SciELO - Scientific Electronic Library Online

 
vol.50 issue2Calibration of a modelling approach for sediment yield in a wattle plantation, KwaZulu-Natal, South AfricaEffect of Moistube and subsurface drip irrigation on cowpea (Vigna unguiculata (I.) Walp) production in South Africa author indexsubject indexarticles search
Home Pagealphabetic serial listing  

Services on Demand

Journal

Article

Indicators

    Related links

    • On index processCited by Google
    • On index processSimilars in Google

    Share


    Water SA

    On-line version ISSN 1816-7950Print version ISSN 0378-4738

    Water SA vol.50 n.2 Pretoria Apr. 2024

    https://doi.org/10.17159/wsa/2024.v50.i2.4011 

    RESEARCH PAPER

     

    Integrated treatment of stormwater using multistage filtration (MSF) for domestic application (reuse)

     

     

    Chekwubechukwu V ChibuezeI; Chidozie C NnajiI, II; Cordelia N MamaI; Ekene J NwankwoI

    IDepartment of Civil Engineering, University of Nigeria, Nsukka 410001, Enugu State, Nigeria
    IIFaculty of Engineering and Built Environment, University of Johannesburg, Johannesburg, South Africa

    Correspondence

     

     


    ABSTRACT

    Stormwater harvesting is a promising solution for global freshwater depletion, particularly in tropical regions with abundant rainfall. However, it is not widely used due to the lack of suitable treatment technologies for domestic applications. Multi-stage filtration (MSF) is an effective integrated treatment technology that provides a cost-effective alternative for stormwater treatment. This study investigated MSF's capacity for treating stormwater at different stages. The MSF designed and built comprised the down-flow roughing filter (DRF) and slow sand filter (SSF). The results achieved by the MSF for the treated effluents were: pH (7.1-8.1), temperature (27.6-29.4°C), electrical conductivity (EC) (100-190 µS/cm) and total dissolved solids (TDS) (70-130 mg/L). Turbidity removal efficiency of the MSF was in the range of 36-99% (5.825-164.05 NTU) and the overall average removal efficiency of the MSF was 74%, 90% and 86% for total coliforms (TC) (360-11 800 CFU/ 100 mL), faecal coliforms (FC) (0-1 300 CFU/100 mL) and Enterococcus spp. (120- 1 400 CFU/100 mL), respectively. The study identified stormwater reuse potentials based on international guidelines and benchmarks. For the treated effluent, pH, temperature, EC and TDS were all within the permissible limits for toilet, laundry, bathing, recreational and agricultural water reuse, while turbidity suited agricultural (non-food crop) and restricted urban reuse. 46% of the effluent was suitable for recreational purposes as this satisfied the 50 NTU standard. 62.5% of the effluent satisfied the FC standard for toilets and urinals and agricultural reuse (non-food crop) purposes, while 87.5 % of the effluent satisfied urban reuse purposes (restricted access). 66.67% of the effluent satisfied the Enterococcus spp. standard for agricultural reuse (non-food crop). All treated effluents satisfied the TC bathing standard. This study shows that after minimal disinfection, stormwater effluents offer potential reuse in household applications, thereby reducing potable water demand.

    Keywords: stormwater, multistage filtration, roughing filter, treatment, removal efficiency


     

     

    INTRODUCTION

    Worldwide, there is increasing demand for available freshwater resources because of increasing population and urbanization (Hatt et al., 2005; Yang and Cui, 2012; Barasa and Asaba, 2020; Rahman et al., 2014; Amin and Alazba, 2011; Awawdeh et al., 2012). The current water scarcity situation is anticipated to get worse in the face of global warming and climate change (Nnadi et al., 2015). An estimated 839 million or 11% of the world's population are without clean water and global water demand is expected to double by 50% in 2030 (WHO and UN-Water, 2017). Sub-Saharan Africa ranks lowest in the world for access to improved drinking water and sanitation (WHO and UN-Water, 2017) with Nigeria being one of the 15 countries in Sub-Saharan Africa suffering from water scarcity and stress (Ogunbiyi, 2012). This has led to the prevalence of water-related disease, especially among rural communities, with more than 80 000 water-related deaths yearly (WHO, 2020; WHO, 2014). With the increasing pressure on freshwater reserves and the burgeoning population, Nigeria's water scarcity situation calls for the need to manage water resources more sustainably. To this end, the treatment and beneficial reuse of stormwater runoff is in Nigeria's national interest.

    Treatment and reuse of stormwater runoff are receiving increased attention worldwide as an alternative source of water supply, and have become a practical solution to the problem of water scarcity in many countries (NASEM, 2016; Amin and Han, 2009b; Ibrahim, 2009; Yang and Cui, 2012). This practice is increasing in developing countries like China and India which are highly urbanized but are experiencing water scarcity. They concentrate on harvesting the maximum volume of runoff from urban areas with little regard for water quality. Even in developed countries like Australia with large cities suffering water shortages, harvesting of stormwater runoff is widely practised at both the local and regional levels, with technologies for full-scale stormwater treatment at their disposal (Kus et al., 2012; Petterson et al., 2016). Many studies have revealed that stormwater runoff, although influenced by varying catchment and rainfall characteristics, has common pollutants that have been generally categorized as sediment, toxic chemicals, hydrocarbons, nutrients, heavy metals and organic matter (Pal, 2012; Aryal et al., 2010; Egodawatta, 2008). Treatment and removal of these pollutants can be achieved in three hierarchical stages: primary, secondary and tertiary treatment. To widen the reuse potential of stormwater runoff, a higher level of treatment and purification of water will be required. Generally, different stormwater treatment processes are combined to reduce pollutants to provide the best overall treatment efficiency, but this may not be feasible in every situation due to the problems of cost and expertise. Rather, one or two unit operations or processes that have a high capacity for water quality improvement can be selected.

    Due to a lack of treatment technologies for stormwater runoff, rural and water-stressed communities of Africa mainly practice rooftop rainwater harvesting, which cannot be completely relied upon because it ends with the rainy period and does not take care of all their water demand. This deficiency is particularly acute when water demand increases to a full connection level, even in the rainforest zone with an abundance of rainwater (Nnaji and Mama, 2014). Alternative sources of water supply improvement, such as seawater desalination and wastewater treatment and reuse, are capital-intensive and may not be within the financial and technical capacity of developing countries (Hamdan, 2009). Stormwater has a greater capacity to meet the domestic water demand due to its superior quality when compared with industrial discharge or untreated wastewater (Mitchell et al., 2002), and also has a better public tolerance for usage. Besides curbing water challenges, stormwater harvesting provides other benefits, such as mitigation of flood/erosion through the reduction of stormwater volume, and protection of waterways and receiving waters from increased pollutant load from stormwater (NASEM, 2016; Kus et al., 2012; Dandy et al., 2019).

    Although Nigeria has no national programme for the promotion of stormwater runoff harvesting, the practice has been around for years as a traditional source of domestic water supply, especially among rural communities in the semi-arid northern part of the country (Nyong and Kanaroglou, 1999; Lombin et al., 1986). Detention ponds or pools are dug close to residents or in river beds for the collection of stormwater runoff. Such ponds can outlast ephemeral rivers and hold water well into the dry season or year-round, depending on the geographic location and subsoil conditions. The only treatment provided in such ponds is gravity settling/sedimentation, in which particles with a specific gravity higher than 1 settle out under quiescent conditions. Because stormwater particles are relatively large with a specific gravity ranging from 1.5 to 3.0 (Li et al., 2006), sedimentation can be very effective for the removal of sediment-associated pollutants from stormwater runoff (Clark and Pitt, 2012). Pond water is used for bathing and watering livestock, as well as drinking under water crisis conditions (Gogoi and Sharma, 2013).

    A study by Friedman (2012) revealed that, globally, the current household water demand per capita is in the range of5.4-575 L/day, with 45%, 30%, 20% and 5% used for flushing, bathing, laundry and cooking, respectively. Among other domestic uses of water, the volume of water required for drinking is the least. Pan et al. (2018) affirmed that the basic daily requirement per person is 1-1.5 L. The reuse of stormwater for other non-potable purposes, which is well-accepted in many countries (Lazarova et al., 2003), will reduce the burden on drinking water. Due to the low level oftreatment adopted in this study, the potential reuse options for the treated water are urinal and toilet flushing, agricultural and irrigation purposes (irrigation of lawns, planting of food crops and non-food crops), bathing, restricted urban reuse (washing of vehicles and windows, fire protection, dust control, concrete production, develop and preserve wetlands, industrial reuse). Many developed countries have established and published various guidelines and legislation covering wastewater/water reuse for different purposes, but very few developing countries have done so. Some of these international guidelines and standards were used as our basis of comparison and acceptance for appropriate reuse purposes.

    This present study adopted and evaluated the efficiency of sedimentation and multistage filtration (MSF) for the treatment of stormwater runoff (NASEM, 2016). Multistage filtration (MSF) is an integrated water treatment method that has been proven to be sustainable and robust, addressing many drawbacks associated with the conventional slow sand filtration method. Multistage filtration provides several layers of filters against pollutants, comprising of pre-treatment by coarse gravel media (especially roughing filters) before the main slow sand filtration (Cleary, 2005; Galvis, 1999).

    MSF systems outperformed conventional systems in turbidity removal and can achieve more than 99% bacteriological quality improvement (Ochieng et al., 2004). MSF holds enormous promise for the water quality challenges in developing countries (Nabwayo, 2016; Ochieng et al., 2004).

    Using practical experience from other countries where this technology has been practised, this research aimed to design and test the performance of MSF units in treating stormwater. MSF is still not well recognized and commonly used in Nigeria, hence it was needful to design a pilot MSF system (combining downflow roughing filter and slow sand filter) and explore its performance in treating variable raw water quality like stormwater runoff. The detailed objectives were to:

    Characterize stormwater samples

    Subject characterized stormwater samples to an integrated sequence of treatments, viz: sedimentation, downflow, roughing filter and slow sand roughing filter and determine their performances

    Determine the efficiency of the entire MSF unit in removing turbidity and microorganisms from stormwater with high turbidity levels

    Compare the treated effluents with different water reuse guidelines and standards to determine its most suitable reuse potentials

     

    MATERIALS AND METHODS

    Raw water samples used for the experimental work were collected from drains located at the intersection between University Road and University Market Road, Nsukka, Nigeria, during or immediately after rainfall events. This location was strategically chosen because it captures runoff contributed by the upland areas of Nsukka, which includes the major industrial, commercial and residential part of Nsukka, and therefore must have accumulated pollutants that reflect the true stormwater runoff characteristics of the town.

    Experimental setup and filter configuration

    The treatment system consists of a sedimentation unit, a downflow roughing filter unit and a slow sand filter unit connected in series (Fig. 1). The system was arranged to allow water flow by gravity. Water flows from the sedimentation unit through the top of the roughing filters before entering the top of the slow sand filter. The sedimentation unit was made of a polyethene plastic cylindrical tank (Geepee tank) with a capacity of 700 gallons (2 650 L), 1 240 mm in diameter and 1 740 mm in height. The purpose of this unit was to simulate the settling processes of a detention pond by providing a quiescent condition for settleable suspended solids to settle out. Sedimentation can reduce turbidity and make the water more amenable to filtration and other treatment methods.

    The down-flow roughing filter unit was made of 3 polyvinyl chloride (PVC) columns of heights 1.675 m, 1.415 m and 1.320 m, connected in series as shown in Fig. 1. Each column had the same internal diameter of 152.4 mm. Quartz was used as the roughing filter medium. The characteristics of the filter media are shown in Table 1. The roughing filters were labelled R1, R2 and RF in Fig. 1 for ease of reference. The sampling points used for assessing the performance of the roughing filter are identified on the roughing filters (R1, R2 and RF) in Fig. 1 as Points a, b and c. Wegelin (1996) design criteria were used as a guide in selecting the design parameter for the roughing filter. In the selection of the sizes of the filter media used, the quality of the raw water was a major consideration. The filter media were thoroughly washed with clean water and air-dried before use.

    The slow sand filter unit was also built with PVC pipe of diameter 152.4 mm and a height of 1.52 m. Sieve analysis was carried out on the filter media to determine the grain size distribution and uniformity coefficient before filling the column. The PVC pipe was filled to a depth of 0.3 m with quartz of diameter range 4.7619.05 mm as the underdrain. The fine sand layer, of thickness 0.8 m, effective diameter 0.14 and uniformity coefficient 2.71, was placed on top of the underdrain. Sampling points were located at the outlet of the unit so that removal efficiency could be monitored. Design and sizing of the SSF unit was carried out based on the recommended guideline in the design manual (Galvis et al., 1998; Wegelin, 1996)

    Experimental design and operation

    The experiment was designed to investigate the efficiency of the MSF in treating stormwater runoff. Performances of the filtration units were monitored by measuring flow rate, and collecting and analysing water samples from the designated sampling points of the filtration units. A total of 13 batches of filter runs (A, B, C, D, E, F, G, H, I, J, K, L and M) were conducted (Table 2) between September and December 2019.

    Water quality analysis

    Filtrates were collected from the outlets provided near the bottom of the raw water supply tank, roughing filtration unit and slow sand filtration unit of the multistage filtration system. The samples were analysed for pH, total dissolved solids (TDS), temperature, electrical conductivity (EC), turbidity, total coliforms (TC), faecal coliforms (FC) and Enterococcus spp. (Table 3). A PH-116 multi-parameter water quality monitor was used in determining pH, temperature, total dissolved solids and electrical conductivity of the raw water samples and effluents from filters. The accuracy of the pH was ± 0.1; temperature ± 1°C; electrical conductivity ± 2% EC. Turbidity was determined using the HACH model 2100N laboratory turbidity meter which is designed to measure 0-4 000 NTU turbidity. The membrane filtration method was used to detect TC and Escherichia coli (E. coli) simultaneously using modified faecal coliform (mFC) agar prepared according to the manufacturer's specification, while bile esculin agar was used to detect Enteroccocus spp. (APHA, 2017).

     

     

    Percentage removal efficiency for each parameter was calculated using Eq. 1:

    where: X is percentage removal (%); Co is initial concentration; Ci is final concentration.

    Flow rate measurement

    To measure the flow rate for the slow sand filter and roughing filter, beakers were placed at the outlets of the respective filters and allowed to collect the effluent for a few minutes. The volume of water collected was measured with a measuring cylinder. The flowrate was obtained in mL/min but was converted to filtration rate by dividing the flowrate by the cross-sectional area of the filter. Filtration rates are all given in m/h.

    Determination of head loss

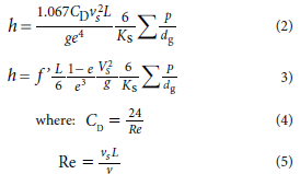
    Head loss in the slow sand filtration unit was determined using the Rose (Eq. 2 )and Carman-Kozeny (Eq. 3) equations.

    CD is coefficient of drag; d is grain size diameter, dg = geometric mean diameter between sieve sizes d1 and d2; f is friction factor; g is acceleration due to gravity (9.81 m/s2); h is head loss (m); KS is filtration constant 5 based on sieves opening; Re is Reynolds number; P is fraction of sand weight retained on the adjacent sieve; S is shape factor (varies between 6.0 for spherical particle and 8.5 for crushed particles); e is porosity; v is kinematic viscosity (m2/s); L is depth of filter bed or layer (m); vs is superficial (approach) filtration velocity (m/s)

     

    RESULTS AND DISCUSSION

    Stormwater characteristics before and after sedimentation

    The characteristics of the stormwater samples collected after different rainfall events are presented in Table 4. Sedimentation was carried out to reduce turbidity to a level that MSF can treat. The turbidity of the stormwater was in the range of 152-1 983 NTU. After sedimentation, the turbidity of the stormwater reduced to values ranging from 127-592 NTU. The influent for the MSF was the stormwater that had undergone the sedimentation process.

    Physical water quality improvement in MSF system

    The major criteria used for assessing the physical water quality improvement in the system were effluent turbidity and the degree to which the turbidity of the untreated water was decreased. Turbidity is believed to be a conveyor of other contaminants like nutrients and pathogens, which can result in biological activity (Vairagi and Dash, 2019). However, the ANOVA results for all the regressions (turbidity versus total coliform, turbidity versus E. coli, and turbidity versus Enterococcus spp.) were not significant at a 95% confidence level. Alja'fari et al. (2022) reported a similar level of correlation between turbidity and Enterococcus in stormwater samples collected from four US cities. In another study, by Bordin et al. (2023), nutrient concentrations, specifically phosphate, nitrate, and nitrite, were found to have no significant correlation with turbidity.

    It was observed that, on average, the DRF unit recorded 33% turbidity removal, achieving an average effluent value of 162.38 ± 95.86 NTU, with a range of 61.15-164.05 NTU. The SSF unit attained an average of 58% removal efficiency with an average effluent turbidity value of 73.5 ± 75.9 NTU. Table 4 reveals that the SSF turbidity values from different batches had values ranging from 5.825-164.05 NTU; the lower bound value is slightly above the recommended value but the upper bound value far exceeds the permissible limits for laundry purposes (5 NTU), toilet and urinal flushing (5 NTU), bathing purposes (2 NTU), and agricultural purposes (food crops) (<2 NTU). The lower limit up to 50 NTU can be used for recreational purposes, but for agricultural purposes (non-crop) and restricted urban reuse purposes, no maximum limit was specified beyond which the effluent is unsuitable for use in this regard.

    Figure 2 illustrates the relationship between the influent and effluent turbidities of both individual filter units and the overall system. The regression ANOVA shows a significant correlation across the units and the overall system.

    The results of student t-tests conducted on all components, constituents, and the complete system are presented in Table 5. Comparing the turbidity of raw water, roughing filter effluent, and slow sand filter effluent, we observe that the turbidity of the raw water was significantly higher than that of the roughing filter effluent, and the turbidity of the roughing filter effluent was significantly higher than that of the slow sand filter effluent. These findings suggest water quality improvement in both the individual filter units and overall efficiency of the filtration process from raw water to slow sand filter.

    The effect of filtration rate on turbidity removal efficiency

    Figure 3 shows the turbidity removal trend of the DRF unit, SSF unit and MSF unit. It was observed that, to a reasonable extent, each unit accomplished turbidity removal proportional to the raw water turbidity value of the respective batches treated. Interestingly, Batches A, F and H showed a very significant turbidity reduction, to as low as 6.95 NTU, 5.825 NTU and 9.51 NTU, respectively. The turbidity removal efficiency results obtained from the integrated unit, as well as individual units (SSF unit and RF unit) with their respective filtration rates, are shown in Fig. 4. The average turbidity removal efficiency for the DRF obtained in this study was about 33% which is considered reasonable, given that the turbidity of the raw water treated was higher than Wegelin's (1996) recommended value (150 NTU).

    The performance of the roughing filter depended on the large fraction of colloidal particles present in the raw water. Losleben (2008) obtained 46% average turbidity removal using a horizontal roughing filter, which is said to be better than a downflow roughing filter. The filtration rate of the RF had a relatively low influence on the performance of the filter (Fig. 4). The RF was operated at filtration rates ranging from 0.01-0.80 m/h. Khan and Farooq (2011) asserted that the turbidity removal efficiency of roughing filters is inversely proportional to the filtration rate, irrespective of the type of water sample, media size or flow direction.

    The trendline in Fig. 5 indicates that turbidity values decrease with decreasing filtration rate. However, the rate of change for the RF and SS filtration rates appears to be lower compared to the rate of change of turbidity values. 46% of the effluent can be used for recreational purposes as this satisfies the 50 NTU standard (Table 4).

    The average turbidity removal for SSF obtained in this study fell within the range of other authors' observations, i.e. generally within 50-90% (Ahammed and Davra, 2011; Elbana et al., 2012; Coral et al., 2014). From Figs 4 and 5 it can be observed that the slow sand filter turbidity removal efficiency is influenced by the filtration rate. The slow sand filter was operated at filtration rates of 0.004-0.280 m/h, which contributed significantly to the high efficiencies obtained. This finding is in agreement with Mohammed et al. (1996), who asserted that turbidity removal efficiency decreases significantly with increasing filtration rates. The best removal efficiency was obtained in Batch A at the lowest filtration rate (0.00419 m/h). However, as the filtration rate increased the turbidity removal efficiency declined from Batch B to Batch D. Another significant influence on the performance of the filter is the turbidity value of the initial raw water, which was above the Wegelin (1996) recommended value (150 NTU).

    Moreso, the results of the regression ANOVA between filtration rate and effluent turbidity (Fig. 6) indicate that, even though only about 50% of the variability in effluent turbidity can be accounted for by filtration rate, there is a significant relationship between the two variables (p = 0.007).

     

     

    The trendline in Fig. 7 is a two-point moving average between effluent turbidity and the cumulative volume of water treated. The plot reveals that at the start of the experiment, effluent turbidity increased and then gradually decreased before rising again. Filters are generally observed to follow a pattern where performance starts poorly, improves over time and maturation, and then eventually deteriorates again when preferential flow and/or clogging become an issue (Maiyo et al., 2023).

     

     

    Generally, it was observed that performance did not follow a steadily increasing trend (Fig. 5) because each batch was run intermittently (flow was not continuous). Young-Rojanchi and Madramooto (2014) revealed that continuously operated rather than intermittently operated mode produces better results. Besides, the use of the varying value of raw water turbidity at varying filtration rates might also have influenced the quality of the effluents from the roughing filter and slow sand filter, therefore causing the effluent to have varying values of turbidity. In conclusion, the MSF unit achieved an average of 70% (73.5 NTU) removal efficiency which compares well to other researchers' work.

    Microbial water quality improvement in MSF system

    Bacteriological water quality is a crucial parameter that must be thoroughly considered in water treatment. WHO recommends zero tolerance for disease-causing microorganisms, no matter how clear and pleasant the water may appear. Slow sand filtration is one of the most efficient processes for the production of hygienically safe drinking water. Roughing filtration provides the requisite protection for slow sand filtration in adverse raw-water physical conditions. It also contributes significantly to improving microbiological quality. Table 4 gives the total coliform (TC) of the treated effluent as ranging from 360-11 800 CFU/100 mL; the lower limit values up until 2 000 CFU/mL fall within the permissible limit for recreational water reuse. The FC/E. coli of the treated stormwater gave values ranging from 0-1 300 CFU/100 mL. The lower limit values fall within the maximum permissible limit for recreation, toilet and urinal flushing, agricultural purposes and restricted urban , but beyond these values (Table 4) the water becomes unsuitable for reuse. However, the FC values obtained satisfy the bathing water purpose (do not exceed 2 000 CFU/100 mL). Enterococcus spp. in the treated effluent ranged from 120-1 400 CFU/100 mL, and exceeded the recommended values for recreational water. Low-cost disinfection can, however, make water suitable for almost all reuse purposes.

    The percentage removal efficiencies for TC, FC and Enterococcus spp. at their respective filtration rates are presented in Fig. 8.

    The average microbial counts and average removal efficiencies for microbial parameters by DRF unit, SSF units and the entire MSF are presented in Table 6. The highest removal efficiencies were recorded for Batch L. The SSF removal efficiency was low compared to the average values documented in the literature. This might have been because the biological layer was not allowed to form, as the water head was not allowed to build up in the SSF unit. Nabwayo (2016) observed that removal efficiency for both TC and FC was as low as 20-57% before 26 days (considered as the maturation period). However, after 26 days, a significant increase of 75-100% removal efficiency was experienced for the SSF filter.

    The effect of filtration rate and initial microbial load on removal efficiency of total coliform, faecal coliform (E. coli) and Enterococcus spp.

    The highest removal efficiency for the respective microbes was attained at the lowest filtration rate (Batch L) (Fig. 8). It was also observed that removal efficiency was not only influenced by filtration rate; initial microbial load of the raw water also had a significant influence. Batch B and Batch L had the highest removal efficiencies, while Batch I had the lowest. In addition, the highest removal efficiency was achieved for FC with the lowest microbial load (Batches K, L and M). This notwithstanding, the values obtained indicate that although the MSF (74%, 90% and 86% overall removal efficiency for TC, FC and Enterococcus spp., respectively) proved efficient with regards to improving the bacteriological water quality, terminal disinfection (chlorine or solar) is required to further treat the effluent and safeguard the system against microorganism breakthroughs. However, the dosage of chemicals needed is then expected to be lower than required without pre-treatment with MSF. The slow filtration rates in SSF, of 0.004-0.280 m/h, also contributed significantly to the high efficiencies. A low filtration rate causes water to be within the filter bed for a longer retention time and hence leads to improved removal efficiency (Nabwayo, 2016).

    The microbial removal rate decreases as the RF filtration rate increases with an increasing SS filtration rate (Fig. 8); 62.5% of the effluent satisfies the FC standard (Table 4) for toilet and urinal and agricultural use (non-food crop), while 87.5% of the effluent meets the standard for urban reuse (restricted access). 66.67% of the effluent satisfies the Enterococcus spp. standard for agricultural reuse (non-food crop). The entire sample satisfies the TC bathing standard (Table 4).

    Physicochemical water quality improvement in a multi-stage filtration system

    During the experimental run, it was noticed that the temperature of the raw water varied from 27.6-29.4°C, which should encourage bacteriological growth in water. The pH values varied from 7.18.1, which is within the guideline values (6.0-9.0) for laundry, bathing, toilet flushing, urban reuse and agricultural purposes. There is a strong correlation between EC and TDS (Fig. 9) - the lines for EC and TDS share some common points. It was also observed that there was a slight increase in the values of EC and TDS with filtration stage. This may be due to the biochemical reaction in the filter media that initiates ionization of organic compounds thereby increasing total dissolved ions. Some portion of these ions adsorbed on the filter media escaped with the effluent resulting in a total increase of EC and TDS in the later part of the experimental run (Rahman, 2010). The average EC values for the effluents from the SSF are 152 uS/cm, with values ranging from 100-190 µS/cm, and 106 mg/L for TDS with values ranging from 70-130 mg/L. All values obtained fell within all the water reuse guidelines considered in this study (Table 4).

     

     

    Head loss in the slow sand filter

    Using the Rose and Carman-Kozeny equations the head loss for the slow sand filter was calculated and compared (Table 7). The sieve analysis result was used in computing the result: 0.4 was used for porosity (e) based on the common values used in literature and 0.75 was used as the shape factor (KS) - this is the average shape factor value for various types of sand.

    The head loss in the slow sand filter was very low because the flow condition was very low and the system was operated intermittently. Therefore, there was no growth of the biological layer. To remove colloidal particles that cause turbidity in water, size exclusion is utilized, which leads to the deposition of particles within the sand matrix. This deposition and subsequent decay of the organic matter it contains predominantly occur at the top of the sand bed, resulting in the formation of a biologically active surface layer called Schmutzdecke (Guchi, 2015; Lubarsky et al., 2022). As the deposition and Schmutzdecke accumulate, it progressively reduces the pore size of the filter, leading to an increase in head loss and a decrease in flow rate (Boller and Kavanaugh, 1995).

     

    CONCLUSION

    The overall performance of the MSF was laudable, as it resulted in considerably improved stormwater quality, despite the turbidity value of the stormwater treated being significantly above the recommended value given in the literature. The entire MSF unit achieved an average overall turbidity removal efficiency of 70%. It is also noteworthy that the highest removal efficiency achieved (98% for SSF and 99% for MSF) was at the lowest filtration rate (0.00419 m/h). The downflow RF unit recorded an average of 33% turbidity removal, achieving an average effluent value of 162.38 NTU The SSF unit attained an average of 58% removal with an average effluent turbidity of 73.5 NTU. The treated effluent is suitable for agricultural (non-crop) and restricted urban reuse purposes.

    On average, the downflow RF unit registered 45% (4 018 CFU/ 100 mL) total coliforms, 43% (2 978 CFU/100 mL) faecal coliforms and 44% (3 700 CFU/100 mL) Enterococcus spp. removal efficiency. The SSF units recorded 56% (1 872 CFU/100 mL) total coliforms, 86% (584 CFU/100 mL) faecal coliforms and 76% (725 CFU/ 100 mL) Enterococcus spp. removal. The entire MSF unit recorded an overall removal efficiency of 74% (1 872 CFU/100 mL), 90% (584 CFU/100 mL) and 86% (725 CFU/100 mL) for total coliforms, faecal coliforms and Enterococcus spp., respectively. Low-cost disinfection is needed to achieve the recommended standards for almost all reuse purposes.

    The pH (7.1-8.1), temperature (27.6-29.4°C), EC (100-190 us/cm) and TDS (70-130 mg/L) of the treated stormwater were all within recommended guidelines for all reuse purposes considered.

    In conclusion, since the MSF treatment method may not require much capital, sophisticated processes run by skilled manpower, it can be employed in a rural area in, for example, Nigeria, that lacks access to sufficient clean water, consequently taking care of domestic water demands other than drinking water.

     

    AUTHOR CONTRIBUTIONS

    CVC - methodology of the study, data collection and fieldwork, sample/data analysis, interpretation of results, writing of the initial draft; CCN - conceptualization and methodology of the study, sample/data analysis, interpretation of results, writing of the initial draft; CNN - writing of the initial draft; EJN - sample/ data analysis, interpretation of results, writing of the initial draft.

     

    ORCID

    Chekwubechukwu V Chibueze: https://orcid.org/0000-0002-1821-618X

     

    REFERENCES

    AFFAM AC and ADLAN MN (2013) Operational performance of vertical upflow roughing filter for pre-treatment of leachate using limestone filter media. J. Urb. Environ. Eng. 7 (1) 117-125. https://doi.org/10.4090/juee.2013.v7n1.117125        [ Links ]

    AHAMMED MM and DAVRA K (2011) Performance evaluation of biosand filter modified with iron oxide-coated sand for household treatment of drinking water. Desalination 276 (1-3) 287-293. https://doi.org/10.1016/j.desal.2011.03.065        [ Links ]

    ALJA'FARI J, SHARVELLE S, BRINKMAN NE, JAHNE M, KEELY S, WHEATON EA, GARLAND J, WELTY C, SUKOP MC and MEIXNER T (2022) Characterization of roof runoff microbial quality in four U.S. cities with varying climate and land use characteristics. Water Res. 225 119123. https://doi.org/10.1016/j.watres.2022.119123        [ Links ]

    AMIN MT and ALAZBA AA (2011) Probable sources of rainwater contamination in a rainwater Harvesting system and remedial options. Aust. J. Basic Appl. Sci. 5 (12) 1054-1064.         [ Links ]

    AMIN MT and HAN MY (2009b) Water environmental and sanitation status in disaster relief of Pakistan's 2005 earthquake. Desalination 248 436-445. https://doi.org/10.1016/j.desal.2008.05.085        [ Links ]

    ARYAL R, VIGNESWARAN S, KANDASAMY J and NAIDU R (2010) Urban stormwater quality and treatment. Korean J. Chem. Eng. 27 (5) 1343-1359. https://doi.org/10.1007/s11814-010-0387-0        [ Links ]

    AWAWDEH M, AL-SHRAIDEH S, AL-QUDAH K and JARADAL R (2012) Rainwater harvesting assessment for small size urban area in Jordan. Int. J. Water Resour. Environ. Eng. 4 (12) 415-422        [ Links ]

    BABAEI F, EHRAMPOUSH MH, ESLAMI H, GHANEIAN MT, FALLAHZADEH H, TALEBI P, FARD RF and EBRAHIMI AA (2019) Removal of linear alkylbenzene sulfonate and turbidity from greywater by a hybrid multi-layer slow sand filter microfiltration ultrafiltration system. J. Clean. Prod. 211 922-931. https://doi.org/10.1016/j.jclepro.2018.11.255        [ Links ]

    BARASA B and ASABA J (2020) Contribution of rainfall on rooftop rainwater harvesting and saving on the slopes of Mt. Elgon, East Africa. Sci. World J. 2020 Article ID 7196342 https://doi.org/10.1155/2020/7196342        [ Links ]

    BEGUM S, RASUL MG and BROWN RJ (2008) Stormwater treatment and reuse techniques: a review. Trans. Environ. Dev. 4 (11) 144-149.         [ Links ]

    BOLLER MA and KAVANAUGH MC (1995) Particle characteristics and headloss increase in granular media filtration. Water Res. 29 (4) 1139-1149. https://doi.org/10.1016/0043-1354(94)00256-7        [ Links ]

    CLARK SE and PITT R (2012) Targeting treatment technologies to address specific stormwater pollutants and numeric discharge limits. Water Res. 46 (20) 6715-6730. https://doi.org/10.1016/j.watres.2012.07.009        [ Links ]

    CLEARY SA (2005) Sustainable drinking water treatment for small communities using multistage slow sand filtration. Master's thesis, University of Waterloo.         [ Links ]

    CORRAL AF, YENAL U, STRICKLE R, YAN D, HOLLER E, HILL C, ELA WP and ARNOLD RG (2014) Comparison of slow sand filtration and microfiltration as pretreatments for inland desalination via reverse osmosis. Desalination 334 (1) 1-9. https://doi.org/10.1016/j.desal.2013.11.034        [ Links ]

    DANDY GC, MARCHI A, MAIER HR, KANDULU J, MACDONALD DH and GANJI A (2019) An integrated framework for selecting and evaluating the performance of stormwater harvesting options to supplement existing water supply systems. Environ. Model. Softw. 122 104554. https://doi.org/10.1016/j.envsoft.2019.104554        [ Links ]

    EGODAWATTA PK (2007) Translation of small-plot scale pollutant build-up and wash-off measurements to urban catchment scale. Doctoral dissertation, Queensland University of Technology.         [ Links ]

    ELBANA M, DE CARTAGENA FR and PUIG-BARGUÉS J (2012) Effectiveness of sand media filters for removing turbidity and recovering dissolved oxygen from a reclaimed effluent used for micro-irrigation. Agric. Water Manage. 11127-33. https://doi.org/10.1016/j.agwat.2012.04.010        [ Links ]

    FRIEDMAN A (2012) Fundamentals of Sustainable Dwellings. Island Press, Washington DC. https://doi.org/10.5822/978-1-61091-211-2.         [ Links ]

    GALVIS G (1999) Development and evaluation of multistage filtration plants. An innovative, robust and efficient water treatment technology. Doctoral dissertation, University of Surrey.         [ Links ]

    GOGOI P and SHARMA D (2013) Microbial contamination of community pond water in Dibrugarh District of Assam. Curr. World Environ. 8 (1) 85-91. https://doi.org/10.12944/cwe.8.1.09        [ Links ]

    GUCHI E (2015) Review on slow sand filtration in removing microbial contamination and particles from drinking water. Am. J. Food Nutr. 3 (2) 47-55.         [ Links ]

    HAMDAN SM (2009) A literature-based study of stormwater harvesting as a new water resource. Water Sci. Technol. 60 (5) 1327-1339. https://doi.org/10.2166/wst.2009.396        [ Links ]

    HATT BE, DELETIC A and FLETCHER TD (2006) Integrated treatment and recycling of stormwater: a review of Australian practice. J. Environ. Manage. 79 (1) 102-113. https://doi.org/10.1016/j.jenvman.2005.06.003        [ Links ]

    HEALTH CANADA (2012) Guidelines for Canadian Recreational Water Quality (3rd edn.). Catalogue No H129-15/2012E. Water, Air and Climate Change Bureau, Healthy Environments and Consumer Safety Branch, Health Canada, Ottawa, Ontario.         [ Links ]

    IBRAHIM MB (2009) Rainwater harvesting for urban areas: A success story from Gadarif City in Central Sudan. Water Resour. Manage. 23 2727-2736. https://doi.org/10.1007/s11269-009-9405-6        [ Links ]

    KHAN Z and FAROOQI R (2011) Roughing filtration as an effective pre-treatment system for high turbidity water. Water Sci. Technol. 64 (7) 1419-1427. https://doi.org/10.2166/wst.2011.317        [ Links ]

    KUS B, JOHIR M, KANDASAMY J, VIGNESWARAN S, SHON HY, SLEIGH R and MOODY G (2012) Performance of granular medium filtration and membrane filtration in treating stormwater for harvesting and reuse. Desalin. Water Treat. 45 (1-3) 120-127. https://doi.org/10.1080/19443994.2012.692018        [ Links ]

    KUS B, KANDASAMY, VIGNESWARAN S, SHON H and MOODY G (2012) Two stage filtration for stormwater treatment: A pilot scale study. Desalin. Water Treat. 45 (1-3) 361-369. https://doi.org/10.1080/19443994.2012.692063        [ Links ]

    LAZAROVA V, HILLS S and BIRKS R (2003) Using recycled water for non-potable, urban uses: a review with particular reference to toilet flushing. Water Sci. Technol. Water Supply 3 (4) 69-77. https://doi.org/10.2166/ws.2003.0047        [ Links ]

    LI Y, LAU SL, KAYHANIAN M and STRENSTROM MK (2006) Dynamic characteristics of particle size distribution in highway runoff: implication for settling tank design. J. Environ. Eng. 132 (8) 852-861. https://doi.org/10.1061/(asce)0733-9372(2006)132:8(852)        [ Links ]

    LOSLEBEN T (2008) Pilot study of horizontal roughing filtration in Northern Ghana as pretreatment for highly turbid dugout water. Doctoral dissertation, Massachusetts Institute of Technology.         [ Links ]

    LUBARSKY H, FAVA ND, SOUZA FREITAS BL, TERIN UC, OLIVEIRA M, LAMON AW, PICHEL N, BYRNE JA, SABOGAL-PAZ LP and FERNANDEZ-IBANEZ P (2022) Biological layer in household slow sand filters: characterization and evaluation of the impact on systems efficiency. Water 14 (7) https://doi.org/10.3390/w14071078        [ Links ]

    MAIYO JK, DASIKA S and JAFVERT CT (2023) Slow sand filters for the 21st Century: a review. Int. J. Environ. Res. Public Health 20 (2) 1019. https://doi.org/10.3390/ijerph20021019        [ Links ]

    MANSILHA CR, COELHO CA., HEITOR AM, AMADO J, MARTINS JP and GAMEIRO P (2009) Bathing waters: new directive, new standards, new quality approach. Mar. Pollut. Bull. 58 (10) 1562-1565. https://doi.org/10.1016/j.marpolbul.2009.03.018        [ Links ]

    MITCHELL VG, MEIN RG and MCMAHON TA (2002) Utilising stormwater and wastewater resources in urban areas. Aust. J. Water Resour. 6 (1) 31-43. https://doi.org/10.1080/13241583.2002.11465208        [ Links ]

    MUHAMMAD N, ELLIS KV, PARR J and SMITH MD (1996) Optimization of slow sand filtration. Reaching the unreached: challenges for the 21st century. 22nd WEDC Conference, New Delhi, India, 283-285.         [ Links ]

    NABWAYO MC (2016) Hydraulic design to optimise treatment capacity of multi-stage filtration units: a pilot plant study at Moi university water treatment works, Eldoret, Kenya. Doctoral dissertation, Moi University.         [ Links ]

    NASEM (National Academies of Sciences, Engineering, and Medicine) (2016) Using graywater and stormwater to enhance local water supplies: an assessment of risks, costs, and benefits. The National Academies Press, Washington, DC. https://doi.org/10.17226/21866        [ Links ]

    NNADI EO, NEWMAN AP, COUPE SJ and MBANASO FU (2015) Stormwater harvesting for irrigation purposes: An investigation of chemical quality of water recycled in a pervious pavement system. J. Environ. Manage. 147 246-256. https://doi.org/10.1016/j.jenvman.2014.08.020        [ Links ]

    NNAJI CC and MAMA NC (2014) Preliminary assessment of rainwater harvesting potential in Nigeria: focus on flood mitigation and domestic water supply. Water Resour. Manage. 28 (7) 1907-1920. https://doi.org/10.1007/s11269-014-0579-1        [ Links ]

    NYONG AO and KANAROGLOU PS (1999) Domestic water use in rural semiarid Africa: a case study of Katarko village in northeastern Nigeria. Hum. Ecol. 27 (4) 537-555. https://doi.org/10.1023/a:1018739910377        [ Links ]

    OCHIENG GMM, OTIENO FAO, OGADA TPM, SHITOTE SM and MENZWA DM (2004) Performance of multistage filtration using different filter media against conventional water treatment systems. Water SA 30 (3) 361-367. https://doi.org/10.4314/wsa.v30i3.5085        [ Links ]

    OGUNBIYI B (2012) Nigeria: population and demographic trends. The Woodrow Wilson International Center for Scholars, Washington DC.         [ Links ]

    PAL SK (2012) On heavy metal pollution from a suburban road network. Doctoral dissertation, Heriot-Watt University .         [ Links ]

    PAN W, HOU B, YANG R, ZHAN X, TIAN W, LI B and GAO X (2018) Conceptual framework and computational research of hierarchical residential household water demand. Water 10 (6) 696. https://doi.org/10.3390/w10060696        [ Links ]

    PETTERSON SR, MITCHELL VG, DAVIES CM, O'CONNOR J, KAUCNER C, ROSER D and ASHBOLT N (2016) Evaluation of three full-scale stormwater treatment systems with respect to water yield, pathogen removal efficacy and human health risk from faecal pathogens. Sci. Tot. Environ. 543 691-702. https://doi.org/10.1016/j.scitotenv.2015.11.056        [ Links ]

    RAHMAN AK (2010) Development of design criteria for multi stage filtration units for surface water treatment. Doctoral dissertation, Bangladesh University of Engineering and Technology.         [ Links ]

    RAHMAN, SADIA MTR, KHAN, SHATIRAHAKIB, NAZLI BIN CHE DIN SK, BISWAS and SHIRAZI SM (2014) Sustainability of rainwater harvesting system in terms of water quality. Sci. World J. 2014 Article ID 721357. https://doi.org/10.1155/2014/721357        [ Links ]

    USEPA (2012) Guidelines for water reuse. EPA/600/R-12/618. United States Environmental Protection Agency, Washington, DC. URL: http://nepis.epa.gov/Adobe/PDF/P100FS7K.pdf.         [ Links ]

    VAIRAGI PD and DASH RR (2019) Effectiveness study of dolochar as a filter media in wastewater filtration. Advances in Waste Management. Springer, Singapore. 493-500. https://doi.org/10.1007/978-981-13-0215-2_35        [ Links ]

    WEGELIN M (1996) Surface water treatment by roughing filters: a design, construction and operation manual (Vol. 2). SANDEC, Switzerland.         [ Links ]

    WHO (2020) World health statistics 2020: monitoring health for the SDGs, sustainable development goals. World Health Organization, Geneva. https://doi.org/10.1111/padr.12006        [ Links ]

    WHO/UNICEF JOINT WATER SUPPLY AND SANITATION MONITORING PROGRAMME (2014) Progress on drinking water and sanitation: 2014 update. World Health Organization, Geneva.         [ Links ]

    WHO and UN-WATER (2017) UN-water global analysis and assessment of sanitation and drinking-water (GLAAS) 2017 report: financing universal water, sanitation and hygiene under the sustainable development goals. World Health Organization, Geneva. URL: https://iris.who.int/handle/10665/254999        [ Links ]

    YANG R and CUI B (2012) Framework of integrated stormwater management of Jinan City, China. Procedia Environ. Sci. 13 2346-2352. https://doi.org/10.1016/j.proenv.2012.01.223        [ Links ]

    YOUNG-ROJANSCHI C and MADRAMOOTOO C (2014) Intermittent versus continuous operation of biosand filters. Water Res. 49 1-10. https://doi.org/10.1016/j.watres.2013.11.011        [ Links ]

     

     

    Correspondence:
    Chekwubechukwu V Chibueze
    Email: chekwubechukwu.chibueze@unn.edu.ng

    Received: 12 August 2022
    Accepted: 19 March 2024