Services on Demand
Journal
Article
Indicators
Related links
-
Cited by Google -
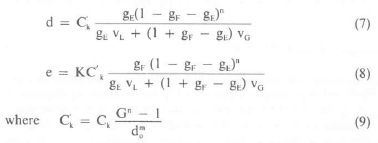
Similars in Google
Share
R&D Journal
On-line version ISSN 2309-8988Print version ISSN 0257-9669
R&D j. (Matieland, Online) vol.3 Stellenbosch, Cape Town Apr. 1987
The Boiling Crisis Phenomenon in Two-phase Flow
B. Sedler
Senior Lecturer, Department of Mechanical Engineering, University of Stellenbosch, 7600 Stellenbosch
ABSTRACT
An analytic model of the flow boiling crisis in annular flow (at high vapour quality) and own experimental results of Freon 21 are presented in the paper. The model is based on the analysis of the film drying process on the channel wall, thus expressing the mass balance of both the film and the core by means of differential equations. The solution of these equations contains the parameters determined experimentally since theoretical predictions are not possible at this stage.
Nomenclature
C parameter in the mass transfer equations
c concentration of droplets in the flow core
D mass flux of deposition
d non-dimensional mass flux of deposition d = D/G, channel diameter
E mass flow of entrainment
e non-dimensional mass flux of entrainment e = E/G
G mass flux of the main flow
g non-dimensional mass flux of the main flow
Κ parameter in the mass transfer equations
k mass transfer coefficient
ρ pressure
r latent heat of vaporization
S non-dimensional constant S = 
t non-dimensional parameter t = 
V non-dimensional specific volume V = 
ν specific volume
χ steam quality
Y parameter
z longitudinal co-ordinate
z+ non-dimensional longitudinal co-ordinate
q heat flux
q+ non-dimensional heat flux
Greek symbols
ρ specific density
σ surface tension
μ dynamic viscosity
ν kinematic viscosity
Subscripts
c droplet in the core; core
E entrainment; equilibrium
D deposition
F film
G gas
j flow core
cr boiling crisis, critical state
L liquid
o beginning of the annular flow, channel diameter
Introduction
The boiling crisis phenomenon occurs in different technical devices, e.g. in nuclear reactors, steam generators and refrigeration evaporators. In the case of the high parameters equipment with two-phase vapour-liquid flow (boiling nuclear reactors, steam generators) the boiling crisis may result in serious damage due to the burn-out of the steam channels. In the low parameters steam generators, e.g. working on low-boiling media, the crisis diminishes the heat transfer intensity and is not desirable for technical reasons. Such generators are of increasing interest. Besides in refrigeration technology, they are used in utilizing the waste heat of chemical processes and will probably be applied in the new geothermal or solar plants with turbines working on low-boiling media.
Boiling is generally characterized by a high heat transfer coefficient, so that a large heat flux can be sustained at a fairly low temperature difference between the heat transfer surface and the boiling fluid. However, if attempts are made to increase the heat flux beyond a certain level, the nature of the boiling process changes radically and the heat transfer coefficient drops dramatically. This limiting heat flux is known as the "critical heat flux - CHF" or as "burn-out" [7, 10]. Numerous investigations performed in the last decade were concerned with the mechanism of the boiling crisis and the methods of its prediction. Satisfactory solutions of this very complex problem have not yet been obtained. Practically no comprehensive analytic studies of the boiling crisis phenomenon exist, except for some simple models. As a substantial number of data does now exist, mostly for water, empirical or semi-emperical solutions [1, 15, 25], as well as a solution based on an annular flow model [6, 9-13, 26-29] were established, these solutions being applicable to any fluid.
Another criterion of dry-out as a limit of mist flow in upstream approach [18] can be very useful in establishing the scaling law for the modelling of the CHF in drop-annular flow.
A general review on recent work in this field is provided for example in [17] and [24]. In this paper an analytic model of the boiling crisis at high vapour quality and the author's investigations ofthat phenomenon are presented. The model employs the analysis of the film dry-out process on the wall which allows formulation of the differential equations of mass balance in the film and the core. The solution of these equations contains the parameters which are determined experimentally, since their theoretical prediction involves serious difficulties.
The theoretical model of the flow boiling crisis
The analytic model of flow boiling crisis in annular flow (at high vapour quality) is presented below. The model is based on the Harwell annular CHF model [26]. The Harwell model based on the film dry-out process involves a complex computer procedure, but gives fairly good results for water and other media, e.g. Freon 12, Fig. 1,2 [9]. In this paper the basis of an analytical model of the boiling crisis at high vapour quality and the author's investigations of that phenomenon are presented [20-24]. Let us consider the two-phase annular flow of mass flux G in a circular channel of internal diameter d0. The liquid film covers the channel wall, and the vapour with suspended droplets of liquid, flows in the core, Fig. 3. The beginning of the annular flow pattern is assumed to be known and from that point the mass balance starts. As a criterion of the CHF the film dry-out on the wall is assumed; however, recent investigations [19] suggest film breakdown into rivulets rather than its entire evaporation. For the sake of simplicity it is assumed that the crisis occurs at a film flow-rate equal to zero. This simplification was justified in [21, 22]. The mass flux of evaporation from the liquid film due to the wall heat flux q, is equal to q/r. This process is accompanied by the droplet entrainment from the film surface E and the droplet deposition onto the film surface D. The "flashing" terms [28] are not considered as secondary effects.



In accordance with the assumed model, the elementary mass changes of the film and the core are:


where

In order to solve the set of equations (la, b) the fluxes d and e must be known. It was assumed

where Κ and C are the parameters not exactly defined at the moment. This assumption differs from the Harwell model, but according to [2, 3, 5, 8, 14, 29], experiments show that the dimensionless deposition coefficient is a function of the concentration of entrained droplets and the rate of entrainment is proportional to the liquid film flowrate and to the gas velocity, Fig. (4, 5). These relations are also expressed by eqs. (2, 3a).


According to [26] the deposition mass flux rate d may be expressed by

where k is the mass transfer coefficient and ct signifies the concentration of liquid within the core and may be determined after [13], as

Steam quality within the flow core is defined as follows:

The general formula describing the mass transfer coefficient k is given in [21] as

where Ck is a function of the fluid properties and the two-phase characteristics (v0, μ0. Τ, pc, vc, dc ...) and m, n are not exactly known exponents*.
Combining equations (2), (3a, b), (4) and (6) one finds

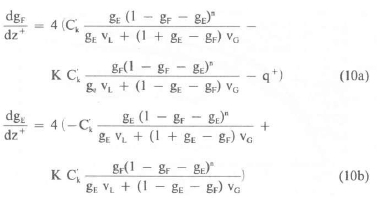
Then from equation (la, b), (7) and (8) a set of nonlinear differential equations describing the dimensionless mass fluxes within the film and the core is obtained
*For small droplets do < 0,1 μm, n = 0,8, m = 0,2, [21].

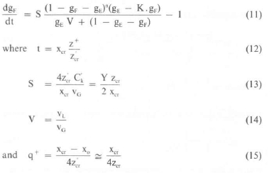
Rearranging equations (10a, b) one obtains the first-order nonlinear differential equation for the film mass flux

According to Hewitt [13], and Whalley et al [26], it was recognised that the annular flow pattern exists at a steam quality equal to 0,01 and if the share of the film flow is about 0,01 of the total mass flow-rate of the liquid phase. However the most recent results [9], show that for high-pressure water-steam flow the annular flow conditions occur at x0 = 0,05. For the higher steam qualities at the onset of annular flow, equation (11) takes the following form:

and other quantities remain unchanged.
Equation (11) or (11*) cannot be solved analytically and, hence, a numerical method was used. As a result the function of the critical steam quality xcr vs the non-dimensional co-ordinate Yzcr for selected values of Κ, n and V was obtained. The results are shown in Fig. 6. For the sake of comparison the results of the analytic solution of the simplified form of equation (11) with the assumption of n = 1 and V = 0 are presented in Fig. 6. The above simplifications allow direct determination of the steam quality in the cross section of crisis (where the film disappears) as a function of non-dimensional co-ordinate of boiling Yzcr (or Yz cr).

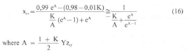
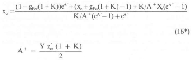
From equation (11)

For large values of Κ (> 20) equation (16) takes a simpler form

which is similar to that determined experimentally by Silvestri (after [4]). From equation (11*)

The influence of the quantities gFo, xo and gFci, is shown in Fig. 7. It is seen from Fig. 6 that the analytic solution of the simplified form of equation (11) given by equation (16) is similar to the numerical solution of the exact equation (11). The further analysis is continued with the simplified model described by equation (16).

The parameter Y has a dimension [m-l] and, as it follows from the analysis performed in [21], is a function of the typical parameters influencing the crisis: mass flux G, channel diameter do, viscosity of the gas phase μG, specific volume of the gas phase vG etc.
The analytic determination of Y for given crisis conditions is rather difficult and it seems most reasonable to correlate that parameter on an experimental basis.
The same is applicable for the parameter Κ in the formula for the mass transfer of entrainment rate e.
The experimental investigations with Freon 21
In order to determine both of these parameters an experimental apparatus was built and the experiments with Freon 21 performed. Fig. 8. From these experiments the dependence of the critical vapour quality xcr vs the boiling section length zcr was established. The length of the boiling section was determined from the heat balance with an additional assumption of xo = 0,01 at the beginning of the annular flow pattern. Subsequently, the curves predicted from the simplified analytic model [eq. (16)] were fitted to the experimental points using the least squares technique. Therefore, as a result of optimisation computations based on equation (16) the best values of the parameters Κ and Y were obtained. It was established that the parameter Κ for Freon 21 varies between 16 and 26 and may be assumed to be a constant equal to 20. Such an assumption slightly affects the analytic curve (16) and substantially simplifies further considerations.

It was mentioned before that the parameter Y is the following function

Moreover, this parameter may be affected by the other properties, not expressed in equation (17), but influencing deposition or the entrainment process, e.g. surface tension σ. Dimensional analysis of Y provides the non-dimensional number Ydo, dependant on the two-phase flow criterial numbers. The following expression for Ydo is proposed.

The constants A, b and b, and the form of the function f (p/pCr)
were determined from the experiments with Freon 21 so that the following formula for Y do was obtained.

In the experiments with Freon 21 the mass flux G and the pressure were variable and the tube diameter do was constant.
The critical vapour quality xcr as predicted by equation (16) and (19) is compared to experimental results in figure 9. It follows that 74% of the experimental points lie within the error of plus minus 10% and all of them within plus minus 25% error.
The comparison of the experimental results for Freon 21 and Freon 12
For the sake of comparison the predictions after the model described here were carried out for the experiments with Freon 12 performed by Stevens, (after [4]). The results, shown in Figs. 10-12 are in very good agreement with the experiments, particularly at lower mass fluxes. In the experiments mentioned above the mass flux G and the tube diameter d„ varied and the pressure was kept constant. The relevant formula for Y for Freon 12 takes the form.




where Κ assumes similar values as before and is also assumed to be equal to 20.
The comparison of the experimental results of Freon 12 with the predictions made after equation (16) with regard to equation (20) shows most of the points lying within error limits of plus minus 15%.
Entrainment and deposition rates
Another important fact appears from analysing equation (2) and (3a) with experimental results for K.
From (2) and (3a) it follows

where Κ can be assumed as about 20 and gFo/gEo = 0,01 (according to Hewitt [13]).
then

which is a local value at the beginning of annular flow and corresponds fairly well with the last results of the calculation of e and d rates, Fig. 13, [29]. It can also be seen that the local entrainment to the deposition rate becomes less in the axial direction toward CHF point which is in agreement with the assumed model and was previously indicated by Hewitt, [13].

Conclusions
Present annular flow models are based primarily on the Harwell model [26-29]. The calculations are made by combining two fundamental relationships for annular flow: the "triangular" relationship and the "interfacial roughness" correlation, [10]. However, although the models have been very successful, they depend on correlations for entrainment rate, deposition and interfacial friction. The current research is focused on this field.
The author's model of CHF in annular flow based on a simple assumption concerning entrainment and deposition rates (e ~ gFandd ~ gE) gives a simple analytical solution similar to recent empirical correlations (Silvestri, after [4]). These assumptions are in agreement with most recent results [3, 5, 12, 29].
The correlations established for Κ and Y [equations (19), (20)] are, presently specific for each medium.
It is hoped that further theoretical and experimental research will result in a more precise identification and determination of these parameters and, possibly, a general relationship valid for different media will be produced.
References
1. Ahmad, S. Y., "Fluid-to-fluid modelling of critical heat flux: a compensated distortion model" Int. J. Heal Mass Transfer. Vol. 16, pp. 641-661, 1973. [ Links ]
2. Andreussi, P., Azzopardi, B. J., "Droplet deposition and interchange in annular two-phase flow". Int. J. Multiphase Flow. Vol. 9, No. 6, pp. 681-695, 1983. [ Links ]
3. Andreussi, P., "Droplet transfer in two-phase annual flow", Int. J. Multiphase Flow. Vol. 9, No. 6, pp. 697-713, 1983. [ Links ]
4. Cumo, M., Maciuca, C, Moronesi, M., Palazi, G., "A burn-out correlation to scale water with Freon", European Two-Phase Flow Group Meeting, Harwell (1974).
5. Dallman, J. C. Laurinat, J. E., Hanratty, T. J., "Entrainment for horizontal annular gas-liquid flow". Int. J. Multiphase Flow, Vol. 10, No. 6, pp. 677-690, 1984. [ Links ]
6. Dobran, F., "Hydrodynamic and heat transfer analysis of two-phase annular flow with a new liquid film model of turbulence". Int. J. Heat Mass Transfer, Vol. 26. No. 8, pp. 119-1171, 1983. [ Links ]
7. France, D. M., Chiang, T., Carlson, R. D., Priemer, R., "Experimental evidence supporting two-mechanism critical heat flux", Int. J. Heat Mass Transfer, Vol. 25, No. 5, pp. 691-698, 1982. [ Links ]
8. Ganic, ,E. N., Mastanaiah, K., "Investigation of droplet deposition from a turbulent gas stream". Int. J. Multiphase Flow. Vol. 7, pp. 401-422, 1981. [ Links ]
9. Grover, R. B., "Two dimensional modelling of annular two-phase flow". Heat Transfer 1982. Proc. of the Seventh Int. Heat Transfer Conf, München, (1982), TF 17.
10. Hewitt, G. F., "Burnout", Stanford Univ. Course, Heat Transfer with Phase Change. August 15-19 (1983).
11. Hewitt, G. F., "Burnout", Two-Phase Flow and Heat Transfer in the Power and Process Industries. A. E. Bergles, J. G. Collier, J. M. Delhave, G. F. Hewitt, F. Mayinger, Hemisph. Publ., Corp., 1981.
12. Hewitt, G. F., "Two-phase flow studies in the United Kingdom", Int. J. Multiphase Flow. Vol. 9, No. 6, pp. 715-749, 1983. [ Links ]
13. Hewitt. G. F., "Mechanisms of Burnout", Two-phase Flow and Heal Transfer, D. Butterworth and G. F. Hewitt, Oxord University Press, 1977.
14. Ishii, M., Mishima, K., "Liquid transfer and entrainment correlation for droplet-annular flow". Heat Transfer 1982. Proc. of the Seventh Int. Heal Transfer Conf., München (1982). TF 20.
15. Katto, Y., Ohno, H., "An improved version of the generalized correlation of critical heat flux for the forced convective boiling in uniformly heated vertical tubes". Int. J. Heat Mass Transfer, Vol. 27, No. 9, pp. 1641-1648, 1984. [ Links ]
16. Katto, Y., "Prediction of critical heal flux for annular flow in lubes taking into account the critical liquid film thickness concept". Int. J. Heat Mass Transfer. Vol. 27. No. 6, pp. 883-891 (1984). [ Links ]
17. Katto, Y., "Critical heal flux". Adv. in Heat Transfer, Vol. 17, ed. by J. P. Hartnelt and T. F. Irvine. Jr., Academic Press, Inc. (1985).
18. Madejski, J., "A new criterion of dry-out in two-phase flow". Int. J. heal Mass Transfer, Vol. 24, No. 10, pp. 1657-1665, 1981. [ Links ]
19. Mikielewicz, J., Moszynski, J., "Minimum thickness of a liquid film flowing vertically down a solid surface". Int. J. heal Mass Transfer. Vol. 19, pp. 771-776, 1976. [ Links ]
20. Sedler, B., Mikielewicz, J., "A simplified model of the boiling crisis". Int. J. heat Mass Transfer, Vol. 24. pp. 431-438, 1981. [ Links ]
21. Sedler, B., "An analysis of the flow-boiling crises in low-boiling media on an example of Freon 21", (in Polish), Ph.D. Thesis, Institute of Fluid Flow Machines, Gdansk, Poland (1977). [ Links ]
22. Sedler, B., Mikielewicz, J., "A simplified analytical model of the flow boiling crisis", (in Polish), Transaction of the Institute of Fluid Flow Machines, No. 76. PWN Warsaw-Poznan (1978).
23. Sedler, B., "Analysis of boiling crises in a flow of low-boiling media". Trans, of the Institute of Fluid Flow Machines. No. 80, PWN Warsaw-Poznan (1981). Presented on Symp. - Technishe Hochschule Karlsruhe, Inst, der Verfahrens Tech., Feb. 1980.
24. Sedler, B., "Boiling crisis phenomenon in two-phase Flow", Int. Report -Dep. of Mech. Eng., University of Stellenbosch, R.S.A. (1985).
25. Shah, M. M., "A general correlation for critical heat flux in annuli". Int. J. Heat Mass Transfer, Vol. 23, pp. 225-234, 1980. [ Links ]
26. Whalley, P. B., Hutchinson, P., Hewitt, G. F., "The calculation of critical heat flux in forced convection boiling". Fifth Int. Heat Transfer Conf. Japan (1974).
27. Whalley, P. B., Hutchinson, P., James, P. W., "The calculation of critical heal flux in complex situations using an annular flow model". Sixth International Heal Transfer Confer.. Toronto, (1978).
28. Whalley, P. B., Lyons, A. J., Swinnerton, D., "Transient critical heal flux in flow boiling". First U.K. National Confer, on Heat Transfer (1984). The Inst, of Chem. Eng. Symp. Ser. No. 86, pp. 805-816.
29. Whalley, P. B., Azzopardi, B. J., Hewitt, G. F., Owen R. G., "A physical model for two-phase flows with thermodynamic and hydrodynamic non-equilibrium". Heat Transfer, 1982, Proc. of the Seventh Int. Heat Transfer Conf. München, (1982), CS 29.
30. Wilkes. N. S., Azzopardi, B. J., Thomspon, C. P., "Wave coalescence and entrainment in vertical annular two-phase flow", Int. J. Mutiphase flow, Vol. 9, pp. 383-398. 1983. [ Links ]











