SciELO - Scientific Electronic Library Online

 
vol.1 author indexsubject indexarticles search
Home Pagealphabetic serial listing  

Services on Demand

Journal

Article

Indicators

    Related links

    • On index processCited by Google
    • On index processSimilars in Google

    Share


    R&D Journal

    On-line version ISSN 2309-8988Print version ISSN 0257-9669

    R&D j. (Matieland, Online) vol.1  Stellenbosch, Cape Town Feb. 1985

     

    Optimum Dimensions and Operating Conditions for Finned Heat Exchanger Tubes

     

     

    D. G. Kroger*

    University of Stellenbosch

     

     

    An iterative procedure based on empirical relations is presented with which both the cost optimized dimensions and operating conditions for circular transverse finned heat exchanger tubes are simultaneously determined. The fin characteristics are found to be dependent on a large number of parameters and may vary significantly for different applications. Similarly optimum operating conditions including fluid velocities, deviate from those generally found in practice.

     

    Introduction

    With the increasing reliance being placed on the atmosphere as a heat sink, the development of ever larger finned tube heat exchangers is inevitable. The potential dimensions of such units in air conditioning and refrigeration installations, power generating plants and in the process industries, justify attempts at optimizing not only the operating conditions at which these heat exchangers will function, but also the dimensions of the finned tubes employed under those particular conditions. It should be noted that these characteristics are interdependent. Previous attempts at optimizing the design of such heat exchangers were all based on commercially available tubing [1], [2], [3], [4], [5] and often included limitations as in the case of Joyce [1] who does not take into consideration the cost of power or the number of operating hours per day, or specifications such as in the case of Schmiechen [2] who prescribed the frontal area of the heat exchanger and Kern [3] who prescribes the number of tube rows. The present optimization procedure takes into consideration all parameters that may affect the capital or operating cost of the heat exchanger, and does not, a priori, prescribe or limit any of them.

     

    Analysis

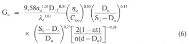
    A number of general relations for the heat transfer coefficient and pressure drop during flow across finned tube arrangements in terms of various geometrical and flow parameters are found in the literature [6], [7], [8], [9], [10]. Some of these are listed in a recent publication by Mircovic [11] whose correlations for Nusselt and Euler numbers form the basis of this analysis.

     

    and

    where Re = G0 Dh/N0 and G0 = p0 ν is the mass flow per unit area at the minimum cross section. The equivalent diameter on which the thermal characteristics and the Reynolds number ReT are based is defined as follows:

    Similarly fluid dynamic characteristics and ReF are based on

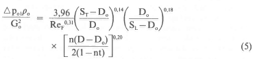
    Equations (1) and (2) are based on experimental results obtained with air flowing through tube banks, eight rows deep. The Euler number in equation (2) refers to a row of these tubes. Since for most practical cases G2o (1 -ρo1,/ρo2)/psoρ0 < < 1 and Δρs0/2ρ0 < < 1 the above-mentioned relation may be simplified to:

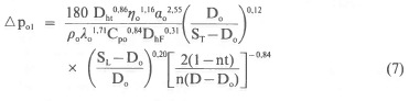
    where Δρol is the static pressure drop across a single tube row, Δρol = Apso/nR. Substitute the expression for the Reynolds number in terms of G0 into equation (1) and find

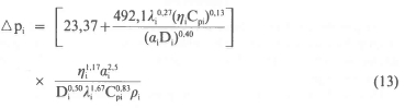
    Upon substitution of equation (6) in equation (5) the following relation for the static pressure drop in terms of the heat transfer coefficient is obtained:

    The pumping power per unit volume of the heat exchanger may be obtained by considering a control volume between two consecutive fins on a finned tube located in a tube bank across which the pressure drop given by equation (7) is maintained:

    where from conservation of mass considerations

    or

    Substitute equation (6) in (9). The resultant expression for v0, together with equation (7) are substituted in equation (8) to give

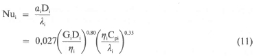
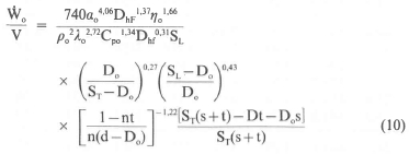
    Referring to the fluid flowing turbulently through the inside of the finned tube, the corresponding Nusselt number is according to Sieder and Tate [12]:

    when physical properties are assumed to remain constant.

    The corresponding pressure drop per unit length of finned tube is [13]

    Substitute Gi from equation (11) in terms of the heat transfer coefficient in equation (12) and find

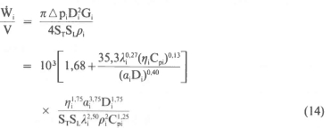
    Selecting a control volume as before, the pumping power per unit volume of the heat exchanger required to maintain the flow inside the tubes is

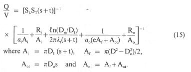
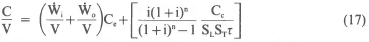
    The heat transfer rate per degree temperature difference between the two streams per unit volume of the heat exchanger is found by applying an energy balance to the previously mentioned control volume located between consecutive fins.

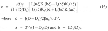
    The efficiency of a circular rectangular fin is [14]

    The time total cost per unit volume to achieve and maintain the above-mentioned heat transfer rate, primarily consists of the cost of the pumping power, material and assembly and can be expressed as

    where Cc is the cost per unit length of the finned tube.

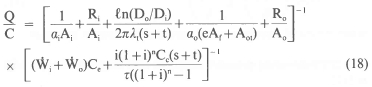
    Upon dividing equation (15) by equation (17) the ratio of the time rate of heat transfer per degree temperature difference per unit cost is

    Since in the case of most industrial heat exchangers it is desirable to transfer as much heat as possible at the lowest cost, a maximum value of this ratio which is usually subject to certain limitations is sought. The procedure is best illustrated by a numerical example.

     

    Application

    Consider the problem where it is desired to cool or heat an air stream by passing it through a closely packed finned tube heat exchanger (ST = D and SL = 0,866 D) with water flowing inside the tubes.

    Practical considerations usually prescribe certain design parameters such as the tube diameter, wall thickness and material, and the fouling factors.

    The finned tube span will to some extent dictate the minimum allowable tube diameter to prevent the tubes from sagging or bending. Similarly the internal fluid pressure may in part be responsible for the determination of the tube wall thickness. If the air stream contains impurities, this will usually limit the minimum fin spacing. The degree of fouling inside the tubes is dependent on the quality of the water and the method of treatment thereof. In areas where the atmosphere or water are very corrosive this will have to be taken into consideration when selecting tube and fin materials respectively.

    Other parameters which are known during the design period, include the envisaged number of hours of operation of the heat exchanger, the cost of the finned tube material as well as the pumping costs. The latter will undoubtedly change during the life of the heat exchanger and a reasonable extrapolation to determine the average value thereof over this period is desirable.

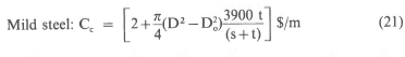
    Let us assume conditions to be such that a mild steel tube having an outside diameter of 20 mm and a wall thickness of 2 mm will satisfy the above requirements. Similarly rectangular circular aluminium fins with a minimum spacing of 3 mm are acceptable. A fouling factor of 0,00002 m2 °C/W is anticipated inside the tube while fouling on the outside surface is negligible. The projected average cost of power over the 15 year life of the installation is 2,5 c/kWh while the cost of steel tubing with aluminium fins can be approximated by the following equation:

    All dimensions are in meters.

    The interest on capital is assumed to be ten per cent per annum. For purposes of illustration all physical properties are assumed to remain constant and are evaluated at a temperature of 20 °C and a pressure of 105 N/m2. The unit is operational 24 hours per day.

    Substitute equations (10) and (14) in (17) and equation (16) in (15), whereupon the ratio of Q/C as given by equation (18) may be found in terms of given values.

    A computer program was written with which the maximum value of Q/C under these conditions was determined. The results for a few different values of a0 are tabulated in Table 1 and a graphical presentation of the ratio Q/C and the heat transfer rate per unit volume Q/V of the heat exchanger as a function of fin diameter are shown in Figure 1. A maximum value for Q/C (470900 W/$/h) is achieved for an external heat transfer coefficient equal to 24,3 W/m2 °C and an internal coefficient of 3253 W/m2 °C. The corresponding air and water velocities are 1,29 m/s and 0,71 m/s respectively. Furthermore the optimum fin has a diameter of 57,3 mm and is 0,124 mm thick. At these conditions the rate of heat transfer per unit volume is 7539 W/m3. A more compact heat exchanger can be constructed by reducing the fin diameter, but this will result in a more costly unit to transfer the same amount of heat.

     

     

    A reduction in the outside tube diameter slightly improves performance on a cost basis. To transfer a prescribed amount of heat, the required heat exchanger volume however increases while the fin diameter decreases, with the result that a larger number of smaller tubes is required. This will increase assembly costs and thereby reduce the potential improvement in performance.

    Since the internal heat transfer coefficient is considerably larger than that on the outside in this case, a reduction in fin spacing is clearly justified as is shown in Figure 2 if the air stream were clean enough to prevent blockages from occurring between the fins. The decrease in fin spacing results in a decrease in air side heat transfer coefficient and fin diameter but increases the effective external heat transfer coefficient aOO as shown in Table 1c.

     

     

    As may be expected any increase in the fouling factor will reduce the effectiveness of the heat exchanger.

    The number of hours per day during which the heat exchanger is operational has a significant influence on its performance. For short running periods a high capital outlay becomes more prohibitive, with the result that higher heat transfer coefficients are justified in order to reduce the size of the core. As the operating time is increased, velocities are reduced in order to prevent energy costs from escalating. The performance improves considerably as running times become longer.

    The total pumping power consumed during the life of any finned tube heat exchanger is a major cost item. Performance decreases with rising power prices but the optimum fin dimensions are not significantly changed.

    Different fin materials strongly affect fin dimensions as shown in Table 1g. Costing of finned tubes was based on the following relations:

    The aluminium fin appears to be the most effective at the specified material prices.

    Table 1h shows that gases having widely different physical properties also require finned tubes having different dimensions for the most effective heat exchanger design. The fin diameter in the case of hydrogen gas is more than four times the outside diameter of the tube while in the case of air it is less than three times this value and about twice in the case of Helium. Furthermore the former is very much thinner than the latter notwith standing its larger diameter.

     

    Conclusions

    The proposed procedure for obtaining an optimum design of large finned tube heat exchangers will not only prescribe the most effective operating conditions but also the corresponding optimum tube dimensions. These results may differ considerably from conventional designs as is illustrated by the numerical example of the air-water heat exchanger. For the material cost relation selected, the optimum fin diameter is almost three times the tube diameter while the fin thickness is much less than that found in most practical applications. Although fins having these dimensions, may in certain cases be difficult to manufacture, or not be strong enough, the results-do present meaningful values on which the final design can be based. Similarly the stream velocities and the corresponding heat transfer coefficients are considerably lower than those found in most industrial applications.

    With the present method the effectiveness of different fin materials is readily compared. It is interesting to note that aluminium is a better fin material than copper in the example investigated. Various gases also significantly alter the heat exchanger dimensions. Fluids other than water inside the tubes may similarly affect the design.

    The limitations of all equations employed should be clearly noted. The relations for finned tube prices can be extended considerably to include the detailed cost break-down of assembly, erection, land area, pumps, blowers etc. For purposes of illustration and because local prices may vary considerably, the simplified equations were considered to be adequate.

     

    Nomenclature

    A area

    Cp specific heat

    C cost

    D fin or tube diameter

    Dh equivalent diameter

    e fin efficiency

    Eu Euler number

    G mass flow per unit area

    I modified Bessel function

    i rate of interest per unit time

    Κ modified Bessel function

    η number of fins per unit tube length

    nR number of tube rows

    Nu Nusselt number

    Pr Prandtl number

    ρ pressure

    Δρ static pressure drop

    Q heat transfer rate

    R fouling factor

    Re Reynolds number

    SL longitudinal tube pitch

    ST transverse tube pitch

    s fin spacing

    Τ temperature

    t fin thickness

    V volume

    ν velocity

    W power

    a heat transfer coefficient

    g dynamic viscosity

    λ thermal conductivity

    p mass density

    τ time

    Subscripts:

    c capital

    e energy

    F fluid

    f fin or free

    i inside tube

    m material

    ο outside or based on outside tube diameter

    s static

    Τ thermal

    t tube

    1 conditions before finned tube bank

    2 conditions after finned tube bank

     

    References

    1. T. F. Joyce, "Optimization and Design of Fin-Tube Heat Exchangers by Experiment and Computer Technique", Journal of the Institution of Heating and Ventilating Engineering, April 1976, pp. 8-16.

    2. V. Schmiechen, "The Economic Merits of Different Types of Finned Tube", The Brown Boveri Review, Vol. 54, 1967, pp. 710-715.         [ Links ]

    3. D. Q. Kern, "Optimum Air-Fin Cooler Design", Chemical Engineering Progress Symposium Series, Vol. 55, No. 29, 1959, pp. 187-193.         [ Links ]

    4. F. W. Lohrisch, "What are Optimum Conditions for Air-Cooled Exchangers?", Hydrocarbon Processing 45, No. 6, 1966, pp. 131-136.         [ Links ]

    5. W. Schoonman, "Aircooler Optimization Aided by Computer", Symposium on Air-Cooled Heat Exchangers, ASME, New York, 1964, pp. 86-102.

    6. A. Y. Gunter and W. A. Shaw, "A General Correlation of Friction Factors for Various Types of Surface in Cross Flow", Transactions of the ASME, Vol. 67, 1945, pp. 543-660.         [ Links ]

    7. S. L. Jameson, "Tube Spacing in Finned-Tube Banks", Transactions of the ASME, Vol. 67, 1945, pp. 633-642.         [ Links ]

    8. J. Vampola, "Vergleich von Rippenrohren aus unterschiedlichen Werkstof-fen für Luftkühler, Chem. Techn., 17. Jg. Heft, Januar 1965.

    9. M. Chatillon, Etude d'échgangeurs de chaleur de centrales nucléaires, EDF-Bulletin du Centre de Recherches d'essais de Chaton, No. 13, 1965.

    10. K. K. Robinson and D. E. Briggs, "Pressure Drop of Air Flow Across Triangular Pitch Banks of Finned Tubes", Chemical Engineering Progress Symposium Series, Vol. 62, No. 64, 1965, pp. 177-184.         [ Links ]

    11. N. Afgan and E. Schliinder, "Heat Exchangers-Design and Theory Handbook", Chapter 20, Scripta Book Company, Washington D.C., 1974.

    12. E. N. Sieder and C. E. Tate, "Heat Transfer and Pressure Drop of Liquids in Tubes", Ind. Eng. Chem., Vol. 28, 1936, pp. 1429-1436.         [ Links ]

    13. D. Q. Kern, "Process Heat Transfer", McGraw Hill Book Co., New York, 1950, p. 53.

    14. P. J. Schneider, "Conduction Heat Transfer", Addison-Wesley Publ. Co. Inc., Reading Mass., 1955, p. 84.

     

     

    * Professor, Head of Thermodynamics Division, Department of Mechanical Engineering, University of Stellenbosch, Stellenbosch, 7600, South Africa, Reprinted from "Proceedings of XVth International Congress of Refrigeration"