Services on Demand
Journal
Article
Indicators
Related links
-
Cited by Google -
Similars in Google
Share
R&D Journal
On-line version ISSN 2309-8988Print version ISSN 0257-9669
R&D j. (Matieland, Online) vol.3 Stellenbosch, Cape Town Apr. 1987
Analysis of Vibration by a Modal Coupling Technique
E. H. Mathews
Senior Lecturer, Department of Mechanical Engineering, University of Pretoria, 0001 Pretoria
ABSTRACT
A method is presented whereby the vibration of complex structures, consisting of any combination of substructures, can be calculated, provided that the dynamic properties of the substructures are known. Modal data ( mass, frequency and shape of modes ) of the substructures are used for calculation purposes. Experimentally acquired dynamic properties of an aircraft and underwing store configuration are compared to properties predicted by the modal coupling technique. A fair agreement between measured and predicted data is observed for the lower frequency modes.
Nomenclature
Symbols
f vector of physical force [N]
I unit matrix
k matrix of lumped stiffnesses (nodal description) [N/m]
Κ matrix of modal stiffnesses (modal description) [Nm]
m matrix of lumped masses' (nodal description) [kg]
M matrix of modal masses (modal description) [kg m2]
q vector of modal coordinates [m]
Τ matrix of mode shape vectors for substructures
T2 matrix of coupling
T3 matrix of mode shape vectors (in independent modal coordinates) for the coupled system
X matrix of physical displacements [m]
ω2 eigenfrequencies [rad/s]2
Superscripts
A substructure A
1, ...N substructure 1 to N
Subscripts
i interior node
j junction node
M modal coordinates
n natural
R residual matrix, or independent coordinate
S square matrix, or dependent coordinate
Notation
{ } brackets used to describe a vector]
[ ] brackets used to describe a matrix
q notation if q is a vector
q notation if q is a matrix
Introduction
The vibration analysis of a complex structure is usually accomplished either numerically by finite element methods or experimentally. These analyses can be expensive and laborious if the structure is very complex [1]. Modern combat aircraft in particular must undergo extensive vibration testing due to the great variety of different underwing stores that must be carried for different missions. These tests, called ground vibration tests, can exceed any reasonable cost frame if all the different store configurations are to be tested [1].
A modal coupling technique can help to ease this problem [1-3]. Such a technique consists firstly of acquiring the modal data of all the substructures by means of ground vibration testing or by means of finite element analyses. Secondly, the modal data of any configuration of these substructures can then be determined by an inexpensive calculation procedure.
The Aeroelastic Section of the National Institute for Aeronautics and System Technology (NIAST) initiated a project to establish if the accuracy of data predicted by a modal coupling techique is sufficient for flutter clearance purposes. Although the idea of modal coupling is not new [1,2,4, 5], detailed derivations of relevant coupling techniques are seldom given in the references. Complete sets of ground vibration test data are further seldom compared in these papers to predicted data. An extensive literature survey of more than seventy papers [3] produced no paper with sufficient information for NIAST's purposes.
The purpose of this paper is to develop the complete theory of a particular modal coupling technique, as well as to demonstrate its application by presenting a complete set of measured and predicted modal data for an aircraft and store configuration.
Theory
Introduction
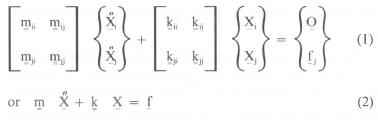
The vibration of a continuous substructure, that is one with an infinite number of degrees of freedom, can be approximated by a set of motion equations valid at a finite number of points in the structure. The structure is therefore in effect discretised to a finite number of lumped masses (m) and stiffnesses (k). The equations of motion at these finite number of node points for a substructure can be written in matrix form as follows (neglecting damping):

The physical displacements X in equation (1) are partitioned into an interior displacement vector Xi and an interface (between substructures) displacement vector Xj. Forces acting on the interface are denoted by vector fj. No forces will be applied at interior nodes.
The physical substructure displacement vector X can be expressed as the sum of mode shape vectors Tr, namely

where qr are the generalised or modal coordinates for the rth mode of the substructure. Different types of modes Tr can be used for the modal coupling procedure, e.g. dynamic, rigid or static modes [3]. For the purpose of this study, only dynamic and rigid body modes were investigated. Free interface modes (no forces applied to junction points) were used for the dynamic modes, because they are convenient to measure [3]. The free interface modes can be predicted by solving equation (1) with the force vector fj equal to zero. The solution of equation (1) will then yield the free interface mode matrix, as well as the frequencies of the different modes of vibration.
Equation (2) for free interface modes for a substructure can be rewritten in modal coordinates by substituting equation (3) into equation (2) and by premultiplying by the transpose of T, namely

where M and Κ are the matrices of generalised or modal masses and stiffnesses respectively.
At the natural frequency of a mode, the following equation is valid:

where ω2 is the matrix of eigenfrequencies. During ground vibration tests the matrices for modal masses M, eigenfrequencies ω2 and mode shapes Τ (eigenvectors) are measured.
Modal coupling of substructures
Substructures are usually coupled rigidly or by elastic elements. Only rigid coupling was however investigated.
For rigidly coupled substructures, the compatibility condition must be satisfied at the respective interfaces. (It can be proved that if the compatibility conditions are satisfied at the junctions, the equilibrium conditions will also be satisfied [3]). The equations for compatibility for N substructures that are coupled to structure A are the following:

where j1,j2, ... jN are the junction nodes between structure A and substructures 1, 2 ... N respectively. The displacements of the junction nodes of structure A at its junction with substructure 1 are given by XAji. The corresponding vector of displacements for junction points of substructure 1 is denoted by XAji.
Equations (7) can be transformed to modal coordinates by using equation (3) and can then be rewritten in the following form:

Equations (8) can be written in matrix form as

Equation (9) can be written as

which can be rewritten as the following:

where Ts is a square matrix and TR the residual matrix derived from matrix AA.
If qR is chosen as the independent variable, the value for qs can be derived from equation (11) as

By combining equations (10), (11) and (12) the modal coordinates q can be written in terms of the independent coordinates qR as the following:

The uncoupled dynamic equations (equations (5) and (6)) for all the substructures are given in matrix form as:

where the matrices M and (ω M) are the uncoupled modal matrices for mass and stiffness respectively.
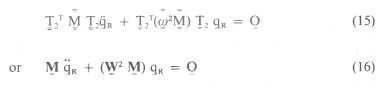
The dynamic equations for the coupled system can be derived by substituting equation (13) into equation (14) and by premultiplying by T2T, namely

where the matrices M and (w2 M) are the coupled modal matrices for mass and stiffness respectively. Equation (16) for the coupled system can be solved, as all the matrices in it are known from ground vibration test on the individual substructures. The solution yields the eigenvalues ω2 and eigenvectors T3 for the coupled system in the independent coordinates qR.
Modal data for coupled structure
The modal masses and stiffnesses (or frequencies) of specific modes for the coupled structure are given by the matrices M and (W2M) which can be calculated from known ground vibration data.
The mode shapes or eigenvectors T3 resulting from the solution of equation (16), however, present a problem, as they are not expressed in physical coordinates. Equation (16) with independent coordinates qR can be rewritten in modal coordinates qM by using the following transformation equation:

Substituting equation (17) into equation (13) and the resulting equation into equation (3), yields the following equation for the physical displacement vector X for the coupled system:

where Τ T2 T3 is the mode shape matrix in physical coordinates for the coupled structure.
Test results and discussion
An aircraft with six external stores were used for the experiments. Standard ground vibration tests [3] were carried out to establish the free interface modal data of the aircraft without the stores. Rigid body modes were used in the simulation procedure for the dynamic properties of the six stores. A ground vibration test was also done on the aircraft with the coupled stores. Predicted and measured modal frequencies and masses for the coupled configuration are presented in Table 1. The top and side views of the measured and predicted mode shapes for the first mode (f = 8,24Hz) of the coupled configuration are shown in figures 1 and 2.

For flutter analyses the lower frequency modes are usually the most important. The predicted modal data for vibration modes with frequencies smaller than 20Hz were in fair agreement with measured data. The largest deviation of a predicted frequency from the measured value for modes below 20Hz was 7,7% at 14,51Hz. Except for mode number 10 at 18,9Hz the modal masses where predicted to within 30% of the measured values. The accuracy of these predictions are within the accuracy of measurements [3]. Mode number 10 was not well isolated during ground vibration tests, and it is therefore not possible to make a sensible comparison between measured and predicted modal data for this mode. Table 1 shows that two modes below 20Hz were not predicted. The reason is that these corresponding free interface modes were not measured for the aircraft without the stores in the first ground vibration test. The higher frequency modes were in general less well predicted than the lower frequency ones. Fortunately these modes are usually less important for flutter analyses.
NIAST decided that, although the lower frequency modal data can be predicted to within the order of experimental accuracy, modal coupling techniques should not substitute ground vibration testing. It was however decided that modal coupled data are valuable for the following reasons:
1. Modal predictions can help to decide which aircraft-store configuration should be chosen for operational use and which one should be used for ground vibration testing.
2. Predicted mode shapes will make it easy to determine the positions of exciters during ground vibration testing, saving valuable test time.
3. By knowing the frequencies of the predicted modes, time consuming frequency scans can partly be eliminated.
Conclusions
It was shown that a fairly simple analytic procedure can be derived to couple modal data of different substructures. A complete set of measured and predicted data was presented. It was found that predicted modal data for the lower frequency modes were within the same order of accuracy as the measured data. It was also shown that some modes may be missed during ground vibration tests.
Acknowledgement
NIAST's support for this project is acknowledged.
References
1. Breitbach, E., "Application of Modal Synthesis Techniques for the Dynamic Qualification of Wings with Stores", Dynamic Environmental Qualification Techniques, 53rd Meeting of the AGARD Structures and Materials Panel, Proceedings NO. 318, Noordwijkerhout, 27 September-2 October 1981, pp. 14.1-14.22.
2. Nagamatsu, A., and Ookuma, M., "Analysis of Vibration by Component Mode Synthesis Method", Bulletin of the JSME, Vol. 24, No. 194, August 1981, pp. 1448-1453. [ Links ]
3. Mathews, E. H., 'The Optimisation of Structural Dynamic Data Acquisition", M.Eng-thesis, University of Stellenbosch, Stellenbosch, 1983. [ Links ]
4. Hintz, R. M., "Analytical Methods in Component Modal Synthesis", AIAA Journal, Vol. 13, No. 8, August 1975. [ Links ]
5. Kuhar, E. J., and Stahle, C. V., "Reduction of Truncation Errors in Modal Analysis", NASA report, G. E. Document No. 73SD4251, Contract NAS8-28167, June 1973.











