Services on Demand
Journal
Article
Indicators
Related links
-
Cited by Google -
Similars in Google
Share
R&D Journal
On-line version ISSN 2309-8988Print version ISSN 0257-9669
R&D j. (Matieland, Online) vol.3 Stellenbosch, Cape Town Apr. 1987
Metaalvloei in 'n Isotermiese Kanaal / Metal flow in an Isothermal Channel
Deur L Pretorius
Senior Lektor, Departement Meganiese Ingenieurswese, Universiteit van Pretoria
ABSTRACT
In this article a numerical model is developed for the thermal situation of liquid metal flowing in a rectangular isothermal duct. Steady state as well as transient solutions are given for the Nusselt number distribution in the duct.
The results obtained from the model are evaluated against experimental results obtained from the literature.
Simbolelys
a - numeriese koëffisiënte vergelyking (7)
A - polinoomfunksie vergelyking (8)
c - soortlike warmte
D - diffusiekoëffisiënt vergelyking (7)
f, g - arbitrêre funksies
F - vloeikoëffisiënt vergelyking (8)
Fo - Fouriergetal
h - entalpie (kJ/kgK) of vlieskoëffisiënt (W/m2K)
k - termiese geleidingskoëffisiënt
l - kanaalwydte
N - aantal diskrete punte in 'n rigting
Nu - Nusseltgetal
P, Pe - Pecletgetal
q - bronterm vergelyking (7)
t - tyd
Τ - temperatuur
u, U - snelheid in die χ rigting
ν - snelheid in die y rigting
w - snelheid in die ζ rigting
Χ, Y, Ζ - kartesiese koördinaatstelsel
α - termiese diffusiwiteit
Δ - delta, inkrement
p - digtheid
Voetskrifte
d - hidrouliese diameter
e, w, n, s - posisies halfpad tussen hoof diskrete
t, b - punte sien figuur 3
i - oorspronklik, inisiëel
Ρ, E, W, N, S, Τ, B - hoof diskrete punt Ρ met omringende punte, sien figuur 3.
χ, y, ζ - in die χ, y of z rigting
Boskrif
° by die vorige tydstap
Inleiding
Warmte-oordrag deur middel van vloeibare metale kan baie nuttig aangewend word om groot hoeveelhede warmte in beperkte spasies oor te dra. Sodanige vloeibare-metaalwarmteruilers vind onder andere toepassing in kernreaktore [1].
Verder is hierdie warmte-oordragsituasie tydens die smelt van metale ook vanuit 'n metallurgiese oogpunt van belang.
In hierdie verslag word die warmte-oordragsituasie van 'n vloeibare metaal in 'n reghoekige isotermiese kanaal ondersoek, 'n Benaderde numeriese model gegrond op werk van Patankar [2] word ontwikkel.
'n Poging word ook aangewend om ongestadigde effekte in die vloeibare metaal te ondersoek.
Die warmte-oordragmodel word ook kortliks ge-evalueer teen soortgelyke resultate uit die literatuur [3].
Voorspellings met behulp van die model word tot die laminare vloeigebied beperk.
Die Model
Figuur 1 toon dat die geval van 'n vloeibare metaal wat in 'n isotermiese vierkantige kanaal verhit word, ondersoek word.

Termiese effekte by die ingang van die kanaal word ook bestudeer.
Aannames
Die Prandtl-getal van vloeibare metale is tipies kleiner as 0,03, [4]. Een implikasie hiervan is dat die termiese grenslaag van 'n vloeibare metaal heelwat dikker as die ooreenkomstige momentum- of snelheidsgrenslaag tydens vloei vertoon.
Gesien teen hierdie agtergrond word die volgende aannames gemaak:
- propvloei, dit wil sê 'n uniforme snelheid, word in die vloei-model aanvaar.
- alle termiese eienskappe van die vloeibare metaal is konstant.
- wrywingseffekte word nagelaat.
- geen warmte word in die vloeibare metaal ontwikkel nie.
- driedimensionele ongestadigde warmte-oordrag vind in die vloeibare metaal plaas.
Teoretiese Modelontwikkeling
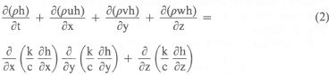
Met verwysing na Figuur 1 geld die volgende algemene differensiaalvergelykings vir die model in 'n kartesiese koördinaatstelsel [2, 5]:
Kon tinuiteitsvergelyking

Energievergelyking

Hierdie vergelykings is meer algemeen en sluit die klas van propvloeiprobleme in. In bogemelde vergelykings het die simbole die volgende betekenis:
In die geval van propvloei langs die x-as van die kanaal word die volgende snelheidsverdeling aanvaar:

Vir die geval van 'n konstante digtheidsvloeier bevredig die propvloeiverdeling dus wel die kontinuiteitsvergelyking (1).
Die metaalvloeiprobleem reduseer dan tot die oplossing van die energievergelyking:

Die rand- en beginwaardes waaronder die probleem opgelos word, is soos volg:
Randwaardes

Beginwaardes
by t = 0, vir alle x, y en z in die kanaal, h = hi
Kortliks kom bogemelde daarop neer dat die metaal wat deur die buis vloei oorspronklik 'n konstante entalpie hi en daarmee gepaardgaande temperatuur ti het en dat die temperatuur van die buiswande op tydstip t = 0 verhoog word na tw en vir alle tye daar gehou word.
Oplosprosedure
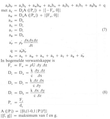
'n Diskrete kontrolevolume-gebaseerde-oplosmetode soos voorgestel deur Patankar [2] word vir die vloeibare-metaalprobleem gevolg.
Vir die doel word die reghoekige kanaal in 'n netwerk Nx x Ny x Nz diskrete punte ingedeel waarby die entalpie (of ook temperatuur) van die vloeibare metaal bereken word. Nx, Ny en Nz is die totale aantal indelings in die x, y, en z rigtings respektiewelik. Die gediskretiseerde situasie word in Figuur 2 getoon.

Deur 'n interne punt P, soos in Figuur 3 getoon, te beskou, kan met behulp van Patankar [2] se prosedure aangetoon word, dat die diskrete ekwivalent van die parsiële energie differensiaal-vergelyking (4) soos volg daar uitsien:


Vergelykings (7) en (8) is slegs geldig vir die geval van propvloei met konstante vloeiereienskappe waar die vloeigebied in kontrolevolumes van gelyke grootte gediskretiseer is.

Vergelyking (7) is 'n voile implisiete diskretiseringsvergely-king. Die implikasie hiervan is dat die oplossing van die diskrete warmte-oordrag probleem stabiel en onafhanklik van die relatiewe verhouding tussen die posisie-inkremente ∆x, ∆y, ∆z en die tydsinkrement ∆t is.
Die vloeierentalpieë hP, hE ens. wat in vergelyking (7) voorkom, is die entalpie van die vloeier op die huidige tydstip t. Boskrifte 'o' by vloeiereienskappe dui op waardes by die vorige tydstap d.w.s. by t - At. Vergelyking (7) geld by benadering vir elke interne punt en verteenwoordig dus eintlik 'n stel lineêre vergelykings. Deur 'n geskikte stel randwaardes by die rand-punte van die probleem te aanvaar, kan bogemelde stel lineêre vergelykings eenduidig opgelos word vir elke tydstap.
Dimensielose groepe
Deur vergelyking (4) te beskou, kan aangetoon word dat die drie belangrike dimensielose groepe in die vloeibare metaalprobleem die
p, c, k en α is die digtheid, soortlike warmte termiese geleidingskoëffisiënt en termiese diffusiwiteit respektiewelik van die vloeibare metaal, d is die hidrouliese diameter van die vierkantige kanaal.
Die vlieskoëffisiënt h v word soos volg gedefinieer:

Tm is die mengtemperatuur van die vloeibare metaal by elke posisie χ al langs die kanaal af:

Integrasie vind oor die kanaalsnit plaas.
Rekenaarmodel
'n Rekenaarmodel 3DPVLOEI [6] is ontwikkel om die vergelykings, soos in die vorige paragrawe beskryf, op 'n iteratiewe wyse vir elke tydstap op te los.
Die Gauss-Seidel iterasietegniek [7] is in die rekenaarmodel gebruik. Die metaalvloeiruimte in die vierkantige kanaal is in 'n eweredig verspreide 10 x 17 x 17 netwerk van diskrete punte in die Χ, Y, Ζ ruimte verdeel. Isotermiese randwaardes is vir al die punte op die kanaaloppervlakte aanvaar.
In die rekenaarmodel word 'n mengtemperatuur, Tm, by elke diskrete punt in die vloeirigting bereken.
Verder word die Nusseltgetalverdeling ook by elke posisie x as 'n funksie van y (of z) bereken.
Ten slotte word 'n gemiddelde Nusseltgetal by elke diskrete x posisie bereken uit:

Integrasie word uitgevoer oor die kanaalwydte.
Die rekenaarmodel verskaf die gestadigde sowel as ongestadigde vertoning van die metaalvloeisituasie in die vierkantige kanaal.
Praktiese parameters
Om die rekenaarmodel te evalueer, is die geval van vloeibare Bismuth in die isotermiese kanaal beskou. Die volgende eienskappe is vir Bismuth aanvaar [8].
- Temperatuur 316°C
- Digtheid 10010,0 kg/m3
- Soortlike warmte 0,144 kJ/kg °C
- Termiese geleidingskoëffisiënt 16,4 W/m °C
- Prandtlgetal 0,014
'n 1 600 mm-lang kanaal met 'n snitseksie van 50 mm χ 50 mm is in alle berekenings gebruik. Die hidrouliese diameter van die kanaal is dus 50 mm.
Metaalvloeisnelhede wat gebruik is, het gevarieer van 0,005 m/s tot 0,18 m/s.
Resultate
Die berekende gemiddelde Nusseltgetal by die uitgang van die kanaal as 'n funksie van die Pecletgetal word in Figuur 4 vir die gestadigde geval getoon. Vir evalueringsdoeleindes word 'n soortgelyke resultaat vir 'n isotermiese ronde buis, soos verkry deur Seban [3], ook aangetoon. Alhoewel die resultate van Seban verkry is vir turbulente vloei deur 'n buis, blyk daar 'n goeie korrelasie te wees tussen dié resultate en die resultaat vir die vierkantige kanaal soos met behulp van die huidige rekenaarmodel bereken.
Die model gee goeie resultate vir Pecletgetalle kleiner as ongeveer 800.
Die Nusseltgetalle vir vloei van Natrium deur 'n gepakte bed volgens Schumann [1] word ook in Figuur 4 getoon. Die effek van geometrie en nie-isotermiese wande op die Nusseltgetal word duidelik deur die resultaat van Schumann weerspieël. By laer Pecletgetalle is daar 'n mate van korrelasie tussen die resultate van Seban [3], Schumann [1] en dié soos met die huidige rekenaarmodel bereken.
Die berekende gestadigde Nusseltgetalverdeling oor die kanaalwydte by die kanaaluitgang word in Figuur 5 getoon. Dit is opvallend dat die Nusseltgetal nie konstant oor die kanaalwydte is nie, en dat die maksimum Nusseltgetal byna een en 'n half maal die gemiddelde Nusseltgetal is vir die betrokke Pecletgetal.

Ten slotte word die gemiddelde Nusseltgetal by verskillende posisies vanaf die ingang van die buis in die ongestadigde toestand in Figuur 5 aangetoon. Die dimensielose tydparameter wat gebruik word, is die Fouriergetal. Dit blyk uit Figuur 5 dat 'n matige toename in Nusseltgetal ondervind word by lae Fouriergetalle.
Gevolgtrekking en Aanbevelings
Die numeriese model wat vir vloeibare metaal ontwikkel is, is 'n goeie benadering vir Pecletgetalle kleiner as 800. Die effek van ongestadigde warmte-oordrag op die Nusseltgetalverdeling oor die kanaalwande is merkbaar alhoewel nie so prominent as wat 'n mens sou verwag nie.
Werk kan nou gedoen word om die effek van interne warmteontwikkeling in die vloeibare metaal ook in die numeriese model op te neem.

Bronnelys
1. Schumann, W. A., - Verslag PEL 164, Raad op Aloomkrag, Posbus 256, Pretoria, RSA., DScIng proefskrif 1967.
2. Patankar, S. V., - "Numerical heat transfer and fluid flow", McGraw Hill, New York, 1980.
3. Seban , R. A., Shimazaki, T. T., - "Heat transfer to a fluid flowing turbulently in a smooth pipe with walls at a constant temperature", Trans. ASME, vol. 73, p. 803, 1951. [ Links ]
4. White, F. M., - "Heat Transfer", Addison Wesley, London, 1984.
5. Whitaker, S., - "Fundamental principles of heat transfer", Pergamon Press, New York, 1977.
6. Pretorius, L., - "3DPVLOEI", ongepubliseerde rekenaarmodel, Departement Meganiese Ingenieurswese, Universiteit van Pretoria, 1985.
7. Carnahan, B., et al., - "Applied numerical methods", John Wiley, New York, 1969.
8. Holman, J. P., - "Heat Transfer", McGraw Hill, New York, 1981.
Bedankings
Die Universiteit van Pretoria word bedank vir die beskikbaarstelling van navorsingstoerusting.
Die belangstelling en kommentaar van Proff. J. Visser en W. A. Schumann van die Departement Meganiese Ingenieurswese Universiteit van Pretoria word op pry s gestel.











