety mechanisms and in the toy industry as inertial governors in spring driven toys.
The escapement consists of an escape wheel, which is driven by some energy source, and a pallet which governs the escape wheel angular motion by its interaction with the escape wheel teeth (figure 1).

This article discusses the geometrical design of escapements having equal armed flat sided pallets then proceeds with the development of a computer model to simulate the motion of this escapement type when it is driven by a helical torsion spring.
The development of a computer model to simulate the motion of a spring driven runaway escapement was undertaken by Mundy [1] to establish a local capability for escapement design. This model was an extension of the work done by Lowen and Tepper [2] which developed a model to simulate the motion of a centrifugal force driven escapement having an unequal armed flat sided pallet.
Geometrical design theory
Escapements can be divided into two main categories, namely, those with equal armed pallets and those with unequal armed pallets. The pallets in these two categories can be further divided into those having flat sided pallets and those having pin pallets. This article will cover the geometrical design theory for escapements having equal armed, flat sided pallets.
Equal arm pallets are characterised by the fact that all points on the two lifting surfaces lie between two concentric circles around the centre of motion of the pallet. The geometrical relationships for this type of pallet [3] are shown in figure 2.

In contrast unequal arm pallets are characterized by the fact that the end of lift points on the entrance and exit surfaces both lie on the same circle around the centre of motion of the pallet. The unequal arm pallet is therefore symmetric in appearance about the axis passing between the pallet surfaces and through the centre of motion.
In this article the focus of attention is on the equal arm (asymmetric in appearance) pallet.
If we consider the pallet entrance condition at beginning of lift, see figure 2, the following relationship can be formulated:

Similarly, considering the pallet exit conditions at beginning of lift, see figure 3, the following relationship may be deduced:


Since the entrance and exit pallet leads are equal, for continuity of motion, the entrance and exit escape wheel drops must be equal. Therefore, from equations 1 and 2 we get

If the escape wheel teeth have significant width at their tips, Xk will be reduced to Xc to

From equations 1 and 3 we obtain

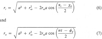
From consideration of figure 2, it can be deduced that

To simplify the design for this type of escapement, the pallet lift angle, θl, can be fixed by choosing point T on the same straight line as point R and S". The relationship for θl can again be found by considering figure 2.

The above equations establish the geometrical relationships between the parameters for the equal arm flat sided pallet escapement.
To design an escapement of this type, a few parameters must be chosen to obtain initial design values. These are
1. the escape wheel addendum circle diameter, rw
2. the number of teeth required on the escape wheel. This determines the pitch, τ.
3. the escape wheel teeth flank angle.
4. the escape wheel/pallet centre to centre distance, A.
5. the escape wheel drop, θd.
6. the pallet span, n, and
7. the pallet lift angle, θl (if a more complex design is required)
The remainder of the design parameter values may then be calculated. To complete the geometrical design, component size, shape and mass properties have to be determined by the designer to suit any constraints which may be imposed, such as space limitations.
Mathematical analysis
The mathematical analysis of a spring driven escapement consisting of a spring driven rotor with attached escape wheel and a flat sided equal arm pallet is based on the method of analysis developed by Lowen and Tepper [2]. The major differences are that an equal arm pallet is used (an unequal arm pallet is a simplified version where c = d), no gears are used, the rotor/escape wheel is driven by a torsion spring, and disc friction between the rotor and its housing is considered. The analysis also makes allowance for pallets with arbitrarily located centres of mass, friction at the pivots and friction between escape wheel teeth and pallet face.
As in [2],the following three motion regimes are considered:
1. Coupled motion, where the escape wheel is in constant contact with one of the pallet surfaces while it is being driven,
2. Free motion, where the pallet and escape wheel move independently of each other, and
3. Impact, where one of the pallet surfaces is struck by an escape wheel tooth following free motion.
A conservative approach to pivot friction is taken [4] whereby the individual pivot torques are obtained by the algebraic addition of the two friction moments due to the X and y components of the normal bearing forces, rather than by the direct use of the resulting normal forces. This assumption was necessary to avoid undue complication in the formulation and solution of the various differential equations. This approach overestimates rather than underestimates the effects of pivot friction.
Coupled motion equations
Detailed free body diagrams of the pallet and escape wheel for entrance coupled motion and exit coupled motion are shown in figures 4 to 7. Note that the geometry shown here is that required for the mathematical analysis and the pallet orientation is shown here for anti-clockwise rotor rotation.




The
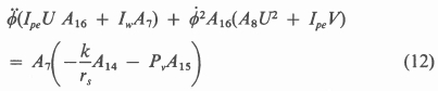
coordinate system is not the same for both entrance and exit conditions due to differences between the entrance and exit working surface angles. The differential equations for entrance and exit motion therefore differ and have to be considered separately. Considering entrance coupled motion, to obtain the equation of motion, we solve for the pallet driving force pn(figure 4) by making use of the pallet force and moment equations. It can be deduced that [1]

This equation is now written in terms of the angular velocity Φ and angular acceleration
of the escape wheel so that it can be equated to a similar expression for the escape wheel. pn then becomes

Considering the force and moment equations for the rotor/escape wheel, it can be deduced that

Finally, the combined differential equation for entrance coupled motion is now obtained by equating the normal contact force equations for the pallet and escape wheel, i.e., equations 10 and 11. Hence

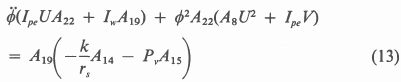
Using the same method of analysis for the exit side, the combined differential equation for exit coupled motion is obtained as

In the above equations the U and V coefficients are functions only of the geometry of the pallet and escape wheel. The full functional relationships are deduced by Mundy [1].
Free motion equations
During the free motion phase, the pallet and escape wheel move independently of each other. The escapement motion during this phase will therefore be described by two differential equations; one for the pallet and one for the escape wheel. These differential equations, which are independent of entrance or exit motion, are obtained by setting the normal force equations for the pallet (equation 9) and escape wheel (equation 11) equal to zero. The pallet free motion differential equation becomes

and the escape wheel free motion differential equation becomes

Impact equations
The impact analysis is based on the classical angular impulse-momentum model, where a coefficient of restitution is used to account for the energy losses.
The following assumptions are made:
1. The angular impulse on the escape wheel due to its torque is small in comparison to the impact force between pallet and escape wheel [5][2][6].
2. The tangential impulsive force due to friction, μ1pn, is small in comparison to the normal impulsive force, pn [5][2].
It is therefore assumed that the only impulsive forces which act on the pallet and escape wheel are the mutual normal impulsive force pn and the impulsive reactions at the privots.
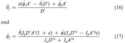
In general [6], we have that

Using suitable expressions for above two terms, it can be deduced that [1]

Computer model
The model begins with the reading in of the input data then starts with the solving of the entrance coupled motion equations. A fourth order Runge-Kutta integration routine within ACSL is used to solve the coupled and free motion differential equations. A flow diagram of the computer model developed by Mundy [1] is shown in figure 9.


An indexing operation is performed on θ, θc and Φ to provide initial conditions as control transfers from the entrance to exit sides and vice versa as the pallet oscillates. The escape wheel angle, Φ,therefore varies continuously between the entrance and exit sides. The cumulative escape wheel angle, Φt, is therefore measured by continuously adding the angular increments, ∆Φ,due to each cycle of integration.
A test angle is used to determine whether entrance or exit motion is to be evaluated, and contact sensing parameters are used to determine motion status. The techniques used to determine the status of each motion regime during escapement operation so that control may be passed to the applicable equations of motion are discussed fully by Mundy [1].
The simulation finally terminates when either Φt = |Φc| which corresponds to the end of rotor motion or when the escapement operating time exceeds or is equal to a desired stop time. This last condition ensures that the program will stop in the event of model parameters being chosen such that the model slows down drastically before the desired rotor rotation is reached.
This computer model was now tested for accuracy.
Practical escapement parameters
To provide practical escapement parameters and a means of testing the computer simulation program, two escapements were designed. A single rotor was designed for both escapements.
The escapements were designed using engineering judgement and the equations developed from the geometric principles. The pallets were designed to be as symmetrical as possible for ease of manufacture. To this end, the special case where the entrance pallet face and the end of the exit pallet face lay on the same straight line was chosen. This enabled the pallet lift angle, Φt to be calculated from equation 8. Mass properties of the rotor and pallets were obtained after the respective components were modelled using the 3-D solid modelling package by SDRC called I-DEAS 4.0. The list of applicable escape wheel/rotor parameters is given in table 1 and the pallet parameters given in table 2.


The arming time of each escapement variation was tested by recording the vibrations induced by the escapement as it operated. In this method, an accelerometer was attached to the base of the test rig and connected to an oscilloscope via a charge amplifer. The oscilloscope was triggered by the first impact of a rotor tooth on a pallet face. The rotor arming time was then that time which was measured from the trigger pulse to when a final impact occurred between a rotor tooth and a pallet face, or when the rotor impacted with a stop pin.
Due to the time lag between rotor release and first impact, this method was expected to give an error of ±2%.
Results
The accuracy of this simulation model was checked by using the geometrical parameters, mass properties, and spring data of each tested escapement as input.
General parameters affecting motion, which are the coefficients of friction and restitution, were chosen. The coefficients of kinetic friction for brass on brass and steel on brass were both assumed to be 0,3. High speed motion pictures of escapement operation [2] showed that escape wheel tooth/pallet impacts were essentially inelastic. The coefficient of restitution was therefore assumed to be equal to zero.
The practical and simulated test results are shown in table 3. For the purpose of calculating errors between theoretical and practical operating times, the minimum time measured practically was used since this time is always the most significant.

Strip plots generated from the computer run of escapement 2 showing the angular motion of the rotor, Φt(PHT),
are shown in figure 10. The first 100 ms of rotor motion are shown in figure 11 to illustrate the movement more clearly.


From these figures, it can clearly be seen how the angular position, velocity and acceleration of the escapement rotor varies with time during the three motion regimes. For example, the angular acceleration of the rotor increases during exit coupled motion and decreases during entrance coupled motion. This shows that entrance coupled motion is the prime contributing factor in governing the escapement motion. The plots of escapement angular motion could therefore be used as tools to access the effectiveness of escapement designs.
Conclusions
A reasonably accurate computer simulation model of a spring driven escapement having flat sided pallet with either equal or unequal arms has been successfully developed. Simulation runs gave excellent results when compared to actual test results (operating time error < 3%).
The computer model is particularly suited to parametric studies. The effects of factors such as coefficient of restitution, coefficient of friction, component mass and moment of inertia, component dimensions and spring rate on escapement operational time may be easily deter Of particular importance is the fact that the effects of changes in component dimensions on escapement operational time may be determined. This allows components to be correctly dimensioned on manufacturing drawings.
It follows then that the model allows this escapement type to be fully designed and modelled on paper. This ensures that development time and cost is kept to a minimum and that escapements can be built as cheaply as possible and yet still provide the desired operational times.
References
1. Mundy, W. R., "The Analysis of Runaway Escapements Utilised in Clockwork Mechanisms", M Eng Thesis, September 1991, Rand Afrikaans University. [ Links ]
2. Lowen, G. G., and Tepper, F. R., "Computer Simulation of Artillery S & A Mechanism (involute gear train and straight-sided verge runaway escapement)"; Technical Report ARLCD-TR-82013, ARRADCOM, Dover, NJ. November 1982.
3. Assmus, F. R., "Fundamentals Concerning Technical Mechanisms", Springer Verlag, p 168 (translated), Berlin. 1958.
4. Lowen, G. G., and Tepper, F. R., "Fuze Gear Train Analysis", Technical Report ARLCD-TR-79030, ARRADCOM, Dover, NJ. December 1979.
5. Lowen, G. G., and Tepper, F. R., "Dynamics of the Pin Pallet Runaway Escapement", Technical Report ARLCD-TR-77062, ARRADCOM, Dover, NJ. June 1978.
6. Beer. F. P., and Johnston, E. R., "Vector Mechanics for Engineers: STATICS & DYNAMICS", McGraw-Hill, New York, 1972.
First received November 1991
Final version September 1992











local coordinate system
pallet angular velocity after impact [rad/s]
pallet angular velocity before impact [rad/s]
rotor angular acceleration [rad s-2]