Services on Demand
Journal
Article
Indicators
Related links
-
Cited by Google -
Similars in Google
Share
Journal of Energy in Southern Africa
On-line version ISSN 2413-3051Print version ISSN 1021-447X
J. energy South. Afr. vol.25 n.4 Cape Town Nov. 2014
Dynamic performance improvement of wind farms equipped with three SCIG generators using STATCOM
Othman HasnaouiI; Mehdi AllaguiII
IUniversity of Tunis El Manar, LSE-ENIT, Tunis Tunisia
IIUniversity of Tunis, ENSIT-DGE, Tunis, Tunisia
ABSTRACT
The main causes of wind farms disconnection from the grid is the three-phase grid faults at the point common coupling (PCC) e.g. the voltage dip. The use of a Static Synchronous Compensator (STATCOM) which is from the family of Flexible AC Transmission System (FACTS) devices can be used effectively in a wind park based on FSIG to provide transient voltage and to improve wind system stability. Due to the asynchronous operation nature, system instability of wind farms based on FSIG (Fixed Speed Induction Generator) is largely caused by the reactive power absorption by FSIG because due to the large rotor slip during grid fault. STATCOM contributes to control the grid voltage at PCC and maintain wind farm connection to the grid during some severe conditions of grid faults and used for power flow control and for damping power system oscillations. The evaluation of this control strategy using (STATCOM) is investigated in terms of regulation reactive power and transient stability of the wind farm during grid disturbances.
Keywords: wind farm, grid code, STATCOM, voltage dips
1. Introduction
During the present energy crisis, renewable energy sources have emerged as the most preferable alternatives for generating electric power. Presently, wind energy is the most developed of the renewable technologies due to the massive number of wind turbines that are installed around the world, as well as many projects currently in progress. In the past, power production through wind turbines did not have any severe effects on the wind power system, but now it actively involved in the grid because the wind power penetration level is increasing quickly with the different used technologies.
One of the important fields of investigation of wind energy systems is their stability issue when they are connected to the grid. In the past, wind turbines were disconnected during faults on the grids, but this led to dynamic instability and blackouts (Mukund, 2006) to maintain wind turbines connected to the grid, ride through the problems, without disconnection from the grid. Two of the strategies objectives are reactive power control in normal operation case and Low fault ride-through capability during grid fault case (Allagui et al., 2014).
The primary role of normal operating requirements is to maintain the voltage between the two is qualified for security and energy quality limits. Given reactive power can be transmitted long distance, it must be provided locally (Jayam, 2009). So in grid specifications connection farms turbines are generally required to contribute to reactive power (and sometimes voltage) control (Kadam et al., 2014). The opportunities for large-scale integration of wind appear, and the need of a contribution to the stability of the system was recognized in low voltage demands and most requirements for grid connection to the present-day (Review of Grid Codes, 2011). The majority of existing wind parks using the induction machine with fixed speed. These generators consume significant quantities of reactive power from the grid to magnetize their stator.
For the reason that this specified generator cannot supply adaptable reactive power (Tsili et al., 2009) it needs the support of external loops 'FACTS' as that Static Synchronous Compensator 'STATCOM' to ameliorate the stability of the power system operation so as to stay connected during grid faults.
The connection of a largest wind farm will usually be a connection agreement between the proprietors of the wind park and the grid. The connection agreement sets specific technical requirements to be met by the wind park e.g. Fault ride through capability (Sedighizadeh et al., 2010).
2. Wind turbine and electronic models
The mathematical relationship for the extracting of mechanical power from wind may be given by:

Where Pt is the established power from the wind, p is the air density [kg/m3]. R is the blade radius [m] and Cp is the power coefficient, which depends on both the tip transmission ratio λ and the blades angle of inclination, ß [deg]. A general equation used to model Cp(λ, ß). based on the modelling turbine characteristics is given by:

Where the coefficient Clto C&are constants:

And

In this level, the pitch control is disabling and the pitch angle Beta (ß) is set to 0°. When the wind speed exceeds its rated value, the rotor speed cannot be controlled within the limits by growing the generator or the converter. In this case, the pitch strategy is operated to raise the pitch angle to decrease the mechanical power output (Appala Narayana et al., 2013).
The Cp-A, curves are shown in Figure 1 for different values of Beta.

In order to generate power, the induction speed must be slightly greater than the synchronous speed, but the speed variation is typically so low that WTIG is considered to be an affixed speed wind generator (Elsady et al., 2010).
3. The stability of induction generators
The normal operation point is achieved when cutting the mechanical torque of the electric torque curve. Assuming condition of the generator, the generator will speed up during fault in the power system in accordance with the next equation of movement:

A typical torque-speed static characteristic of an induction machine is presented in Figure 3.


During the grid faults in the power system, Tmis the mechanical torque almost unchanged; in contrast, the electrical torque will drop because the electrical torque is proportional to the square of the voltage. This means that the speed allowed in depends on the inertia constant H of the generator, the fault duration and severity of the fault (Paulo Fischer et al., 2005; Jahangir Hossain et al., 2010).
To improve the transient voltage stability and therefore help the wind during grid faults, an alternative is to utilize dynamic reactive power compensation such as a STATCOM as considered in this study.
4. STATCOM
4.1 STATCOM operation
The STATCOM is a FACTS controller that can be treated as a solid-state synchronous condenser connected in shunt with the AC system. The output current of this controller is adjusted to control either the nodal voltage magnitude or reactive power injected at the bus. STATCOM is a new breed of reactive power compensators based on VSC as shown in Figure 4. It has a characteristic similar to a synchronous condenser, but because it is an electrical device it has inertia and it is superior to the synchronous condenser in several ways (Wei, 2007). Lower investment cost, lower operating and maintenance costs and better dynamics are big advantages of this technology (Zhang et al.., 2006).

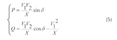
With the VSC voltage and the bus voltage, the output of the VSC can be expressed as follows:

where P and Q are respectively the active and reactive power of the VSC. V1 and V2 are the bus voltage and VSC voltage respectively. X is the reactance of the coupling transformer and δ is the phase difference between the voltage V1 and V2 (Noureldeen, 2009). The assumption that no active power shall be traded between STATCOM and the gate (operation without loss) for the voltage the controller is consistent with the voltage. If the amplitude of the compensation voltage is lower than the voltage at the connection node, the current flows from the gate of STATCOM (Ilyas et al., 2014). In such cases, reactive power is consumed. If reverse is true for the reactive power, it is delivered to the gate.
4.2 STATCOM model
The following equations describe the STATCOM modelling, shown in Figure 5:



With m: modulation index.
The model of STATCOM through a conversation on the axes d and q equations in the following voltages and currents are found:


In this case, when the harmonics and switching losses are neglected, Psh is given by the following equations:


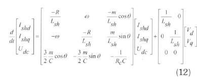
The dynamic model of SATCOM is shaped in following matrices:

When the resistor Rc represents the losses of the converter, which may be significant, according to the number of switches and the switching frequency (Campos, 2004).
For this study we will neglect the phase angle θ.
4.3 Control scheme of the STATCOM
The reactive power exchange of STATCOM with the ac system is controlled by regulating the output voltage amplitude of VSC. The AC terminals of VSC are connected to the point of common coupling (PCC) through the leakage inductance of the coupling transformer (Allagui et al., 2013).
Reference currents are obtained from the powers desired in Figure 6.

The current reference on the axis d and q are obtained from a linear controller type Proportional integral (PI). The control of power is carried out by controllers that are set so to ensure proper servo line currents hand report their values. Indeed, the use of two PI controllers is required (Allagui et al., 2014). Then the controllers inject a voltage (Vshd, Ishq) (Paulo Fischer et al., 2005). The cross-coupling terms between the d and q axes whether (+ω Ishq, -ω Ishd) are detected. Those cross-coupling terms are as see in Figure 7 are subjoined to the PI controllers as feed-forward expression. To regulate the DC voltage of the outer control loop to its constant value a PI controller is used.

This method is investigated from equations (14) (15) (16).



The STATCOM control strategy used in this paper is shown in Figure 8.

For synchronizing the output of the full scale converter of wind turbine, a Phase Locked Loop (PLL) algorithm is used. For Park transformation, the information about the angle of grid voltage is required. It is determined by a Phase Locked Loop (PLL) algorithm. This algorithm is very important because it makes synchronization with the grid possible. A change of the angle of grid voltage through time gives us the information about grid frequency f (Teodorescu et al., 2006; Jernej, 2012).
5. Studied system and results
The wind farm is organized into a grid consisting of three units for the wind turbine as describe in Figure 9. Each of these wind turbine units is equipped with a rotor, gearbox, squirrel-cage induction generator, a 400 KVAR fixed capacitor banks; applied for the reactive power compensation; connected at each unit a low voltage bus (25-Kv) which presented the main bus of the investigated wind park. The wind farm is connected to the 120-kV transmission through a 25 km 25-kV grid voltage. The studied power system is simulated using Simulink Matlab software package.

In this paper, the simulated disturbance is shown in Figure 10 starts at the seventh second, for 150 ms duration. According to the studied required grid code E.ON Netz, which clarifies the minimum voltage dip level and the profile of maximum duration of the occurrence, for which the production is obliged to remain 'online' are specified as described in Figure 11 (Margaris et al., 2007; Noureldeen, 2011; Hasnaoui et al., 2008).


To study the effect of STATCOM, the operation of the wind farm is monitored twice. The one is without STATCOM and the other with STATCOM connection at the main bus 25 of the wind farm.
5.1 Steady state results
When the generator is accelerated to the synchronous speed, 1200 rpm (1pu), the circuit breaker is closed and the generator is directly connected to the grid. The simulated waveforms for the generator are illustrated in Figure 12, where the system is simulated at the rated wind speed for the turbine which is 9 m/s. During the transitional system, a high inrush currents empties into the generator and a DC offset current appears in every of the stator currents isa, isb and isc, but the sum of these currents is zero compensated due to a balanced three-phase system. Such as a rotating magnetic range is designed and the core is magnetized by the generator stator current, an electromagnetic torque Te is produced.

It can be noticed that after the direct connection to the grid, the active power will exceed its nominal value and reach its maximum value .The wind turbine generates active power at a steady state -2.915 MW, reactive power of 1.47 MVAR. It reached the steady state after 2.15 s from the time of direct connection to the grid.
5.2 Disturbance state results without STATCOM connection
In this case, the protection system uses the circuit breaker if this grid faults lasts longer than 150 ms.
It is obvious that the wind turbine (MW 3) is activated when it senses a failure of wind reactive power support. Due to the lack of reactive power and the electrical torque in a wind turbine starts to speed up induction as illustrated in Figure 14.



Without STATCOM, the total produced active power during a grid fault decreased and drops to zero where the protection system trips the wind farm.
5.3 Results with STATCOM connection during grid fault
STATCOM delivers to the wind farm a reactive power and supports the grid voltage and providing the required power to the grid fault.
When connection of 30 MVAR STATCOM, the wind park remains in normal operation and the wind system restores back to initial state after duration of post-disturbance period. On the other side, in case of 3 MVAR STATCOM the delivered reactive power to the grid is still decreased to zero and the wind system is disconnected from the grid using the protection systems.
6. Conclusion
Flexible AC Transmission System (FACTS) is one aspect of the power electronics revolution that happened in all areas of electric energy.
This paper investigates the using of the STATCOM which is one of the FACTS's family to support the fixed speed wind power plant in order to fulfil the required voltage-dip ride-through capability. An 85% Low Voltage Ride through LVRT for 150 ms on the grid side is studied based on E.ON grid code. It is applied to a 9 MW fixed speed wind farm connected grid. Simulation studies show that the studied SCIG wind farm cannot stay connected under the studied voltage dip without STATCOM connection to its terminal and, with low rating STATCOM, while through 30 MVAR STATCOM connection at the main bus of the studied wind farm, it can stay connected.
Acknowledgment
This work was supported by the Tunisian Ministry of High Education, Research and Technology.
References
Allagui, M., Hasnaoui, O.B.K., and Belhadj, J. (2013). Exploitation of pitch control to improve the integration of a direct drive wind turbine to the grid, Journal of Electrical Systems, 9(2), 179-190. [ Links ]
Allagui, M., Hasnaoui, O.B.K., and Belhadj, J. (2014). A 2 MW Direct Drive Wind Turbine; Vector Control and Direct Torque Control Techniques Comparison, Journal of Energy of Southern Africa, 25(2), 117-126. [ Links ]
Appala Narayana, C.H., Ananth, D.VN., Syam, K.D., Prasad, CH., Saibabu, SaiKiran, S., and PapiNaidu, T. (2013). Application of STATCOM for Transient Stability Improvement and Performance Enhancement for a Wind Turbine Based Induction Generator, International Journal of Soft Computing and Engineering (IJSCE) ISSN: 2231-2307, Volume-2, Issue-6. [ Links ]
Campos, FG.R., and Penteado, A.A.Jr. (2004). Wind Energy generation Simulation with asynchronous generator connected to ENERSUL distribution System, IEEE/PES Transmission and Distribution conference and Exposition, Latin America, pp. 149-154. [ Links ]
Elsady, G., Mobarak, Y. A., and Youssef, A-R, (2010). STATCOM for Improved Dynamic Performance of Wind Farms in Power Grid, Proceedings of the 14th International Middle East Power Systems Conference (MEPCON'10), Cairo University, Egypt, Paper ID 207. [ Links ]
E.ON Netz GmbH (2006). Netzanschlussregeln für Hoch- und Höchstspannung, Bayreuth. [ Links ]
Hasnaoui, O. BK., Belhadj, J., and Elleuch, M. (2008). Direct Drive Permanent Magnet Synchronous Generator Wind Turbine investigation: Low Voltage Ride Through capability,-Dynamic behaviour in presence of grid disturbance, Journal of Electrical Systems, 4(3). [ Links ]
Ilyas, M., and Ubaid Soherwardi, M., (2014). STATCOM_for_Improved_Dynamic_Performance_of_Win d_Farms in Power Grid, published in International Journal of Modern Engineering Research, IJMER. [ Links ]
Jahangir Hossain, M., Hemanshu, R. P, Valeri, A., Rodrigo, A. (2010). .Simultaneous STATCOM and Pitch Angle Control for Improved LVRT Capability of Fixed-Speed Wind Turbines, IEEE TRANSACTIONS ON SUSTAINABLE ENERGY, Vol. 1, No. 3. [ Links ]
Jayam, A.P (2009). Improving the dynamic performance of wind farms with STATCOM, Bechtel Oil, Gas & Chem. Inc., Houston, TX Chowdhury, B.H. Published in, Power Systems Conference and Exposition. [ Links ]
Jernej, C. (2012). Laboratory prototype of a Static VAr compensator, XIV International PhD Workshop OWD. [ Links ]
Kadam, D.P, Kushare, B.E. (2014). LVRT Issue in Wind Farm System, International Research Journal of Sustainable Science & Engineering, IRJSSE / Volume: 2 / Issue: 1. [ Links ]
Margaris, I., Tsouchnikas, A., and Hatziargyriou, N. (2007). Simulation of Doubly Fed Induction Generator Wind Turbines, School of Electrical and Computer Engineering, National Technical University of Athens, Athens, Zografou 15780, Greece. [ Links ]
Mukund, R., (2006). Wind and Solar Power Systems Design, Analysis, and Operation, 2ND, New York: CRC Press Taylor &Francis Group. [ Links ]
Noureldeen, O. (2009). Characteristics of Fixed Speed Wind Turbines Interconnected Grid during Wind Speed Variations, 13th Middle East power systems conference MEPCON, Assuit University, Egypt. [ Links ]
Noureldeen, O. (2011). Low Voltage Ride through Strategies for SCIG Wind Turbines Interconnected Grid, International Journal of Electrical & Computer Sciences IJECS-IJENS Vol. 11 No: 02, Electrical Engineering Department, Faculty of Engineering, South Valley University, Qena, Egypte, 1175026565 IJECS-IJENS. [ Links ]
Paulo Fischer, T., Hailian, X. (2005). Topic 7: Wind Farm in Weak Grids Compensated with STATCOM, KTH, KunglTekniskaHögskolan, EME departmentTeknikringen, 33-35, Stockholm, Sweden. [ Links ]
Review of Grid Codes, (October 2011). Wind Integration, International Experience, WP2. Sedighizadeh, M., and Hosseini, M. (2010). [ Links ]
Investigation and comparison of using SVC STATCOM and DBR's Impact on wind farm integration, International Journal of Engineering and Applied Sciences (IJEAS), Vol. 2, Issue 4, 38-54. [ Links ]
Teodorescu, R., Blaabjerg, F., Liserre, M., and Loh, P.C. (2006). Proportional-Resonant Controllers and Filters for Grid-Connected Voltage-Source Converters, Electric Power Applications, IEE Proceedings. [ Links ]
Tsili, M., and Papathanassiou, S., (2009). .A review of grid code technical requirements for wind farms, Renewable Power Generation, IET, Vol. 3, No. 3, pp. 308-332. [ Links ]
Wei, Q. (2007). Power Quality and Dynamic Performance Improvement of Wind Farms Using a STATCOM, Georgia Inst. of Technol., Atlanta Harley, and R.G. Published in: Power Electronics Specialists Conference. [ Links ]
Zhang, X.P, Rehtanz, C., and Pal, B., (2006). Flexible AC Transmission Systems: Modelling and Control, ISBN-13 978-3-540-30606-1, Springer-Verlag Berlin Heidelberg. [ Links ]
Received 25 July 2014
Revised 24 November 2014











