Services on Demand
Journal
Article
Indicators
Related links
-
Cited by Google -
Similars in Google
Share
Journal of the Southern African Institute of Mining and Metallurgy
On-line version ISSN 2411-9717Print version ISSN 2225-6253
J. S. Afr. Inst. Min. Metall. vol.124 n.9 Johannesburg Sep. 2024
https://doi.org/10.17159/2411-9717/3321/2024
PROFESSIONAL TECHNICAL AND SCIENTIFIC PAPERS
Flyrock in surface mining - Part 3: Shock wave, stress wave, blasthole expansion
T. SzendreiI; S. ToseII
IDynamic Physics Consultant, Johannesburg, South Africa. ORCID: http://orcid.org/0000-0002-5693-7850
IIAECI Mining Explosives, Johannesburg, South Africa
ABSTRACT
The generally accepted view in rock blasting is that the sources of energy for the fracture and movement of rock reside in the shock wave and gas action resulting from the explosion, and yet the mechanisms by which these sources interact with the rock have remained unclarified. It has also been noted that up to 50% of the work capacity of an explosive released in a blast cannot be accounted for by field measurements of energy partitioning. In this study, we describe a physical model that details the response of rock to both shock wave and gas action. An analytical model based on momentum conservation is derived to describe the dynamics of shock-driven expansion of the blasthole. Radial expansion of the hole is the key parameter that permits the derivation of the following characteristics of rock response to shock loads: hole expansion time; volume of displaced rock; energy consumed per unit volume; expansion energy efficiency; stress wave pulse length; gas pressure in enlarged hole. Soon after the completion of hole expansion, the shock wave degenerates to an elastic stress wave that runs through the burden. Blasthole expansions of between 50% and 300% of diameter are completed in under 1 ms and, depending on rock properties, consume 32% to 42% of the detonation energy or about 55% of the available mechanical (Gurney) energy. Gas pressure in the enlarged holes in five rock types is between 35 MPa and 650 MPa, and drives the mass movement of burden rock.
Keywords: shock wave, stress wave, blasthole pressure, hole expansion, gas action, expansion energy, Gurney energy
Introduction
Szendrei and Tose (2022) demonstrated through aeroballistic calculations of trajectories with air drag resistance that to attain so-called 'wildfly' throw distances of some hundreds of metres, and often exceeding 1000 m, kilogram-sized rocks would require projection velocities of up to 250 m/s. Following a critical assessment of physical processes resulting in rock fracture and throw (Szendrei and Tose, 2023), it was concluded that such high velocities can only be achieved through gas action. Relative to gas action, other mechanisms as postulated in the literature-such as fracture and spalling by stress waves and the impulse of blast pressure propagated through air (or through rock)-are weak sources of momentum transfer.
Rock projection by gas action is made possible by the accumulation of explosion product gases in the blasthole at the end of the detonation process of the blasthole charge. Szendrei and Tose (2023) pointed out that immediately following detonation of the charge and establishment of equivolume blasthole pressure, the blasthole undergoes rapid radial expansion that establishes the magnitude of the gas pressure in the enlarged blasthole. This pressure acts on the blasthole walls and the base of the stemming column, and accelerates both in proportion to the pressure force per unit area. This fundamental motive force manifests itself in various ways by which momentum is transferred to rock in the three recognized sources of flyrock: burden and faceburst; stemming ejection and collar damage; bench-top cratering.
In this paper, a detailed mathematical model is presented for the dynamics of radial hole expansion. This model defines the energy required to drive the blasthole to its final size, as well as the portion of the explosion energy that is still available for further mechanical work on the surrounding rock mass.
Model of blasthole expansion
Conceptual model
An analytical model for the expansion of a deep cavity in a solid medium driven by a high-pressure pulse was presented by Szendrei (1983, 1995, 1998). This model was originally formulated for rod-shaped ultrahigh velocity kinetic energy impactors where the impact energy and momentum are exactly defined by the mass and velocity of the impactor. However, it is not the velocity per se or the kinetic energy of the impactor that expands the impact cavity, but the pressure that is set up at the impactor/material interface. This perception identifies the link between hole growth in rock caused by an explosion or by a high-velocity impact-in both cases, cavity expansion is driven by the impulse of a short-duration high-pressure pulse.
The cavity expansion model was based on two key concepts: (i) when a solid material is exposed to a sudden pressure load much higher than its strength, the material almost instantaneously acquires a velocity as a result of transfer of momentum from the impulsive pressure force; (ii) thereafter, the material expands away from the point of application of the pressure load and its kinetic energy is gradually dissipated against the resistive forces of the surrounding medium. This concept can be made specific to bench blasting by identifying the initial pressure load on the blasthole wall as the equivolume blasthole pressure (Pb), as defined by Cunningham (2006).
The cavity expansion model (Szendrei, 1983) has been verified by various international studies. Naz (1989) showed that model predictions in three types of steel-mild, hard, and ultra-hard- were in close agreement with hydrocode calculations, both in respect of expansion times and final cavity sizes. Held (1995) verified the model by measuring time-resolved cavity formation in water by high-velocity metal jets using a profile synchro-streak technique. Held and Kozhushko (1998) reported carefully arranged and conducted flash X-ray experiments with nano-second resolution using small shaped-charge jet penetrators, and concluded there was good agreement between model predictions and measurements of dynamic cavity expansion in materials as diverse as hard aluminium and glass-fibre reinforced plastic. The agreement between the predicted final expansion radii and the measured values was within a few percentage points in both the Naz (1989) and Held and Kozhushko (1998) studies.
In terms of the above cavity expansion model, the expansion of a blasthole can be conceptualized as follows. As the detonation front propagates axially along the blasthole charge, each axial location experiences a sudden pressure spike. This is not to be confused with the pressure at the head of the detonation front propagating through the column charge. The sudden pressure rise experienced by the blasthole wall is the gas pressure that is established by the expansion of explosion product gases behind the detonation front, more specifically, behind the Chapman-Jouget sonic plane. This can be modelled as a pressure pulse that jumps from zero to pressure Pb at time t = 0 as an impulsive force. As such, it transmits momentum through the skin of the borehole to the surrounding rock equal to the impulse of the force.
Because of cylindrical symmetry, the resulting particle motion in the rock will be radially directed and propagate outward as a stress wave. Mathematical analyses of stress wave propagation in solids (e.g., Kolsky, 1953; Melosh, 1988) have shown that the amplitude of a longitudinal wave (σr) is related to its particle velocity (Vp) and rock density (ρ) by the equation:

where the subscript r indicates that the longitudinal wave is radially directed, and cL is the longitudinal wave velocity (also called P-wave and seismic or sound velocity). Equation [1] holds at the wa-front, as well as at any point behind the wavefront within the stress pulse. The boundary condition for cavity expansion under the action of short-duration high-amplitude pressure forces expresses the equality of the radial (r) stress component in the rock at the surface of the blasthole to the borehole gas pressure (Blake, 1952; Goldsmith & Allen 1955):

where 2a0 is the hole diameter. Rewritten in terms of Equation [1], Equation [2] yields the following equality:

Denoting Vp (r = a0) as Vp0, the initial conditions for cavity expansion are:

Cavity wall equation of motion
The Szendrei (1983) equation of motion of radial hole expansion in cylindrical symmetry is based on the conservation of momentum in the flow of displaced material. When suitably adapted to describe the radial motion of an expanding blasthole, it can be expressed in terms of explosive and rock parameters as follows:

where a is the instantaneous blasthole radius at time t, and A and B are constant groupings of rock and explosive properties:

Y is the strength or resistance of the rock to radial motion. In general, the applicable strength parameter to use is the failure strength when the applied pressure exceeds the elastic limit. The appropriate failure strength for rocks is the unconfined compressive strength (UCS), as pointed out by Cunningham et al. (2007). UCS is also the strength parameter used in cavity expansion analysis when problems of stresses around pressurised cavities in geological materials are considered (Satapathy, 1997).
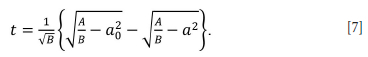
By separation of variables and integration of Equation [5] between the limits t = 0 and t = t, a relation is obtained between the time of expansion (t) and the corresponding expanded hole radius (a), as expressed by the following equation:

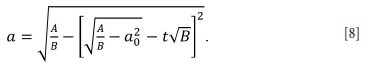
This equation can be inverted and solved for the blasthole radius (a) as a function of time (t):

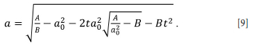
By multiplying out the square, Equation [8] can be rewritten as:

On replacing A and B with their definitions as given in Equation [6], Equation [9] yields a simpler expression:

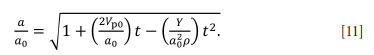
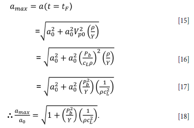
It is informative to write Equation [10] in dimensionless form:

Clearly, the second term under the square root drives blasthole expansion, whereas the third term resists expansion and eventually brings it to rest. The next section considers the questions of how long is the time of expansion and what final hole size is attained in that time.
Predictions derived from cavity expansion model
By manipulation of Equation [10], various features of blasthole expansion may be derived, as discussed below.
Expansion velocity
This velocity at any instant of time is obtained by differentiation of Equation [10] with respect to time, i.e.:

Equations [11] and [12] were evaluated for five types of rock with initial wall velocities defined by Equation [4], assuming an equivolume blasthole pressure of 4 GPa. This value is indicated by the expansion isentrope published by Cunningham et al. (2007) for a bulk emulsion explosive of density 1150 kg/m3. Rock properties required for evaluating the equations, together with the calculated values of initial wall velocity Vp0, are listed in Table I.
Granite refers to Swedish granite, possibly of the same type as used by Lundborg (1975) in his study of flyrock throw distances. The above rock properties are intended to be representative and not definitive, in order to illustrate the general features of hole expansion in various broad types of rock encountered in bench blasting.
While Equations [11] and [12] yield precise values and are, in principle, capable of defining the influence of various parameters on blasthole expansion and its velocity, it is far easier to 'read' the equations and gain insight into the general trends and rates of change by graphically representing the equations. Plots of radial expansion and expansion velocity for 100 mm blastholes are displayed in Figures 1 and 2, respectively. Expansion velocities for plotting are normalized to their initial (Vp0) values.


Figure 1 illustrates two primary features of hole expansion. At first, there is a short period of rapid hole growth, which is followed by a significantly longer period of slower growth. Hard rocks (quartzite, norite, and granite) attain 50% of their final hole dimeters in ~ 50 μs; the period of slow hole growth stretches to 150-210 μs. In contrast, soft rocks (limestone and sandstone) reach 50% hole growth at about 150 and terminate at ~ 650 μs. This contrasting behaviour between hard and soft rocks can be ascribed to the value of Y/p in Equation [11]: the larger the value of this parameter, the quicker is the approach to final hole size.
Figure 2 displays a similar type of behaviour as Figure 1: a short period of rapid reduction of wall velocity and a relatively longer period of slow reduction. Reduction of 50% is attained at about 50 (hard rocks) and 125 (soft rocks), and 80% reduction within 350 (all rock types). Thus, the bulk of hole expansion occurs within fractions of a millisecond in both hard and soft rocks.
The solid symbols in Figure 1 and Figure 2 denote, respectively, the maximum expansion sizes and the associated expansion times, as calculated using the algebraic expressions derived below.
Blasthole expansion time
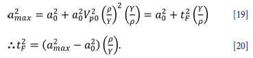
The blasthole diameter reaches its maximum value when the wall expansion velocity drops to zero. By inspection of Equation [12] for velocity, it is evident that the denominator is always a positive quantity: the instantaneous blasthole radius (as per Equation [10]). Hence, Equation [12] for the velocity will decline to zero only when the numerator does, i.e., at a time tF such that:

An important feature of Equation [13] is the direct proportionality of expansion time to blasthole radius. The inverse proportion between Y/ρ noted above in regard to expansion times is evident in Equation [13]. By replacing Vp0 with its definition in Equation [4], the influence of explosion pressure and rock properties on expansion time are revealed:

For a given explosive, tF is inversely proportional to rock strength and seismic velocity, and for a given rock, it is directly proportional to the blasthole pressure. Error analysis of Equations [4] and [14] for Vp0 and tF, respectively, shows that the dominant contribution to the fractional errors of these parameters derive from the uncertainty in borehole pressure (Pb).
Blasthole maximum expansion
Substitution of t = tp in Equation [10] for the blasthole radius and collecting terms yields the following expression:


This formulation of expansion time is particularly useful when field observations of expanded hole diameters (sockets) are available. Rock properties of strength (Y) and density (ρ) are normally known in bench blasting operations.
Expanded blasthole volume
In cylindrical symmetry, the ratio of expanded hole volume (Ve) to its initial volume (V0) per unit length of blasthole is given by:

By Equation [18], this ratio can be rewritten as:

The dimensionless grouping of parameters on the right-hand side is the scaling factor for blasthole volume growth. This grouping identifies the blasthole pressure as a strong driver of volume increase, while rock density and strength can be regarded as resisting volume growth, which is also strongly limited by high seismic velocities.
Length of elastic stress pulse
As described by Szendrei and Tose (2023), the expansion of a blasthole is accompanied by the generation, first, of a shock wave and, second, an elastic stress wave in the rock. These longitudinal waves of compression are driven into the rock for as long as the cavity wall is in motion, this period being tF as defined in Equation [14]. Owing to inelastic energy losses, the shock wave degenerates to an elastic wave close to the blasthole outside the ring of intense fracturing/crushing. Thereafter, the leading edge of the elastic stress wave would travel in time tp a distance equal to the length of the pulse (Lw), i.e.:

A physically more-insightful expression for Lw is obtained when tF is replaced by Equation [14]:

Thus, the pulse length is the product of hole radius and the ratio of blasthole equivolume pressure and rock strength. Over the short distances to various free faces, the influence of frequency dispersion on pulse length would be negligible; the attenuation of amplitude by various dissipative sources of frictional loss would similarly be negligible. Thus, for practical purposes, the pulse length of the stress wave would remain unchanged during its propagation through burden rock; nor would it be influenced by reflection from free faces.
Calculated characteristics of blasthole expansion
Expansion time (tp), relative radial expansion (amax/a0), relative volume (Ve/V0), and pulse length (Lw) were calculated using Equations [14], [18], [21], and [24], respectively. The calculations were carried out for 100 mm blastholes, using the rock and explosive properties listed in Table I. The results are presented in Table II.
Two general observations may be made from the data in Table II: (i) relative to rock and stemming movement as, for example, recorded by high-speed videos, blasthole expansion times are short-less than 1 ms, as compared to some tens of milliseconds for the initiation of rock movement; (ii) for the same explosive, volumetric expansion of blastholes can vary by a factor of 4 due to variations of rock density, sound speed, and strength.
Table II values are specific to 100 mm dimeter holes and can readily be scaled to other hole diameters through direct proportionality. When considering the influence of rock types, radial and volumetric expansion can be scaled in terms of a dimensionless grouping of rock and explosive parameters as identified in Equations [18] and [22].
Energetics of blasthole expansion
Residual pressure
Given the initial (Vq) and final (Ve) values of blasthole volume per metre, the gas pressure (Pf) at the end of blasthole expansion can, in principle, be calculated. This pressure is of considerable importance because it defines the quantity of energy consumed in the process of blasthole expansion, as well as the work capacity of the remaining (residual) pressure that acts on the surrounding rock mass. The polytropic equation of state is commonly applied to track changes in volume and pressure close to the explosion state and yields the following definition of the residual pressure:

where n is the polytropic index and Pb the initial (borehole) pressure. In the high-pressure regime of a detonative explosion, the index is generally taken to be 3. It is not a fundamental constant and the value of 3 is based on empirical observations (or deduced from thermochemical code calculations). The applicable value of n in the case of expanding blastholes will be considered in a later section when discussing its influence on both the residual pressure and the energy of blasthole expansion.
Based on Equations [21] and [22], Equation [26] can be reformulated as follows to display the influence of rock mechanical properties:

By Equation [18], the relative radius ratio can be defined as:

and by substitution in Equation [27]

Equation [28] identifies some general characteristics of the residual pressure: (i) for a given rock type, Pf is directly proportional to the initial borehole pressure; (ii) its value as a fraction of the initial pressure is determined by a grouping of rock parameters (p, Y, cl); (iii) extrapolation of Pf to other rock types can be made in terms of the same grouping of parameters.
Work of blasthole expansion
Knowledge of expansion energy per unit volume of hole enlargement (Ev) is important on two levels. The first and primary reason is that it may bring some clarity to the long-standing issue of energy partitioning in rock blasting. The second reason is that in non-mining but explosives-related technological fields, Ev is recognized as a property of solid materials.
The core issue in the partitioning of blast energy is that about 50% of the energy released by a detonative explosion in the blasthole is unaccounted for when energy expenditures on throwing rock, radiation of seismic waves, and the fracturing of rock are measured in the field (Ouchterlony et al., 2004). This issue has long been clouded by competing views on the roles of detonation velocity, weight strength, chemical energy release, heave and shock energies, and, more recently, the role of Gurney energy, as measured in cylinder expansion tests (Essen et al., 2005; Nyberg et al., 2003). The general conclusion seems to be that a medley of possible causes -such as the diameter effect, non-ideal detonation, the crushed zone, and other (not specified) effects close to the hole may be responsible for the missing energy.
Regarding Ev, a great deal of historical investigation has been devoted to the relationship between the volume of the cavity formed and the energy delivered in high-pressure impact and shock-loading events (Cunningham and Szendrei, 2004). A key finding was that each type of material - typically of engineering interest, such as metals, glasses and ceramics, concrete - displays a characteristic value of Ev that is essentially constant in the hydrodynamic high-pressure regime. Measurements of this value for rocks would be a useful contribution not only to the analysis of rock blasting, but to other engineering disciplines as well.
In this paper, we present a model for calculating Ev in a way that answers many of the questions regarding shock and close-in effects and clearly identifies the portion of the explosion energy that is expended in the loosely termed 'shock' phase of blasting.
The expansion of explosion gases from state 1 (Pb , Vo) to state 2 (Pf, Ve) delivers work (energy) to the surrounding rock mass. Theoretically, this work (Wexp) could be calculated by evaluating the following line integral:

It can be shown that the polytropic Equation [25] yields the following solution:

Equation [31] is the usual expression for the adiabatic expansion of a polytropic gas. It can be made specific to blasthole expansion when the pressure and volume parameters are interpreted in the same way as for the derivation of the expanded hole pressure, Pf, i.e.:

The volume ratio (Vo/Ve) in Equation [32] can be replaced by Equation [21]:

The volume of rock (per metre-hole) radially displaced is:

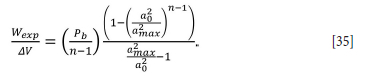
Hence, the energy spent to displace unit volume of rock is the quotient of [33] divided by [34], which, after some simplifications, yields the expression:

As it stands, Equation [35] is not readily applicable to the prediction of the energy of blasthole expansion because, unlike Pb and a0, amax is not known a priori. The ratio of blasthole radii in Equation [35] can be replaced with a combination of Equations [21] and [22]. Thus:

Values of residual pressure and energy consumption per unit volume of displaced rock were calculated by Equations [28] and [36], respectively, for the five types of rock described in Table I and are listed in Table III. Together with these model-calculated values, we list the corresponding values derived from African Explosives' Vixen-i detonation code. A code-generated table listing pressure, specific internal energy, and specific expansion energy over a wide range of relative volumes may be found in Cunningham and Szendrei (2004). There, the detonation and expansion of an emulsion charge of density 1150 kg/ms was analyzed. To allow direct comparisons with Equation [36], specific energy values, as delivered by the code, were converted from MJ/kg to MJ per 9 kg, which is the charge mass per metre of bulk emulsion in coupled 100 mm blastholes.
The correspondence between model predictions and code calculations in Table III varies from poor to very good, the difference between the two methods of calculation being far more pronounced in the case of the final pressure Pf. It may also be noted from Table III that the differences in both Pf and Ev values from code calculations decrease with decreasing values of the volume ratio. For an explanation of these trends, it is necessary to examine polytropic expansion in more detail.
Equation [26] shows that the predicted value of Pf varies with the polytropic index (n = 3) as the third power of the expansion ratio, and would thus be sensitive to small changes of this index. The predicted values of Pf listed in Table III presuppose that the polytropic index n is a constant equal to 3.0. The change in Pf caused by a change (Δn) in the value of n can be established by considering the following ratio, which is based on Equation [26]:

Here, the predicted value of Pf calculated with a reduced value of the polytropic index is normalized to its value when n = 3. Equation [37] is plotted in Figure 3, with An being a parameter lying between 0.1 and 0.5.

It is evident that the 'residual pressure' in the blasthole increases when the polytropic index drops below n = 3. More importantly, the enhancement of Pf is about 50% or less when the volume expansion ratios are less than 3. When the expansion ratio exceeds 4, Pf may double or even triple as the expansion ratio increases towards 10. Such large deviations from the predicted (n = 3) values of Pf are evident in Table III and are to be expected when the effective value of the polytropic index is less than 3 at large expansion ratios. In fact, if n values of 2.30 and 2.44 are chosen for sandstone and limestone, respectively, the correspondence between the Pf values predicted by the polytropic model and the expansion isentrope would be exact.
The relatively small deviations (< 10%) between code and polytropic model predictions of expansion energy, E/V, at all values of the relative volume are due to the way gas expansion energy is delivered with increasing volume in the blasthole. The details of this process are very well described by Esen et al. (2005), who reported measurements of the conversion of explosion gas internal energy to external work using the cylinder expansion technique. By measuring the radial velocity of the cylinder wall, they were able to establish its kinetic energy as a function of its radial expansion and, hence, of the expansion ratio. Their measurements included 11 types of commercial explosives, ranging from pure emulsion to pure ammonium nitrate. In all cases, about two-thirds of the final kinetic energy was delivered at an early stage of expansion, at relative volume ratios of < 2; this fraction increased to 80% in high velocity-of-detonation (VOD) compositions where afterburning had little effect on the conversion of expansion energy to external work. Over such a limited range of expansion, the polytropic model with n = 3 yields quite accurate estimates of expansion energy.
All suppliers use their own version of an ideal detonation code to calculate energies. A review of the technical information supplied by manufacturers shows a wide range of methods of reporting both VOD and energy (Torrance and Scott, 2015). These authors suggested that stronger brittle rock masses will release the explosion gases at higher pressures than weaker softer rock masses. If the 100 MPa cut-off pressure is based on blasting in hard rock (say, igneous or metamorphic rocks), then it would be reasonable to use a 50 MPa cut-off for medium strength rock (such as fresh sandstone) and, say, 20 MPa cut-off for soft rock (such as weathered sandstones or siltstones often found in coal overburden). These general expectations are borne out in Table III.
Table III indicates that residual pressure, here understood as the pressure in expanded blastholes, in rocks of various strengths is of the order of 100 MPa, the range being from 35 MPa to 635 MPa. To give some context to these values, large calibre (150 mm, say) artillery guns firing projectiles of some 10s of kilograms typically operate at 200 MPa to 350 MPa maximum breech pressures. It is to be remembered that even at the lowest predicted value of expanded hole pressure (36 MPa for sandstone), explosion gases have enlarged the blasthole but, at this stage, have not yet delivered any external work to move the rock mass. The upper end of the predicted range (norite at 638 MPa) suggests that violent throw of burden rock may be expected in hard rocks as the high residual pressure forces act on the rock mass.
Regarding expansion work per unit volume (Ev), predicted values in Table III are remarkably similar to values reported in engineering literature for the strengths of various protective construction layers. Energy values in related technological fields are commonly cited in units of kJ/cm3, which is dimensionally and numerically equivalent to GJ/m3, as listed in Table IV. For example, the following cavity expansion energies (in kJ/cm3) have been reported: 0.28-0.35 for concrete and hard aluminium, 0.405 for glass-fibre reinforced plastics, and 1-2.5 for mild to ultra-hard steels. Based on semi-quantitative arguments, Cunningham and Szendrei (2004) suggested that hole expansion would consume about 1 kJ/cm3, a value that Ouchterlony et al. (2004) deemed to be of the right order in comparison with the unexplained losses in blast energy partitioning.
Energy efficiency of blasthole expansion
The efficiency (.-.ε) of energy transfer from explosion energy to rock in the process of blasthole expansion may be defined as the ratio of the energy consumed to enlarge the blasthole to the energy liberated by the detonation of the charge load. This ratio can be formulated as follows:

where Ev is expansion work per unit volume of displaced rock, J/m3; ΔV is displaced rock volume, m3; C is quantity of charge, kg; ΔHd is specific explosion energy, MJ/kg. Both Ev and Δv are evaluated per metre of blasthole.
Equation [38] was evaluated for the five rock types listed in Table I using the following parameter values: Ev values as listed in Table III; ΔV is defined by Equation [34]; C is 9 kg/m-hole; specific explosion energy is 4 MJ/kg (bulk emulsion at density 1150 kg/m3). Predicted values of energy transfer efficiencies are listed in Table IV.
Table IV indicates that roughly 30% to 40% of explosion (chemical) energy is converted to expansion work in the blasthole. An important point to remember is that only a certain fraction of the explosion energy can be converted to mechanical work. This fraction - the Gurney energy - is measured by cylinder expansion testing (e.g., Essen et al., 2005), and is now accepted as a better definition of the work capacity of an explosive than underwater testing and various measures of weight strength. Nyberg et al. (2003) and Ouchterlony et al. (2004) reported relative Gurney energies for a wide range of commercial explosives as being between 40% and 70%, the value for bulk emulsion being 60% to 70%. Adopting 65% as a representative value for bulk emulsion at a density of 1150 kg/m3, the efficiency values in Table IV range from 65.8% to 48.7%, or roughly 55%, when recalculated relative to the available Gurney energy.
On the basis of the above considerations, two conclusions are immediately evident: (i) blasthole expansion is the primary consumer of the available (mechanical) explosion energy; and (ii) it is at least equal to, if not more than, the energy expended in all other external effects of a blast, such as kinetic energy of displaced and thrown rock, radiation of seismic waves, fracture and comminution of rock, and air blast.
These conclusions provide a ready interpretation of some very relevant observations made by Ouchterlony et al. (2004). These workers reported that up to one-half of the available (Gurney) energy is 'lost', i.e., not accounted for in field measurements of blast energy partitioning. They also noted that there is some evidence suggesting that 'crushing' around the blasthole is the dominant energy loss. In the absence of clear ideas on the role of blasthole expansion, phrases such as interaction between detonation pressure/shock wave/blast wave and the blasthole skin, followed by compaction, crushing, plastic flow, and other in-hole and near-zone effects have been commonly used in the literature to indicate that there is some ill-understood and energy-intensive process occurring in the vicinity of the blasthole. Many, if not all, of these allusions can be placed on a firm footing by linking them to the process of blasthole expansion. Model calculations of blasthole energetics, as summarised in Tables III and IV, indicate that a large portion of the missing energy can be attributed to gas expansion work delivered in the blasthole.
At the completion of radial expansion, a reservoir of high-pressure gas exists in the enlarged blasthole that contains a significant portion of the Gurney energy liberated in each hole as the internal energy of detonation gases. This fraction is 35% to 55% (for the rock types modelled) and is the source of further work on the surrounding rock mass, resulting in its displacement and throw.
Seen in this context, flyrock is a hazardous byproduct of a much more general process of rock movement. It has been pointed out (Szendrei and Tose, 2023) that it is neither high pressure nor excessive energy in a broad sense that is directly responsible for the generation of excessive flyrock: rather, it is the excessive momentum that some rock fragments acquire in the course of the general movement of burden, bench top, and stemming under the influence of gas pressure forces.
Clearly, cavity expansion is unable to analyze these late-time processes, but it does define the initial conditions - gas volume, density, pressure and internal energy - in the expanded blasthole, knowledge of which would be a necessary starting point for the analysis of momentum transfer to rock.
Discussion
The key contribution of the concept of blasthole expansion to blast engineering is a much-improved ability to understand how energy is dissipated, leading to improved blast designs. The past decade has seen increasing awareness that the energy sinks of blasting are poorly understood, with general acknowledgement that not more than 50% of explosives' energy could be accounted for from the blasting results; namely, fragmentation, movement, and stress waves.
Cavity expansion is easy to overlook because inelastic expansion of the blasthole is very seldom seen: blasting, by its nature, removes the blasthole. However, this process is highly absorbent of energy, a fact strongly supported by high-velocity impact expansion analysis (where kinetic energy alone creates consistent non-elastic volume per unit of energy) and by broad evidence that blastholes detonated in the solid for "springing" purposes generally double in diameter (Cunningham and Szendrei, 2004), which ties in with the presented cavity expansion theory in hard rocks.
The cavity expansion model presented in this paper leads to the conclusion that detonation in a blasthole causes immediate, shock-driven, non-elastic deformation of the rock, resulting in permanent chambering of the hole. As an illustration of such chambering, Figure 4 is taken from a demolition site in which a blasthole failed to break the reinforced concrete slab: comparison with an uncharged hole shows clearly that the hole expanded from 32 mm to about 50 mm. The blasthole had been charged with Magnum 365 coupled cartridges.



In conventional blasting, the rock burden normally breaks out, so there is a general lack of awareness of this chambering phenomenon among blasting engineers. The full chamber is only detectable where holes are shot in the solid or in any sockets remaining from overburdened holes. The assumption is then often made that the enlarged hole resulted from rock particles ejected from the crushed perimeter zone, but this is not so. Explosive pressures are normally greatly in excess of rock strength, and permanently deform the confining medium by radial displacement of the rock matrix. Further evidence can be seen in the same blast at another hole where the crush zone is also evident (Figure 5).
Similar results were observed by Dr Ewan Sellers of AECI Mining Explosives, who has been involved with collaborative industry research on the development of models to simulate blasting in a variety of rock types and conditions, such as the Hybrid Stress Blast Model, HSBM. The results from some of the work on large standard concrete blocks are shown in Figure 6.
Irrespective of any interpretation in terms of momentum and energy transfer to the rock matrix, the photographs in Figures 4 to 6 illustrate the most basic feature of springing the blasthole. Whether conducted to enlarge the bottom of a blasthole with a small charge or to create a large chamber with a succession of small charges, springing would not be a viable technique were it not for the formation and stability of an enlarged blasthole. The ability to blast a number of charges in the same chamber further underscores the stability of its walls.
Conclusions
A well-established analytical model for calculating the displacement of solid materials in high-velocity high-pressure impact events has been adapted to describe the radial expansion of blastholes following the detonation of the explosive charge load. In essence, the model defines the dynamics of shock-driven blasthole expansion, which, in turn, gives rise to two key physical effects that ultimately determine the fracturing and movement of burden rock.
The first legacy effect is the radiation of an elastic stress wave into the burden when the strength of the initial shock wave has been sufficiently diminished in the vicinity of the blasthole by inelastic rock response. The second legacy effect is the pressure of explosion product gases that remain in the expanded blasthole after the shock- and stress-wave phases. In our interpretation, the stress wave and its various reflections are primarily responsible for fracturing the burden; gas pressure is responsible for the inertial movement of the fractured rock. While it is generally acknowledged in the literature that the fundamental sources of energy in rock blasting reside in the shock phase and the internal energy of explosion gases (e.g., Langefors and Kihlstrom, 1970; Brinkmann, 1990; Olsson et al., 2001), the physical mechanisms by which these sources interact with the rock have not received detailed and quantitative interpretation.
In this study, we present a physical model and quantitative predictions to demonstrate how the shock phase contributes to the delivery of energy to the rock. The key prediction of the model is the radial expansion ratio (amax/a0) or its square, the volume ratio (Ve/V0). A wide range of features of blasthole expansion and rock response are based on this ratio; namely:
tF expansion time
Pf expanded hole gas pressure
ΔV volume of rock displaced radially
Ev energy consumed in displacing unit volume of rock
ε energy efficiency of blasthole expansion
Lw stress wave pulse length
The model yields a definition of amax in terms of explosive and rock properties; namely, a0, Pb, Y, ρ, cl, so that for a given blasthole and explosive, all characteristics of hole expansion can be calculated from first principles.
In broad detail, blasthole expansion is completed in under 1 ms and may be as short as 150 in hard rocks. In this time, the blasthole undergoes radial expansion of between 50% to 300%, resulting in blasthole volumes increasing by factors of 2 to 9. The gas pressure in the expanded blasthole is of the order of 100 MPa, but with a wide range between about 35 MPa and 650 MPa, again depending on rock mechanical properties. Blasthole expansion consumes the largest fraction of the available mechanical (Gurney) energy of detonation product gases. At its completion, about 45% of Gurney energy still remains in the expanded blasthole and is the source of further work on the external rock mass, specifically the movement of the burden and the generation of flyrock.
Hole expansion is so rapid that it is completed even before the burden is fully fractured. Hence, the explosion gases are constrained to remain in the expanded hole (whether they permeate fractured rock or not at a later stage). The terms 'residual pressure and 'remnant energy are misnomers. These expressions give the impression that, at the pressures remaining after hole expansion, the gas lacks the ability to do further work, when, in fact, their work of pushing rock is just beginning. This is supported by visual observations and field measurements using high-resolution data capture of items including velocity of detonation and pressure measurements. These processes in the blasthole are completed prior to any visual indications by high frame-rate camera recordings of rock movement or energy release by gas venting.
References
Blake, F.G. 1952. Spherical propagation in solid media. The Journal of the Acoustical Society of America, vol. 24, no.2, pp. 211-215. [ Links ]
Brinkmann, J.R. 1990. An experimental study of the effects of shock and gas penetration in blasting. Proceedings of 3rd International Symposium on Rock Fragmentation by Blasting. FRAGBLAST90, Brisbane, Queensland, 26-31 August 1990, A.A. Balkema, Rotterdam, pp.55-66. [ Links ]
Cunningham, C. 2006. Concepts of blast hole pressure applied to blast design. Fragblast, vol.10, no.1-2, pp. 33-45. [ Links ]
Cunningham, C.V.B., Sellers, E., Szendrei, T. 2007. Cavity expansion energy applied to rock blasting. Moser P et al. (eds.) Proceedings EFEE Conference of Explosives Engineers, European Federation of Explosives Engineers, Vienna, pp. 27-38. [ Links ]
Cunningham, C.V.B., Szendrei, T. 2004. Cavity expansion by hypervelocity impact applied to blasthole expansion by detonation. Proceedings of 30th Annual Conference on Explosives and Blasting Technique: Vol. 1. International Society of Explosives Engineers, Cleveland, OH, USA. [ Links ]
Essen, S., Nyberg, U., Hiroyuki, A., Ouchterlony, F. 2005. Determination of the energetic characteristics of commercial explosives using the cylinder expansion test. Swebrec Report No. 2005:1. Swedish Blasting Research Centre, Lulea University of Technology, Sweden. [ Links ]
Goldsmith, W., Allen, W.A. 1955. Graphical representation of the spherical propagation of explosive pulses in elastic media. The Journal of the Acoustical Society of America, vol. 27, no.1, pp. 47-55. [ Links ]
Held, M. 1995. Verification of the equation for radial growth by shaped charge jet penetration. International Journal of Impact Mechanics, vol.17, pp. 387-398. [ Links ]
Held, M., Kozhushko, A.A. 1998. Radial crater growing process in different materials with shaped charge jets. Propellants, Explosives, Pyrotechnics, vol. 24, no. 6, pp. 339-342. [ Links ]
Hustrilid, W. 1999. Blasting Principles for Open-Pit Mining. Vol. 2 - Theoretical Foundations. Balkema, Rotterdam. [ Links ]
Kolsky, H. 1953. Stress Waves in Solids. Clarendon Press, Oxford. [ Links ]
Langefors, U., Kihlstrom, B. 1963. The Modern Technique of Rock Blasting, Almqvist and Wiksell, Stockholm. [ Links ]
Ljunggren, C., Stephansson, O., Alm, O., Hakami, H., Mattila, U. 1985. Mechanical properties of granitic rocks from Gidea, Sweden. SKB Technical Report No. 85-06. Swedish Nuclear Fuel and Waste Management Co., Stockholm. [ Links ]
Lundborg, N., Persson, A., Ladegaard-Pedersen, A., Holmberg, R. 1975. Keeping the lid on flyrock in open-pit blasting. Engineering and Mining Journal, no. 5, pp. 95-100. [ Links ]
Melosh, H.J. 1988. Impact Cratering: A Geologic Process. Oxford University Press, New York, pp. 29-45. [ Links ]
Naz, P. 1989. Penetration and perforation of a steel target by copper rods. Measurement of crater diameter. 11th Symposium on Ballistics Brussels, Belgium. pp. 333-341. [ Links ]
Nyberg, V., Arvanitidis, I., Olsson, M., Ouchterlony, F. 2003. Large size cylinder expansion tests on ANFO and gassed bulk emulsion explosives. Explosives and Blasting Techniques. Proceedings of the 2nd World Conference on Explosives and Blasting Technique Holmberg, H. (Ed.). 10-13 September 2003, Prague, Czech Republic, A.A. Balkema Publishers, Lisse, pp.181-191. [ Links ]
Olsson, M., Nie, S., Bergkvist, I., Ouchterlony, F. 2001. What causes cracks in rock blasting? EXPLO2001, 28-31 October 2001, Hunter Valley, NSW, Australian Institute of Mining and Metallurgy, no. 4/01. [ Links ]
Ouchterlony, F., Nyberg, U., Bergkvist, I., Lars, G., Grind, H. 2003. The energy balance of production blasts at Nordkalk's Klinthagen quarry. Explosives and Blasting Techniques. Proceedings of the 2nd World Conference on Explosives and Blasting Technique, Holmberg, H. (ed.) (10-13 Sept. 2003), Prague, Czech Republic. A.A. Balkema Publishers, Lisse, pp. 193-203 [ Links ]
Ouchterlony, F., Nyberg, U., Bergkvist, I., Lars, G., Grind, H. 2004. Where does the explosive energy of rock blasting rounds go? Science and Technology of Energetic Materials, vol. 65, no. 2, pp. 54-63. [ Links ]
Satapathy, S. 1997. Application of cavity expansion analysis to penetration problems Report No. lAT.R 0136. Institute for Advanced Technology, University of Texas, Austin, USA. [ Links ]
Stojadinovic, S., Pantovic, R., Zikic, M. 2011. Prediction of flyrock trajectories for forensic applications using ballistic flight equations. International Journal of Rock Mechanics and Mining Sciences, vol. 48, pp. 1086-1094. [ Links ]
Szendrei, T. 1983. Analytical model of crater formation by jet impact and its application to calculation of penetration curves and hole profiles. Proceedings of the 7th International Symposium on Ballistics, The Hague, The Netherlands, pp. 575-583. [ Links ]
Szendrei, T. 1995. Analytical model for high-velocity impact cratering with material strengths: extensions and validation. Proceedings of the 15th International Symposium on Ballistics, Jerusalem, pp. 123-131. [ Links ]
Szendrei, T. 1998. Link between axial penetration and radial crater expansion in hypervelocity impact. Proceedings of the 17th International Symposium on Ballistics. Midrand, South Africa, pp. 325-332. [ Links ]
Szendrei, T., Tose, S. 2022. Flyrock in surface mining-Limitations of current predictive models and a better alternative through modelling the aerodynamics of flyrock trajectory. Journal of the Southern African Institute of Mining and Metallurgy, vol. 122, no. 12, pp. 725-732. http://dx.doi.org/10.17159/2411-9717/1873/2022 [ Links ]
Szendrei, T., Tose, S. 2023. Flyrock in surface mining-Part 2. Causes, sources and mechanisms of rock projection. Journal of the Southern African Institute of Mining and Metallurgy, vol. 123, no. 12, pp. 557-564. http://dx.doi.org/10.17159/2411-9717/2583/2023 [ Links ]
Torrance, A.C., Scott, A. 2015. What is relative about energy? 11th International Symposium on Rock Fragmentation by Blasting. Spathis A.T., Gribble D.P., Torrance A.C., Little T.N. (ed). Sydney, NSW, AusIMM, 24-26 August 2015, pp. 447-454. [ Links ]
Yumlu, M., Ozbay, M.U. 1995. A study of the behaviour of brittle rocks under plane strain and triaxial loading conditions. International Journal of Rock Mechanics Mining Science & Geomechanics Abstracts, vol. 32, no. 7, pp. 725-737. [ Links ]
Correspondence:
T. Szendrei
Email: szendrei@icon.co.za
Received: 13 Mar. 2024
Revised: 22 May 2024
Accepted: 31 Jul. 2024
Published: September 2024












