SciELO - Scientific Electronic Library Online

 
vol.9Reduction of Aerodynamic Resistance of Heavy Vehicles and Effect on Fuel Economy author indexsubject indexarticles search
Home Pagealphabetic serial listing  

Services on Demand

Journal

Article

Indicators

    Related links

    • On index processCited by Google
    • On index processSimilars in Google

    Share


    R&D Journal

    On-line version ISSN 2309-8988Print version ISSN 0257-9669

    R&D j. (Matieland, Online) vol.9  Stellenbosch, Cape Town  1993

     

    Structural modification using frequency response functions: an experimental study

     

     

    D.S. Massey; C.P. Constancon

    Lecturer, Applied Mechanics, School of Mechanical Engineering, University of the Witwatersrand, P.O. Wits, 2050 Republic of South Africa

     

     


    ABSTRACT

    The technique of Structural Modifications Using Frequency Response Functions, or SMURF, was studied. The technique was employed for the prediction of the modified dynamic characteristics of beam-like structures, with experimentally derived FRFs serving as a basis. Pinned and rigid modification types were employed, which made it necessary to consider FRFs which related rotational excitation and response. Consequently an accelerometer capable of measuring rotational acceleration was utilised in the study. The results indicated that the SMURF technique was able to predict the dynamic characteristics of the modified structures with a high degree of accuracy. It was however found that the accuracy of the predictions diminished where noise was present in the component structures' FRFs.


     

     

    Introduction

    The ability to predict the effect of a structural modification on a system's dynamic characteristics, without having to physically perform that modification, is of great advantage to the engineering community. Consequently, various techniques have been developed which are able to produce these modified dynamic characteristics from theoretical, experimental, or a combination of experimental/theoretical data.

    Where the prediction of the effects of a modification on a prototype that is still in the development stage is sought, a modification technique of a purely theoretical nature must be implemented. However, in cases where the proposed modification involves existing structures, it may be desirable to include experimentally derived data for the modification prediction. This is especially the case for large complex structures, where it may be extremely inaccurate and time-consuming to approximate quantities such as damping distributions and boundary conditions theoretically. These quantities are inherent in experimentally derived data and so bring some degree of reality to the basis of the modification process.

    One such technique which allows for the use of theoretical, experimental, or experimental/theoretical data is the SMURF technique. SMURF involves the direct manipulation of frequency response functions, or FRFs, of component systems to yield the FRFs of the modified system. This is advantageous since FRFs from sources such as experimental modal tests, finite element models, or analytical models may be combined to produce a modified set of FRFs for a system. However, one of the most significant advantages of the SMURF technique is that it only requires, as a minimum, a set of FRFs equal to the number of degrees of freedom involved in the modification. This is advantageous since it enables the SMURF technique to be implemented in a short time and, if only experimental data are utilised, then the need for a mathematical model in the modification process is removed.

    During the last few decades SMURF has been the focus of a wide range of research. One common finding is that while SMURF is simple to implement numerically, it has been plagued with practical problems,[1;2;3;4;5] and it is therefore recommended that it only be used to predict the effect of simple modifications involving pinned restraints, whether in the troubleshooting environment, or as a method of validating a modal model.

    Most of the experimental research conducted on the SMURF technique has been restricted to cases where translational measurements have been used. Translational measurements are sufficient for the implementation of pin (or hinge) type modifications. However if rigid type modifications are to be represented in which moment transfer occurs, then rotational, as well as translational, compatibility must be satisfied at modification interfaces. The neglect of the rotational information when implementing the SMURF technique will lead to a modification that is essentially hinged.[3]

    The ability to measure rotations has always presented problems for the experimentalist, and the general approach in the past was to approximate a rotation from a set of translational measurements.[6;7] Refinements of this approach have been published, by Larson,[8] in which an improved formulation of constraints is presented which utilises translational measurements on beams. However, recently transducers capable of accurately measuring rotational acceleration have been developed and evaluated.[9]

    The aim of this research is thus to illustrate the implementation of the SMURF technique in cases where pinned as well as rigid modification types are to be performed. Although analytical FRFs are applied in this research, attention is focused on the use of experimentally derived FRFs as a basis for the SMURF technique. In the case of rigid modifications, rotational response measurement is accomplished with the aid of a rotational accelerometer.

     

    Theory

    The theoretical formulation of the SMURF technique is well established and has been documented on many occasions. [1;3;4;7;8; 10; 11] However for the purpose of completeness this theory will be presented briefly. The formulation may be considered under two areas, namely, the formulation of constraints and the generalised stiffness method.

    The formulation of constraints expresses a modified FRF matrix in terms of a structures original FRF matrix and a general constraint matrix. This may be written as:

    where is the modified structure's FRF matrix and H is the original structure's matrix. C is the general constraint matrix/vector which represents the constraints imposed at the modified degrees of freedom. Note that if it is possible to express the constraints as a single vector, then the expression for does not involve a matrix inversion. This formulation applies directly to modifications implemented on a single structure, such as tying a point(s) to ground or connecting points together. The main features of this formulation are that must be evaluated at every frequency line of interest, and that it requires a full FRF matrix H. This means that a point inertance must be available for the point, or points, of modification.

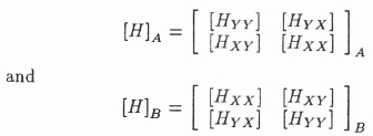
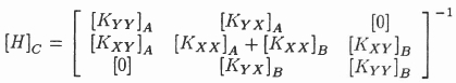
    The general stiffness formulation involves the matrix inversion of the components structures' FRFs. If one considers two structures A and B which are to be joined together at degrees of freedom X, to form a structure C, then FRF matrixes for structures A and B may be written, respectively, as:

    where X are the degrees of freedom used in the coupling of the structures and Y are the remaining degrees of freedom. If one writes , then the FRF matrix of the combined structure C may be written as:

    This formulation also requires a full FRF matrix, and consequently a point inertance involving the degrees of freedom at the point(s) of modification must be obtained. Note that in both the formulation of constraints and the generalised stiffness method, the component FRFs may be generated analytically, or determined through experimental measurement. In general, both methods may involve rotational, as well as translational, degrees of freedom.

     

    Proposed modifications

    The structures used as a basis for the proposed modifications are illustrated in Figure 1. The first, an H-frame, was machined from a 25-mm thick mild steel plate, while the remaining two beams were machined from a 25-mm square mild steel bar. All the structures had specially machined ends, enabling interconnection with the aid of locating pins.

     

     

    Three modifications were studied, namely:

    1. The addition of a beam via pinned joints across the end of the H-frame, as illustrated in Figure 2. This beam was analytically represented by a translational constraint across the end of the H-frame and a mass addition of 1.61 kg at the point of modification.

    2. The lengthwise joining of the two beams via a pinned joint, resulting in the two beams' essentially being joined via a hinge. The FRFs of both beams were experimentally determined and only translational degrees of freedom at the modification point need be considered.

    3. The lengthwise joining of the two beams via a rigid connection. The FRFs of both beams were experimentally determined. However in this case, rotational measurements are required to account for a rigid connection.

     

     

    Modification 1 was implemented using a combination of the formulation of constraints (to apply the translational constraint) and the generalised stiffness formulation (to apply the mass). Modifications 2 and 3 were performed by solely using the generalised stiffness method.

    These modification types were applied since it was envisaged that each provided a progressively more difficult modification. Thus a steady progression in degree of difficulty is presented from the first, which considers a combination of experimental and analytical FRFs, to the third which not only uses experimental FRFs from both component beams, but also includes rotational measurements.

     

    Experimental procedure

    Although the SMURF technique only requires a set of FRFs which involve the degrees of freedom that are directly used in the coupling of structures (including point inertances), additional FRFs were measured at various locations along each structure. This allowed for the prediction of the mode shapes, as well as the FRFs, of the modified structure.

    An impact hammer was used as an excitation source for the measurement of the FRFs, and a translational accelerometer was used to measure the response of all of the structures at the required locations. However, in order to implement the rigid connection for the third modification with the SMURF technique, rotational FRFs were required. A Kistler 8696 accelerometer was used to measure the rotational response at the point of modification on each component beam. In this way FRFs were directly measured which related an input force to a rotational response , a pure couple input to a translational response and an input force to a translational response .The FRF relating a pure couple input to a rotational response could not be directly measured and so an approximation of this had to be made.

    In all cases, the structures were tested in a free-free condition. FRFs were measured over a frequency range of 0 to 1 024 Hz, with a resolution of 2 Hz. The FRFs were averaged over 15 readings.

    The proposed modifications were then physically performed and modal tests of each modified system were carried out, so as to serve as a comparison with the SMURF predictions.

    The natural frequencies of the components structures are shown in Table 1. Note that Table 1 shows only the natural frequencies for the H-frame and the larger of the two component beams, since the shorter beam did not exhibit any resonances in the examined frequency range.

     

     

    SMURF implementation

    The FRF data which were obtained from the component structures could be directly used in the SMURF implementation for the modifications involving pinned joints. However when considering the rigid modification of the beams, the rotational point inertance at the point of modification was required. This was synthesised in the following manner.

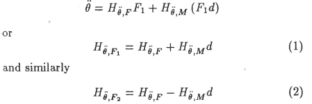
    Consider a beam section as shown in Figure 3. It is required to approximate the frequency response function from the FRFs with the last two FRFs being measured directly. Each of the two excitation forces may be represented by a force of equal magnitude, and a couple at the centreline of the beam. In theory, the centreline forces will produce no rotation of the beam. Thus one may write:

     

     

    Where is the FRF relating the angular motion of the beam produced by a centreline force, which is independent of the magnitude of F1or F2. Upon differencing equations 1 and 2, the expression for the required point inertance becomes:

    This expression was applied to the FRFs of the component beams. The generated point rotational inertance for the longer beam is illustrated in Figure 4. This FRF exhibits the characteristics of a point inertance. However, it displays severe noise below 150 Hz.

     

     

    Results

    Typical comparisons between measured and predicted FRFs for the modified structures are shown in Figures 5, 6, and 7. The FRFs compare favourably for the case of the H-frame modification, up to a frequency range of approximately 500 Hz, with the SMURF FRF identifying all of of the measured resonant peaks. The FRFs also compare favourably for the case of the pin-jointed beams, where all of the measured resonant peaks are again identified. However, it is clear that there are spurious or false peaks that appear on the SMURF FRFs for these two cases. It was found that these peaks occurred at frequencies that correspond to the original natural frequencies of the unmodified systems, but they did not exhibit a 90-degree phase change displayed by the remaining peaks. The SMURF FRF does not match the measured FRF as accurately for the rigidly modified beams, with the first measured resonant peak being omitted from the SMURF prediction.

     

     

     

     

     

     

    Time domain polyreference parameter estimation was performed on both the measured and SMURF FRFs, and natural frequencies and mode shapes were extracted. The extracted natural frequencies are shown in Tables 2, 3, and 4. It was found that the spurious peaks exhibited by the first two modification predictions were not identified as modes during parameter estimation. As can be seen, with the exception of the omitted mode in the rigid modification, tHe SMURF predictions compare favourably with the measured data. The extracted mode shapes for the SMURF and measured modifications were almost identical and hence are not shown.

     

     

     

     

     

     

    Discussion

    The implementation of the SMURF technique on the experimentally based FRFs provided acceptable results. The highest error encountered in the extraction of any natural frequency was 2.86%. All modes, except the first mode of the rigid modification, were identified using the SMURF technique. It is believed that the reason for the omission of this mode lies in the fact that the approximated rotational FRFs exhibited a high degree of noise below 150 Hz. The first modified mode of the rigid modification lies in this region and hence it was difficult to produce an accurate representation of the modified FRFs in this frequency range.

    Noise was not as noticeable in the pin-type modifications and consequently the problem of mode omission did not arise. The major discrepancy between the predicted and measured results in these cases was the spurious peaks displayed by the SMURF FRFs. As has already been stated, these peaks corresponded to the original natural frequencies of the component systems and were not identified as modes during parameter estimation. It is postulated that the false peaks originated from numerical ill-conditioning at the frequency of the original resonant peaks. This ill-conditioning was amplified due to the lightly damped nature of the component structures and it is expected that the false peaks would decrease in magnitude if structures with higher damping were considered.

    A visible trend in the results is apparent if one considers the comparison between the SMURF and experimental FRFs. Here the accuracy between the measured and SMURF FRFs decreases with each modification, which is in agreement with the progressively more difficult nature of each modification. The H-frame modification displays the highest correlation between measured and SMURF FRFs, since it was generated by a combined experimental/analytical FRF data base. In contrast, the rigid modification of the two beams exhibited the lowest correlation, since rotational FRF approximations, as well as purely experimentally based FRFs, were utilised.

    In all cases, the predicted natural frequency shifts were appreciable and it was not necessary to perform minor modifications to illustrate the technique. In particular, it should be noted that the use of the SMURF technique based on experimental FRFs eliminates the effect of modal truncation. This is shown in all three modifications where modified modes were identified at higher frequencies than any of the modes of the component structures. This was particularly so in the case of the combination of the two beams, where the shorter of the two component beams did not exhibit any modes in the examined frequency range.

     

    Conclusions

    This study has shown that the SMURF technique may prove to be an efficient method of predicting the effects of a structural modification. The results obtained gave an acceptable indication of the modified dynamic characteristics of the structures examined. Rotationally related FRFs were incorporated into the SMURF formulation which must be accounted for if any rigid type modification is to be implemented. It was also demonstrated that success of the SMURF technique is sensitive to the quality of the FRF data used in the study. It is therefore recommendedd that the SMURF technique be viewed with some suspicion where noisy FRF data are encountered.

     

    References

    [1] Crowley JR, Klosterman AL, Rocklin GT & Void H. Direct structural modifications using frequency response functions. Proc. Second IMAC, Orlando, Florida, 1984, pp.58-65.

    [2] Wang BP, Chu FH & Clark G. Structural dynamic modification using modal analysis data. Proc. Third IMAC, Orlando, Florida, 1985, pp.42-45.

    [3] Brassard J & Massoud M. Identification of a complete mobility matrix of a synthesized system from component mobility measurements. Proc. Fifth IMAC, London, 1987, pp.319-323.

    [4] Jones R & Iberle K. Structural modifications : a comparison of techniques. Proc. Fourth IMAC, Los Angeles, California, 1986, pp.56-63.

    [5] Crowley JR, Crowley SM, Gorman TE & Rocklin GT. A comparison of SMURF and modal modeling. Proc. Third IMAC, Orlando, Florida, 1985, pp. 1053-1059.

    [6] Smiley RG & Brinkman BA. Rotational degrees of freedom in structural modification. Proc. Second IMAC, Orlando, Florida, 1984, p.934.

    [7] Ewins DJ. Modal testing : theory and practice. Chichester, John Wiley and Sons Inc, 1986.

    [8] Larson PO. Dynamic analysis of assembled structures using frequency response functions : improved formulation of constraints. The International Journal of Analytical and Experimental Modal Analysis, 1989, 5(1), pp.1-12.         [ Links ]

    [9] Lang G. Including rotational terms in a modal model ... An experimental prelude. Sound and Vibration, 1989, pp.24-32.

    [10] Klosterman A. On the experimental determination and use of modal representation of dynamic characteristics. PhD dissertation, University of Cincinnati, 1971.         [ Links ]

    [11] Imregun M, Robb DA & Ewins DJ. Sructural modification and coupling dynamic analysis using measured FRF data. Proc. Fifth IMAC, London, 1987, pp.1136-1141.

     

     

    First received May 1993
    Final version June 1993