Services on Demand
Journal
Article
Indicators
Related links
-
Cited by Google -
Similars in Google
Share
Journal of the Southern African Institute of Mining and Metallurgy
On-line version ISSN 2411-9717Print version ISSN 2225-6253
J. S. Afr. Inst. Min. Metall. vol.124 n.8 Johannesburg Aug. 2024
https://doi.org/10.17159/2411-9717/3201/2024
PROFESSIONAL TECHNICAL AND SCIENTIFIC PAPERS
A formulation for optimum risk in open-pit mining
J. VenterI; J. WesselooII; B. MaybeeIII
IAngloGold Ashanti, Perth, Western Australia
IIAustralian Centre for Geomechanics, The University of Western Australia, Perth, Western Australia
IIICurtin University of Technology, Perth, Western Australia
ABSTRACT
The selection of open-pit slope angles involves high-value decisions with small changes in slope angle, often representing significant changes in net present value. The existing methods used to define design acceptance criteria have evolved from factor of safety to probability of failure (P[F]) to risk consequence to risk frontiers, which represents current state of the art. Current design acceptance measures are based on references to published tables representing the experience and judgement of their authors, who did not specify the purpose of the measures contained therein. As the purpose of the published design acceptance criteria is not specified (i.e., definite stability, marginal stability, optimization, etc.), such tables cannot be used to achieve optimum slope angles that maximize profitability. This paper develops a design acceptance criterion that maximizes profitability by defining a formulation for optimum risk that balances expected risk and reward. The model developed is titled the Mining Risk Model (MRM), and is applied to open-pit slope angle selection through an equation for optimum probability of downside (P[£)]O) that balances the upside or opportunity, the P[F], and the downside impact. This formulation for optimum risk is unique, as many authors have presented objective functions for their risk models that can be optimized, but none of the sources reviewed contained a formulation for optimum risk. The MRM is sufficiently flexible to allow the design performance measure that drives P[F], and hence P[D] O, to be selected based on the intended goal. Furthermore, the essential information that must be known to quantify optimum risk is defined. This allows users to determine what information to collect for optimum risk decisions. A further benefit of the MRM is that slope angle decisions and pit shells can be ranked to select the best option, and a threshold is provided that separates acceptable from unacceptable decisions. Finally, the workflow and information required to determine optimum risk are presented.
Keywords: optimum risk, benefit, probability of failure, Mining Risk Model, slope stability
Introduction
Open-pit slope angles have a direct impact on the economics of a mining project as they determine the amount of waste rock mined, which drives the stripping costs to recover a given amount of ore. Selecting an appropriate slope angle for open pits is consequently a profit maximization decision that requires a balance between the reduction in stripping costs achieved by selecting steeper slope angles and the potential costs of managing slope instability.
According to current practice, the decision to accept or reject a given slope angle is made with reference to a slope design performance measure, such as factor of safety or probability of failure (P[F]) (see the Glossary in Appendix A for definitions). These factors of safety or P[F] are evaluated for acceptance against existing guidelines, such as that of Wesseloo and Read (2009), who provided a summary of guidelines in existence at the time for the Large Open Pit Project (LOP).
Other guidelines for design acceptance criteria (DAC) exist, with the majority being published or summarized in Kirsten (1983), Priest and Brown (1983), Swan and Sepulveda (2000), Sullivan (2006), and more recently Pothitos and Li (2007), Wesseloo and Read (2009), and Macciotta et al. (2020). There are three major shortcomings with all these sources. The first is that they provide no basis for the threshold values they provide. The recommended values are presented based on the authors' experience, or summarized from other sources who based their recommendations on their experiences. The second major shortcoming is that none of these sources declare the inherent performance goal that the threshold value is trying to achieve. It is not clear from the existing guidelines how the P[F] thresholds were selected, or whether adhering to the suggested thresholds will result in slopes that are robustly stable with a high error tolerance, marginally stable, or slopes that are optimized, and, if so, for which attribute, e.g., stripping ratio, net present value (NPV), or other attributes. The last major shortcoming is that they exclude the potential reward for accepting higher risk from their threshold criteria. If optimum risk is to be defined, the upside or U (i.e., opportunity) must also take part in the solution, not only the downside (D).
To overcome these limitations, Terbrugge et al. (2006), Steffen et al. (2008), and Wesseloo and Read (2009) made the argument that the choice of slope angle reflects a business risk, the acceptance of which is the domain of mine or business management, not the geotechnical engineer. These authors all proposed a fault event tree methodology, with Contreras (2015) proposing further refinements to amalgamate the many risks present in a pit, or extraction plan, into a single risk frontier. An example of such a risk frontier is presented later. The risk frontier is a tool to quantify the consequences of slope instability in terms of business risk, which can then be used to inform decisions. These authors showed that open-pit slope angle selection is not an engineering decision, but rather a business decision. The question remains, however, how much business risk should be accepted?
To define the business risk decision, Terbrugge et al. (2006) highlighted several business-related risks flowing from slope instability, which directly impact a mine. As a result of mandatory reporting codes, such as JORC (2012) and SAMREC (2016), an additional business risk should be added to the list in the form of compliance against reporting standards and investor expectations. From a business risk perspective, the following five main geotechnical risks are ever present for overall and inter-ramp scale slopes:
➤ safety of personnel and equipment in the pit;
➤ compliance against reporting standards and investor expectations;
➤ force majeure;
➤contractual default; and
➤ loss of profit.
Loss of profit is unique among these in that greater spending to reduce the risk of loss of profit, in itself, represents an increase in loss of profit. As such, the search for an optimum risk formulation must focus on the risk of loss of profit. Such a value would represent a balance between spending more money on physical measures that reduce loss of profit against spending less money in order to directly reduce loss of profit (i.e., aiming to manage costs). The other four risks can be ameliorated by providing more resources to manage those risks until the desired threshold is reached.
Ryan and Pryor (2000) studied the integration of slope angle decisions into mine cash-flow models and presented a risk model for optimum slope angle assessment. Their analysis considered kinematic inter-ramp failure mechanisms only, with the failure volume for each mechanism converted to failure cost and multiplied by its P[F]. The summed failure costs are then built into the mine cash-flow model schedule and converted to NPV using the corporate discount rate. The analysis is repeated for various slope angles until the maximum NPV is obtained.
The method proposed by Ryan and Pryor (2000) provides a methodology to optimize slope angles, but requires a full integration of slope angles and their associated P[F] with the mine cashflow model schedule to obtain an NPV for each slope angle. The requirement to integrate slope angles into a mine cash-flow model before accepting or rejecting a potential design slope limits the method's application to slopes where such cash-flow models are available, while slowing down the decision process as cash-flow models are iteratively updated.
Heslop and Milne (2003) used a similar approach to Ryan and Pryor (2000), but replaced optimization of the NPV with that of mining volumes to reduce the need for cash-flow model integration. Such a simplified analysis allows slope stability decisions to be made without consultation of the mine's cash-flow model, but still falls short of providing a DAC or a formulation for optimum risk. A further limitation is that the Heslop and Milne (2003) approach cannot be adapted to cater for P[F] based on design performance measures other than factor of safety against slope collapse.
This lack of definition in the existing DAC leaves room for improved DAC that factor in expected consequences of slope instability (as opposed to slope scale-based categories only), a risk benefit trade-off identifying risks that can be accepted and those that should be avoided, and a definition for optimum risk, as opposed to recommended risk thresholds only. Such improvements are necessary if the most profitable slope angles are to be selected.
This paper develops a formulation for optimum risk and consequently optimum P[F], and optimum P[downside] or P[D]O as DAC to determine a general solution for the most profitable strategy to select overall slope angles for open pits. The formulation includes:
➤ the minimum information required to quantify optimum risk for open pits;
➤ a system to rank open-pit slope angle decisions;
➤ a risk threshold separating desirable slope angles or pit shells from undesirable ones;
➤ the formulation of optimum risk, optimum P[D] for open-pit slope stability.
This paper uses concepts from the fields of geotechnical engineering and economics, so a Glossary of Terms is provided as Appendix A to provide selected background information to readers not familiar with the topics. Consequently, technical terms are not explained in text.
A worked example is not provided here as the focus of this paper is the derivation of the optimum risk formulation.
The optimum risk equation and the Mining Risk Model
The optimum risk formulation is derived by first defining the Mining Risk Model (MRM) objective function, followed by the risk-benefit strategy space, and the P[D]O.
Mining Risk model objective function
The MRM is based on the idea of offsetting the probability weighted cost (probability χ expected value) of D against the probability weighted value of U when mining a given overall slope angle in a slope sector.
To achieve this, the expected values of D and U for each slope sector in the extraction plan are summed in the objective function. The objective function for the MRM is defined by the risk-adjusted value, which is given by Equation [1]. The MRM objective function follows the framework of the Dembo and Freeman (1998) model, adapted here for use in a mining context. The main difference is that Dembo and Freeman (1998) require a real option price valuation of U and D, combining subjective probability and value, while the MRM requires an engineering evaluation of U and D, with the P[D] being calculated using analytical techniques, such as slope stability analysis methods and fault/event trees:

where U is the value of a stable slope or upside if all goes well, D is the total cost of slope design failure or downside, and λ is the risk preference factor. U for a slope sector can be expressed as NPV, mining contribution (revenue - mining cost), gross margin (see Equation [4]), or tonnes mined, and is used to evaluate the outcome of the slope angle decision. D can be expressed as the total slope design failure management cost in the same measurement units as used for U. D is used to quantify the consequences should slopes in a slope sector fail, i.e., exceed a slope performance measure threshold at inter-ramp or overall scale in the pit shell under consideration. The risk preference factor λ > 1 denotes risk aversion, λ = 1 denotes risk neutral, and λ < 1 denotes risk-seeking preferences.
P[D] is the probability of one or more slopes in the slope sector experiencing economic consequences as a result of exceeding their design performance measure thresholds. Typically, such signs are evaluated by using performance measures and their associated design thresholds, such as a factor of safety < 1 or exceeding the defined displacement thresholds.
Note that the benefit term includes the slope reliability, which is equal to 1 - P[D], and the risk is scaled up or down using λ to reflect risk appetite.
Quantifying consequences
U and D can be based on any measure of consequence, such as NPV, mining contribution, tonnes mined, gross margin, or carbon emissions, to name a few, provided U and D use the same units of measure. The mining surplus for a pit shell is selected for this paper, given by Equation [4], as it allows a simple isolation of the geotechnical decision while still factoring in the full mining cost. Revenue is the ore units χ ore unit price for a given slope sector in a pit shell and the mining cost is the total mining cost for that slope sector. The advantage of using the gross margin as defined here, as opposed to the NPV, is that it allows the slope angle decision to be decoupled from extraction schedules and cash-flow models, while still factoring in processing cost. Where schedule options are considered important, the present value of the gross margin can be used.

where:

D reflects the total unsatisfactory outcome of slope design failure for the slope sector under consideration and is given by Equations [8] and [9]. For slope stability purposes, D is split into slope collapse costs and costs for infrastructure requiring maintenance or replacement should displacement thresholds at infrastructure locations be exceeded.

In Equation [8], instability management refers to all expected costs that may occur following slope design failure, such as fines, mining license impairments, rehabilitation, and compensation payments.
Slope sector and pit shell risk and reward
The uncertainty for all potential slope failure mechanisms, the decision threshold, and the project timeframe feed into the P[F] for each failure mechanism and infrastructure piece in a slope sector, which is then converted to the P[D] through consideration of post-instability modifying factors that affect the P[D], the consequence of instability, and the ability to plan for contingencies. Event tree methodologies can be used to convert P[F] into P[D].
Where displacement thresholds for a slope sector exist, the P[D] has to be evaluated for both the slope collapse and the slope exceeding displacement threshold cases.
To combine all individual uncertainties for a single slope sector, including uncertainties based on natural events such as earthquakes, into a slope sector P[F] and P[D], fault tree methodologies, such as those presented by Terbrugge et al. (2006) and Steffen et al. (2008), can be used to evaluate the relevant information for use as input into the MRM. For evaluation of the MRM inputs, the information flow between geotechnical parameters, failure mechanisms, P[F], and P[D] are shown in Figure 1.
The risk and benefit for the extraction plan require all slope sector U, D, and P[D] values in a pit shell to be combined into a single risk and benefit value representing the pit shell under consideration. This is achieved through further development of the risk frontier concept proposed by Contreras (2015).
Contreras (2015) showed that all individual slope sector risks for a pit shell can be combined into a single line on a graph, called a risk frontier, with P[Exceedance] on the horizontal axis and D on the vertical axis. An example of such a risk frontier is demonstrated in Figure 2. The advantage of aggregating risks using a risk frontier is that individual risks and all possible combinations of risks are accounted for, giving a complete picture of the downside part of risk. Contreras (2015) posited that risk combinations can be calculated using either a closed-form solution for a small number of risks or alternatively through a Monte Carlo simulation, which is easier to use for larger numbers of risks. He also provided an equation for combining different risk frontiers into a single representative risk frontier. The example provided by Contreras (2015) used extraction schedule years for individual risk frontiers, which were then combined into a risk frontier for a life-of-mine plan. For the MRM, individual risk frontiers are created for each slope sector by applying Equation [3] to each failure mechanism at overall and inter-ramp scale, and then combining the results into a risk frontier using the calculations provided by Contreras (2015). The slope sector risk frontiers can then be combined into a pit shell risk frontier using Contreras (2015).

Contreras (2015) did, however, not make allowance for a benefit frontier, which is required for the MRM. The benefit frontier for each slope sector and pit shell can be calculated from the risk frontier using Equation [2], with U determined by applying Equation [4]. The risk frontier then represents the cumulative probability diagram of D, and the benefit frontier the cumulative probability diagram of U.
In cases where slope sector U and D values are defined by a number of simulations, such as obtained when constructing the risk and benefit frontiers using a Monte Carlo process, risk is given by the mean simulation value of all simulation outcomes below the threshold value, and the benefit is given by the mean simulation value of all simulations with outcomes above the threshold value. Using a Monte Carlo process to generate the risk and benefit frontiers allows correlations and other relationships between individual risks to be catered for.
Risk preference factor λ
Utility curves of wealth, as defined by the utility theory introduced by von Neumann and Morgenstern (1944), present the net worth in financial units on the horizontal axis and the utility (subjective value for the decision-maker) on the vertical axis. The MRM includes utility in the form of the risk preference factor λ applied to D, which represents risk appetite. As λ is an escalation factor applied to D, it allows each downside dollar to be scaled up or down compared with an upside dollar. It is possible to apply the MRM using a calibrated utility curve, but that requires first establishing
a utility curve, which is often not available. In contrast, λ is easy to estimate and can be measured to some degree of accuracy through production records by comparing the cost of mining intact rock with that of mining failed material with consideration of all factors that influence the cost of mining failed rock. The most important of these are secondary blasting, production delays, schedule gaps, and access re-establishment.
Mining Risk Model risk-benefit strategy space
In the context of the MRM, the word benefit communicates the risk-adjusted value of U, and risk communicates the risk- and utility-adjusted value of D, whereas U and D reflect the unadjusted values.
Visualization of the MRM objective function in a strategy space can occur in a number of ways, depending on the decision that needs to be made. As this section focuses on the geotechnical risk of a pit shell comprising slope sectors, the strategy space presented in Figure 3 shows risk plotted on the vertical axis and benefit on the horizontal axis. The risk and benefit plotted in Figure 3 are shown with dimensionless monetary units from 0 to 100; however, the scale can be adjusted to suit the size of the pit shell and slope sectors (i.e., $millions, $10 millions, $100 millions, tonnes, etc.).
The risk acceptance threshold (RAT) shown in Figure 3 represents a line in the strategy space with a gradient of one dollar of risk ($R) for one dollar of benefit ($B), or a risk-to-benefit (RB) ratio of 1. It follows that slope sector designs or pit shell designs with a RB ratio above the RAT represent slope designs that are expected to cost more than the revenue they generate on a risk-adjusted basis, and should not be pursued: pit shell designs above the RAT can be considered to be gambles. Conversely, pit shell designs below the RAT are expected to cost less than the revenue generated and are expected to be profitable: risks or decisions below the RAT can be considered calculated risks. The further below the RAT a pit shell design lies, the more profitable it is expected to be. For this reason, lines of constant RB ratio are shown as solid grey lines to allow pit shell designs below the RAT to be ranked. For the purpose of this paper, the strategy space shown in Figure 3 is called the MRM risk benefit strategy space.
To evaluate a pit shell design, each slope sector design and pit shell design can be plotted as points in the MRM strategy space, presented as Figure 3. To illustrate, two fictitious open pit designs A and B are shown with four slope sectors each. Both pits have positive gross margins, unadjusted for risk.
The Pit A design, however, has a negative risk-adjusted value due to higher slope sector P[F] values, causing it to lie above the RAT, and so should not be pursued in its current form. It may be possible to change Pit A by changing the attributes of slope sectors A1 and A2 because they lie above the RAT, meaning they do not add value to the portfolio. To understand what needs to be changed, the factors that drive risk or benefit can be considered. It may be that with flatter slope angles or a shallower pit and the associated decrease in P[F], sectors A1 and A2 may improve. Alternatively, the P[D] can be decreased by desensitising sectors A1 and A2 to slope instability. Depending on the cause of the high risk, this may mean maintaining larger stockpiles, opening up additional pits or mining fronts to maintain ore feed in case of instability, or creating an alternative or additional access ramp. If all amelioration options have been explored and sectors A1 and A2 remain above the RAT, Pit A should be removed from the extraction plan because it is expected to cost more than its value, even though it has a profitable gross margin.
Pit B has a risk-adjusted value below the RAT and so is worth pursuing. However, it may be that additional value can be gained by re-considering the pit geometry of Sector B1, because it lies above the RAT. Where sector B1 cannot be moved below the RAT, it may be worth keeping it unchanged in cases where such a slope sector unlocks value in other slope sectors (provided the pit as a whole lies below the RAT), such as providing access ramps or contingency ramps for other slope sectors. Such relationships need to be considered when visualizing the MRM. Where a slope sector lies above the RAT, but allows value in other slope sectors below the RAT to be unlocked, it is worth considering all slope sectors in an open pit together as a unit to make sure the risk accepted is more than offset by the benefit gained, and the combined value remains below the RAT.
Should a slope sector lie on the RAT, the extraction plan should be indifferent to its inclusion, except where it enables additional value in other slope sectors to be unlocked.
The MRM visualization is used to evaluate a pit shell design on a risk-adjusted basis and to rank slope sectors in terms of risk efficiency. The most risk-efficient slope sector is the one with the lowest RB and represents the efficient frontier (see Figure 3 for illustration). Slope sectors above the efficient frontier can be targeted for further optimization to improve the overall pit shell risk efficiency and overall profitability.
Such an understanding can prevent mine plans such as Case A in Figure 3 from being accepted where the combined RB ratio for Pit A lies above the RAT, in spite of two profitable sectors and two expected loss-making slope sectors. Both pits can display positive mining surplus values if geotechnical risks are not accounted for in the design and may seem like profitable pits. After risk adjustment, however, only one of the two pits appears profitable.
Mining Risk Model and the optimum P[D]
The previous section applied the MRM to pit shell risk for an extraction plan to create the MRM strategy space (Figure 3). For a practical application to slope stability analysis, a target P[D] is needed for slope sector stability analysis. This section applies the MRM to the derivation of an optimum P[D], or P[D]O, for a single slope sector, and provides an MRM visualization for slope stability.
The P[D]o occurs when the risk-adjusted value for the slope scenario being considered is maximized. To maximize the risk-adjusted value, the benefit must be maximized and the risk minimized by changing the factors that drive the P[D] until the P[=D]o is reached. This can take the form of changing the slope angle, reducing the factors that drive uncertainty about the stability of the slope, or reducing the impact should the slope fail. As both benefit and risk are functions of, among others P[F], the risk-adjusted value can be maximized by defining the RB ratio, as in Equation [10]:

For a slope scenario where the benefit is greater than the risk, the RB ratio will be less than 1; where the risk is equal to the benefit, the RB ratio will equal 1; and where the risk is greater than the benefit, the RB ratio will be greater than 1. The RB ratio can be minimized by changing the P[D] and its associated U and D values until the minimum RB ratio is achieved. The minimized RB ratio will give the same value for P[D] as simply maximizing the risk-adjusted value.
Evaluating the full benefit and risk terms in the RB ratio may include many U and D cost factors in the gross margin that have no direct bearing on the optimum P[D] for a slope, which is unnecessarily cumbersome. These additional factors can be removed from the calculation by considering a process starting with a scenario comprising a very flat slope and consequently a low P[D].
In such a case, the RB ratio is not optimized and the P[D] is below optimum. The slope angle is then increased in small increments, say 1° increments, and the benefit of increasing the slope angle is calculated for each increment as well as the risk associated with increasing the slope by an increment, as per Equation [11]. For each increment, if the incremental RB ratio is less than 1, the incremental benefit is greater than the incremental risk and the new steeper slope should be accepted over the previous one. As each slope angle is evaluated in the process, the P[D] will increase with increasing slope angle, resulting in a higher incremental RB ratio for each incremental step until an incremental RB ratio of 1 is found. This point indicates a state of equilibrium where the incremental benefit is equal to the incremental risk, which represents the minimum RB ratio because further increases in P[D] will result in smaller incremental benefits and larger incremental risks, causing a higher RB ratio.

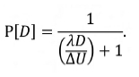
In practice, it is not necessary to follow this process for every slope option. A formulation for the P[D]o for all slope stability cases where incremental changes in D with changing slope angles can be considered small (i.e., less than the confidence interval for the estimation of D is derived in Appendix B, and presented as Equation [12]:

where ΔU is the incremental difference in U with each incremental slope angle increase.
This formulation is derived from Equation [11], as proposed above, for cases where the value of D is the same for each increment and the value of U increases with increasing slope angle increments. These assumptions are representative of most slope scenarios where it can be demonstrated through sensitivity analysis that the estimation of D is insensitive to changes in slope angle due to the uncertainty in estimating D. The resulting P[D]o is presented as Equation [12].
In Equation [12], λD/ΔU) can be reflected as a dimensionless ratio for universal application to calculate the P[D]O. The result is illustrated as Figure 4A, which shows λD/ΔU) plotted on the vertical axis and P[D]O on the horizontal axis to provide the optimum risk strategy space. To allow greater precision for many practical applications when using Figure 4A, Figure 4B is included, showing Figure 4A zoomed to a maximum λD/ΔU) value of 50 and maximum P[D]O of 20%.
To use Equation [12] or Figure 4, ΔU can be obtained through mine planning sensitivity analysis that provides the value-add for each degree of increase in the slope angle from a base case for a given slope sector. The value of D can be obtained by estimating the likely slope failure volume and then estimating the cost of managing the slope instability. The λ factor can be obtained after discussion with mine management and consideration of alternative options for ore feed. Based on this information, the geotechnical inter-ramp and overall scale slope stability analyses can then target the P[D]O calculated using Equation [12] or read from Figure 4. As there is a difference between the P[F] and P[D], as shown in Figure 1, the relevant fault trees need to be consulted to back-calculate the optimum P[F] from the P[D]O. This process requires the pit layout, such as ramps and infrastructure, to be evaluated before an optimum P[F] can be determined.
Mining Risk Model in practice
To apply the MRM in practice, a process is required to ensure the correct data are gathered and processed in an appropriate manner before decisions are made. Such a process is presented in two parts as Table I, using the same order as they are likely to be applied. The first part (Steps 1 to 4) establishes baseline properties and identifies the optimum slope angle for input into mine optimization software. The second part (Steps 5 to 12) optimizes the pit shell as a whole and quantifies the MRM risk-benefit for a pit shell.
The process presented in Table I is used to optimize and evaluate a pit shell in terms of risk-benefit by maximising the benefit per unit of risk. The process first individually optimizes each slope sector, then combines the optimized slope sectors into an optimized pit shell. The pit shell is then evaluated against the RAT to determine if it is expected to be profitable on risk-adjusted basis. As the individual slope sectors are already optimal, pit shells above the RAT cannot be further optimized by changing slope angles, but may be desensitized to risk by changing the risk factors that drive the pit shell above the RAT. Examples of such risk factors may be the location of external infrastructure, such as public roads or crushers, or the location of ramps in high-risk slope sectors.
Discussion
As the MRM strategy space is based on risk and benefit, it can be used to benchmark the risks associated with pit shells against those representative of other scenarios, such as playing the lottery and gambling in a casino. To illustrate this, several gambling risks were added to the MRM strategy space and are presented as Figure 5.
As expected, the Australian Powerball lottery displays a high level of risk with an RB ratio of 9 when the jackpot is $20 million, placing it well above the RAT. Closer to the RAT are casino risks such as playing craps, where using "7 Out" bets has an RB ratio of 1.25, and roulette in a European casino (one zero on the wheel), where placing bets in the first column has an RB ratio of 1.04. Both these values are close to the RAT, which has an RB ratio of 1. For the less sophisticated gambler, the Australasian Gaming Council, which regulates gambling, mandates a Minimum Return to Player payout (RTP) of 90c to the dollar for, among others, slot machines in Western Australia (Australasian Gaming Council, 2019), which translates to an RB ratio of 1.11. The proximity of gambling risks to the RAT suggests that project acceptability thresholds in terms of risk-benefit should be placed well below the RAT, as opposed to near the RAT, to allow for changes in conditions as mining progress. For example, a pit shell with an RB of 0.9 (below the RAT) can easily move to an RB of 2.25 (above the RAT) if the P[D] changes from 10% at design to 20% during implementation as a result of poorly managed blasting damaging the slope. An RB of 2.25 places the pit shell risk between a craps game and the Powerball-a risk level unlikely to impress investors.
The implication is that accepting risks above the RAT is not only expected to lose money in the long run (i.e., has a negative expected net value), but can be more risky than gambling in a casino. Consider the shareholder response to an executive team declaring that their extraction plan geotechnical risk is riskier than roulette or playing a slot machine.
The RAT separates desirable slope angle choices (calculated risk) from undesirable slope angle choices (gambling). The difference between them is that: slope angles selected below the RAT (i.e., calculated risk) may result in costly slope collapse from time to time, but on average, will remain profitable; while slope angles selected above the RAT (i.e., gambling) may result in low cost slopes from time to time, but on average, will remain unprofitable.
Finally, the derivation of the P[D]o equation in Appendix B, which is presented as Equation [12] meets the fourth goal for this paper. To the best knowledge of the authors, this is the first equation for P[D]o derived in any discipline.
The advantage of using optimum P[F] and optimum P[D]o, as opposed to experiential guidelines or rigorous cash-flow integrated sensitivity studies, is that the lowest RB ratio is achieved without having to carry out an elaborate sensitivity study. The experiential guidelines published to date, for instance Macciotta et al. (2020) and Wesseloo and Read (2009), are based on an evaluation of P[F] with a simple categorization of risk and no consideration of reward. As reward is absent, such methods cannot be used to demonstrate that the proposed risk acceptance has a positive expected value, i.e., is below the RAT or represents an optimum. This deficiency is demonstrated by Figure 6, which compares the MRM P[D]o with the maximum acceptable P[F] given by many existing guidelines, as summarized by Wesseloo and Read (2009). In Figure 7, the existing guidelines cater for P[F] values ranging from 5% for overall scale slopes with high consequences of instability to 25% for inter-ramp scale slopes with low consequences of instability. As these guidelines are agnostic of utility or upside, it is possible to select P[F] values that are above or below the optimum for many slopes, and even worse, those that have negative expected values. The typical ranges of λD/ΔU) for open pits, shown in Figure 6, demonstrate that if the Wesseloo and Read (2009) or Macciotta et al. (2020) guidance is followed, it is more likely that a P[F] will be selected above the optimum than below the optimum.
This is problematic because making decisions such as accepting pit shells with negative expected values on a regular basis will result in a downturn in company profitability and resultant loss in shareholder value. Where P[F] values above optimum are accepted, risk is accepted without being suitably rewarded; where P[F] values below optimum are accepted, additional value is destroyed. Consequently, a P[F] value on or near optimum with a positive expected value is the only défendable design criterion for the risk of loss of profit in open-pit slopes.
When using the optimum risk concept to select slope angles and pit shells in practice, additional factors that were outside the scope of this paper must also be considered.
Safety, compliance, contractual default, and force majeure outcomes were not evaluated in this paper because their evaluation follows an entirely different line of reasoning.
The loss-of-profit outcome is akin to the question of whether a particular investment is a good deal, but it does not address the question of whether one can afford the good deal. For example, a mansion in a billionaire's suburb may be selling at a bargain price, but that does not mean one can afford it. The "can I afford it?" question is typically addressed by most risk assessment systems: this paper only addressed the "is it a good deal?" question.
The development of the MRM presented in this paper merges economics and geotechnical engineering and, as such, requires a lot of additional theory to be presented in more detail than would have been needed for most papers to cater for the different backgrounds of readers. The content can benefit from a practical example to demonstrate the process and application thereof. This was excluded to limit the length of the paper, but is planned for future publication.
The calculation of two of the inputs required is not straightforward. These are the P[F] and the utility factor λ. While a significant body of work is available on the calculation of P[F], the same is not available for λ. In both cases, more specific guidance to open-pit slope stability will add value.
Conclusion
The most important shortcomings of existing DAC are that they provide no basis for the threshold values they provide, they do not specify the inherent performance goal that the threshold value is trying to achieve, and the potential reward for accepting risk is excluded.
The MRM developed in this paper addresses these shortcomings in current state-of-the-art slope performance indicators by achieving all four goals defined for this paper. The minimum information required to calculate the optimum risk using the MRM is defined as:
➤ a measure of performance for the decision outcome (factor of safety or displacement thresholds for infrastructure);
➤ a benchmark separating upside from downside, such as factor of safety = 1 and/or a displacement threshold for infrastructure;
➤ selecting a timeframe within which the outcome will be measured;
➤selecting the utility factor λ;
➤A P[D] based on an event tree starting with the P[F] as top fault that incorporates the relevant uncertainties and likely loss-of-profit impacts of slope instability.
The MRM provides a system to rank geotechnical risk, a threshold to separate desirable from undesirable risk, and a formulation for optimum risk. Consequently, the MRM can be successfully used to understand, quantify, and optimize the geotechnical risk related to open pits. In this capacity, the MRM can also provide P[F] analysis targets for open-pit slope design. The MRM relates the slope risk in such a way that business decision makers can use the MRM strategy spaces to understand, select, and communicate risk and benefit targets that can be related to geotechnical design performance indicators, such as P[F] and probability of exceeding displacement thresholds.
Acknowledgements
This paper is dedicated to the memory the late Dr Oskar Steffen, friend and mentor to Julian and Johan. Oskar was one of the founders of SRK Consulting who pioneered the ideas of designing open pits and mine schedules on the basis of Risk and Consequence. Oskar introduced us to Risk Consequence-based design and encouraged us to continue developing this field.
We thank Mr Emrich Hamman, Vice President Geotechnical Engineering, at AngloGold Ashanti for supporting Julian's research presented in this paper and his feedback and encouragement. Julian also thanks his wife Tia, and two children: Julian Jnr and Isabella for all their support during the late-night work sessions.
This research is supported by an Australian Government Research Training Program (RTP) Scholarship.
References
Australasian Gaming Council. 2019. Western Australian Appendix to the Australian/New Zealand Gaming Machine National Standard. Perth: Australasian Gaming Council. [ Links ]
Contreras, L.F. 2015. An economic risk evaluation approach for pit slope optimization. Journal of the Southern African Institute of Mining and Metallurgy, vol. 115, pp. 607-622. [ Links ]
Heslop, T.G., Milne, P.R.G. 2003. A practical example of a risk-based approach to the design of an open pit. Fifth Large Open Pit Conference, Kalgoorlie. [ Links ]
JORC. 2012. Australasian Code for Reporting of Exploration Results, Mineral Resources and Ore Reserves (The JORC Code). The Joint Ore Reserves Committee of the Australasian Institute of Mining and Metallurgy, Australian Institute of Geoscientists and Minerals Council of Australia. [ Links ]
Kirsten, H.A.D. 1983. Significance of the probability of failure in slope engineering. The Civil Engineer in South Africa, vol. 25, no. 1, pp. 17-27. [ Links ]
Macciotta, R., Creighton, A., Martin, C.D. 2020. Design acceptance criteria for operating open-pit slopes: An update. CIM Journal, vol. 11, no. 4, pp. 248-265. https://doi.org/10.1080/19236026.2020.1826830 [ Links ]
Pothitos, F., Li, T. 2007. Slope design criteria for large open pits - case study. Slope Stability 2007, Perth. [ Links ]
Priest, S.D., Brown, E.T. 1983. Probabilistic stability analysis of variable rock slopes. Transactions of the Institute of Mining and Metallurgy (Section A Mining Industry), vol. 92, pp. A1-A12. https://doi.org/10.1016/0148-9062(83)90243-7 [ Links ]
Ryan, T.M., Pryor, P.R. 2000. Designing catch benches and interramp slopes. Slope Stability in Surface Mining, Society for Mining, Metallurgy and Exploration, Littleton, Colorado. [ Links ]
SAMREC. 2016. The South African Code for the Reporting of Exploration Results, Mineral Resources and Mineral Reserves (The SAMREC Code). Samcodes Standards Committee (SAMREC). [ Links ]
Steffen, O.K.H., Contreras, L.F., Terbrugge, P.J., Venter, J. 2008. A risk evaluation approach for pit slope design. 42nd US Rock Mechanics Symposium, San Francisco. [ Links ]
Sullivan, T.D. 2006. Pit slope design and risk - a view of the current state of the art. International Symposium on Stability of Rock Slopes in Open Pit Mining and Civil Engineering, Johannesburg. [ Links ]
Swan, G., Sepulveda, R.S. 2000. Slope stability at Collahuasi. In W.A. Hustrulid, M.K. McCarter, D.J.A. Van Zyl (eds.). SlopeStability in Surface Mining, Society for Mining, Metallurgy and Exploration, Littleton, Co. pp. 163-170. [ Links ]
Terbrugge, P. J., Wesseloo, J., Venter, J., Steffen, O.K.H. 2006. A risk consequence approach to open pit slope design. Journal of the South African Institute of Mining and Metallurgy, vol. 106, pp. 503-511. [ Links ]
von Neumann, J., Morgenstern, O. 1944. Theory of Games and Economic Behaviour. Princeton University Press. [ Links ]
Wesseloo, J., Read, J. 2009. Acceptance Criteria. In J. Read, P. Stacey (eds.). Guidelines for Open Pit Slope Design, CSIRO Publishing, Australia, pp. 221-236. [ Links ] ♦
Correspondence:
J. Venter
Email: JuVenter@AngloGoldAshanti.com
Received: 23 Nov. 2023
Revised: 30 May 2024
Accepted: 15 Jun. 2024
Published: August 2024
ORCID:
J. Venter http://orcid.org/0009-0008-5456-8319
Appendix A - Glossary of terms
Corporate discount rate - the official corporate rate at which cash flows are discounted to account for the time value money for project evaluation purposes.
Downside - is the expected value of all outcomes that are below the threshold value for a single scenario in a risk-benefit analysis.
Expected value - is the average of a group of outcomes weighted by their individual probabilities of occurrence within that group, i.e., the probabilities of occurrence for outcomes in a group must sum to 100%.
Factor of safety - Factor of safety in engineering is generally defined as the capacity over the demand. For slope stability this often takes the form of the sum of resisting forces divided by the sum of driving forces for a given failure mechanism, or the allowable displacement divided by the calculated displacement. The factor of safety for a given slope can be calculated with standard methods given the slope geometry, geology, and geotechnical properties.
Failure mechanism - is a technical term denoting how slopes can cease to perform their intended function. Open-pit examples of failure mechanisms are rotational failure through rock mass, plane failure along bedding, wedge failure along geological faults, complex failure through a combination of rock mass and faults, and excessive displacement by squeezing of soft layers. Slopes that fail typically fail through only one failure mechanism, however all credible failure mechanisms are considered at design stage.
Force majeure - is a French term meaning greater force and is used in mining to describe an event that results in a mine ceasing operations. In the open-pit context, an example would be a large ramp slope collapse that requires more capital to remediate than a mine can afford.
Large Open Pit Project (LOP) - is a research committee funded by many of the largest mining houses that drives geotechnical research for open-pit mining.
Mine cash-flow model - to evaluate and operate mining projects the expected costs and revenues are defined, and built into a mine cash-flow model to evaluate project feasibility, and to plan future cash flows. See also NPV.
Net present value (NPV) - is the present value, after accounting for the time value of money and the corporate discount rate, of a series of cash flows representing a project.
Outcome - is the value of the performance measure for one single-point estimate in a group of single-point estimates that serve as input into a probabilistic analysis.
Performance measure - is an index describing the state of nature selected to analyse the outcomes in a scenario, in order to understand the performance of a given scenario. Common performance measures are factor of safety, displacement at defined locations, NPV, and gross margin. Note that a probability such as P[F] is not a performance measure because it does not describe a state of nature, but a state of knowledge.
P[D] - is a variable that quantifies the uncertainty that an outcome in a scenario or group of scenarios falls below the respective threshold values for each scenario. Where multiple scenarios are considered, for instance all design sectors in a pit, the P[D] is the probability of at least one scenario materialising an adverse outcome. P[D] = 1 - Reliability.
Probability of failure or P[F] - is a variable that quantifies the uncertainty that the performance measure will fall below the threshold value for a given scenario. P[F] = (sum of all outcomes < threshold value)/(sum of all outcomes) for a given scenario. P[F] can be defined for any chosen performance measure, e.g., factor of safety or displacement threshold.
Probabilistic analysis - is an analysis of a scenario by combining all the outcomes of that scenario in such a way that the P[F] can be calculated. Several methods are available for a probabilistic analysis, such as Monte Carlo, point estimate, and Taylor series.
Reliability - is a variable that quantifies the uncertainty that no outcomes in a scenario or group of scenarios fall below the respective threshold values for each scenario. Where multiple scenarios are considered, for instance all design sectors in a pit, the reliability is the probability of no scenarios materialising a downside value. Reliability = 1 - P[D].
Reward - is an expression of the expected value of the favourable outcome of a scenario or group of scenarios and is given by the equation: Reward = Reliability χ Upside.
Risk - is an expression of the expected value of the adverse outcome of a scenario or group of scenarios and is given by the equation: Risk = P[D] χ Downside.
Risk-adjusted value - the generic term for the probability of an outcome multiplied by the value of the outcome. Specific examples are risk and reward.
Scenario - is a group of single-point estimates in a probabilistic analysis unified by a common property, e.g., 1:50 year flood scenario, 1:400 year earthquake scenario, poor slope depressurization scenario.
Single-point estimate - is the evaluation of a single outcome out of many for a scenario.
Stripping rate - is the ratio of the tonnes of waste rock per tonne of ore that has to be mined. For example, a stripping rate of 3:1 means that for every tonne of ore, three tonnes of waste must be mined.
Threshold value - is the value of the performance measure that separates downside from upside.
Uncertainty - is a measure of the state of knowledge, at a given time, limited by a given amount of information, based on a defined analysis, about a specific property or parameter. Uncertainty is communicated as a probabilistic distribution, which includes minimum and maximum limits, a standard deviation, a mean, and any other parameters needed to define the probability distribution.
Upside - is the expected value of all outcomes that are above the threshold value for a single scenario in a risk-benefit analysis.
Utility - is the perceived benefit obtained by consuming a product or service. In terms of investment income problems, such as discussed in this paper, utility is used to denote the difference in perceived benefit between making another dollar vs losing the last dollar made. Utility theory was first published by von Neumann and Morgenstern (1944), and has found a variety of applications in investment analysis.
Variability - describes how a certain parameter varies from location to location in space and time or any other index.
Appendix B - Optimum risk derivation
A solution for the optimum risk can be found with reference to Equation [8] by setting the incremental risk equal to the incremental reward, as shown in the following derivation.
For the slope stability case, it is assumed that the downside estimate remains approximately constant, regardless of slope angle. For each incremental slope angle increase, if the angle increase is accepted, the upside is the incremental upside compared with the previous slope angle increment, but the downside remains the failure of the slope being considered: it is not just the extra slope angle increment that will fail.
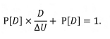
With this in mind, the derivation starts by setting the incremental risk equal to the incremental reward: Incremental risk=Incremental reward.
Breaking each term down into its components gives: P[Downside] χ Downside=(1-P[Downside])xUpsideincremental. Abbreviating P[Downside] to P[D], Downside to D, and Upsideincremental to ΔU and multiplying out gives:

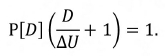
P[D] χ D + P[D] χΔU = AU. Dividing by ΔU gives:

Simplified, this becomes:

Finally, isolating P[D] to the left of the equation and applying λ to D gives:













