Services on Demand
Journal
Article
Indicators
Related links
-
Cited by Google -
Similars in Google
Share
R&D Journal
On-line version ISSN 2309-8988Print version ISSN 0257-9669
R&D j. (Matieland, Online) vol.5 Stellenbosch, Cape Town Apr. 1989
NAVORSINGSNOTA
Voorspelling van Massavloeiverdeling in 'n Komplekse Vloeistelsel / Prediction of Mass Flow Distribution in a Complex Flow System
J. J. GrantI; W. A. SchumannII
ISenior Lektor, Universiteit van Pretoria
IIProfessor, Kerningenieurswese, Departement Meganiese Ingenieurswese Universiteit van Pretoria
Inleiding
Massavloeiverdeling of snit is belangrik op verskeie gebiede, soos byvoorbeeld die verdeling van stoom of druklug tussen gebruikers, veral indien sommige gebruikers laedrukgas van 'n vorige gebruiker aanwend, 'n Verdere toepassing is gasskeiding soos byvoorbeeld die skeiding van waterstof en metaangas by petrochemiese nywerhede.
Verskeie parameters beïnvloed die massavloeiverdeling in 'n komplekse gasvloeistelsel. Daar is gepoog om 'n metodiek daar te stel wat gasvloeie deur sulke stelsels voorspel en wat later in praktiese probleme gebruik kan word.
Die oplossingsprosedure wat gebruik word om die vloei deur pypnetwerke te bereken, is algemeen bekend [1]. Die metode wat hier voorgestel word, maak egter voorsiening vir drastiese veranderings in die fisiese eienskappe van die vloeier, soos die molmassa van 'n gas, wat nie geredelik met standaardprosedu-res gehanteer kan word nie.
Vir 'n stelsel met een inlaatstroom en twee uitlaatstrome word die massavloeiverdeling gedefinieer as die verhouding van die massavloei van een uitlaatstroom tot die massavloei van die inlaatstroom. In die algemeen kan dit gedefinieer word as die verhouding van die massavloei van een of die som van 'n paar soortgelyke vloeie tot die totale inlaatmassavloei.
![]()
Modelle
'n Eenvoudige vloeikomponent, wat bestaan uit twee vloeiweer-stande in parallel soos in figuur 1 getoon, word beskou. Die massavloei deur elke been word beïnvloed deur die molmassa M0 van die gas, die opstroomdruk P0 en die drukke stroomaf van die onderskeie weerstande, naamlik Pe en Pm. Die weerstand tussen P0 en Pe is egter altyd groter as die weerstand tussen P0 en Pm sodat P£ laer is as Pm. Die voetskrif i verwys dus na die lae druk en m na die intermediêre druk.

Oor die algemeen geld dat daar 'n paraboliese verband bestaan tussen die drukverskil oor 'n weerstand en die volumevloei deur die weerstand. Daar is eksperimenteel vasgestel dat hierdie verband ook geld vir die komponente wat hier beskou word, soos in figuur 2 getoon. Veranderings in M0, P0 en die massavloei het daartoe gelei dat die kurwe op- en afgeskuif het, sonder dat die vorm van die kurwe veel verander. Die elemente is dus wiskundig gemodelleer deur 'n basiese paraboliese verband tussen volumevloei en P0/Pm met voorsiening vir afwykings veroor-saak deur veranderings van die ander parameters, 'n Kromme-passing is gedoen om die verband tussen volumevloei en PG/Pm te bepaal. Die vergelykings vir vloei het soos volg daaruit gesien:

met
![]()
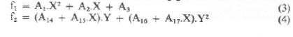
waar die funksies f1 tot f4 soos volg gedefinieer word:
Terme met 'n * boskrif verwys na die toestande waarby vergely-king f1 af gelei is. Die basiese vergely king is dus vergely king (2) met vergelyking (3) die verwysingskomponent en vergelykings (4), (5) en (6) verskilfunksies wat die afwyking beskryf indien die komponent by ander toestande as die verwysingstoestand be-dryf word. Hierdie verskilfunksies kan enige vorm aanneem en is nie beperk tot die funksies wat hier gebruik is nie.



Skakeling van komponente
'n Reeks van tien soortgelyke komponente is opgebou, elk met ander fisiese afmetings. Hierdie komponente kan nou geskakel word om 'n werklike stelsel te simuleer. Een moontlike opstelling, wat hier as voorbeeld gebruik word, word in figuur 3 getoon. Uit die figuur kan afgelei word dat die druk waarby elke komponent werk, verskil. Die druk in komponent een is die hoogste en die druk in komponent tien is die laagste. Verder is kompressors nodig om die £-strome van komponente nege en tien op te pomp tot by die drukvlak van komponente twee en drie. Daar is 'n sterk interaksie tussen al die komponente en 'n verandering van een komponent se karakteristieke of bedryf-stoestande beïnvloed al die ander komponente se werking.

In hierdie opstelling is daar een hoof stroom wat die stelsel binnekom, naamlik stroom 0, terwyl al die £-strome weer na die stelsel teruggevoer word. Dit is ook moontlik om die £-strome na 'n volgende saamgestelde stelsel te stuur terwyl £-strome uit 'n ander stelsel na hierdie stelsel toegevoer word. Ter wille van algemene geldigheid is die massavloeiverdeling hier gedefinieer as die som van die massavloei van al die £-strome gedeel deur die massavloei van stroom 0 plus die som van die £-stome. Dit stem dus ooreen met die geval hierbo waar die stelsel wat ondersoek word deel vorm van 'n reeks van soortelyke stelsels.
In die spesifieke stelsel wat ondersoek is, kon die volgende paramaters beheer word, naamlik die massavloei, molmassa en inlaatdruk van komponent een en die druk P£ van komponente nege en tien. Die invloed van veranderings van hierdie parameters is vervolgens ondersoek met behulp van rekenaar-simulasies.
Programbeskrywing
'n Algemene program vir die simulasie van vloeistelsels is ge-skryf. Subprogramme bereken die veranderings wat plaasvind in 'n spesifieke vloeikomponent op grond van data wat na die subprogram gestuur word. So word die massavloei deur die twee weerstande in die komponent vir gegewe waardes van P0, P£, Pm en molmassa bereken. Hierdie subprogram stuur dan die berekende data na 'n volgende een.
Die oplossingsprosedure word skematies in figuur 4 getoon. Die molmassa, druk en die massavloei na die eerste komponent word gespesifiseer. Die £-drukke van komponente nege en tien word voorgeskryf en 'n sekere drukverdeling oor die stelsel word aanvaar. Die werklike Pm wat nodig is om die gespesifi-seerde massavloei te weeg te bring, word dan vir komponent een bereken. Hiedie druk is gevolglik die inlaatdruk van komponent twee en dieselfde prosedure word dan vir elke komponent herhaal. Hierdie berekende drukverdeling is dan gebruik by 'n volgende iterasie. Konvergensie is bereik wanneer die berekende massavloei van elke stroom met minder as IE-5 van die vorige berekende waarde verskil het.
Resultate en bespreking
Die invloed van veranderings van die vier beheerbare parameters op die massavloei verdeling van die stelsel in figuur 3, word in figure 5 tot 8 getoon. Die waardes word uitgedruk in terme van die verskil van die berekende waarde en 'n verwysingswaar-de. Oor die algemeen het al die parameters 'n redelike groot invloed op die massavloeiverdeling. Die eksperimenteel gemete massavloeiverdeling stem by verwysingstoestande goed ooreen met die berekende waarde. Die invloed van veranderings van die parameters is eksperimenteel nie volledig ondersoek nie, maar uit enkele lesings blyk dat die gemete en voorspelde waardes in 'n redelike mate ooreenstem.




Die grootste bron van foute in berekenings is wiskundige modelle wat nie die werklike praktiese werking en gedrag van die komponente absoluut akkuraat kan beskryf nie. Dit is te wyte aan die relatief eenvoudige benadering tot modellering wat gevolg is.
Hierdie metodiek kan dus gebruik word om vloeie en drukke in komplekse vloeistelsels te voorspel, 'n Voordeel van die benadering is dat dit baie buigsaam is. Enige vloeistelsel waarvoor wiskundige modelle van die komponente bestaan, kan vinnig saamgestel en akkuraat gesimuleer word. Verder het komplekse stelsels met interaksie tussen die onderskeie komponente nie Probleme opgelewer nie. Een van die nadele van die benadering is dat 'n voorlopige oplossing beraam moet word. Vir komplekse stelsels kan dit 'n baie moeilike taak wees, veral omdat dit die aantal berekenings wat vir konvergensie nodig is, baie kan beïnvloed.
Verwysing
1. Daugherty R, Franzini J. B., Finnemore E. J. Fluid Mechanics with Engineering Applications, 8ste Uitgawe, McGraw-Hill, 1985











