Services on Demand
Journal
Article
Indicators
Related links
-
Cited by Google -
Similars in Google
Share
Journal of Energy in Southern Africa
On-line version ISSN 2413-3051Print version ISSN 1021-447X
J. energy South. Afr. vol.24 n.2 Cape Town May. 2013
RESEARCH ARTICLE
Evaluation of the regression parameters of the Angstrom-Page model for predicting global solar radiation
Solomon Agbo
National Centre for Energy Research and Development, University of Nigeria, Nsukka
ABSTRACT
A simple and empirical model for the estimation of average monthly global solar radiation for a Nigerian location is presented. Regression coefficients satisfying the Angstrom-page model have been obtained using clearness index (KT) and the relative sunshine data for the location. The test of validity of the model was done by evaluating the following statistical parameters: the mean bias error (MBE), root mean square error (RMSE), mean percentage error (MPE) and the correlation coefficient (CC). The results obtained from the statistical tests show that the new model is reliable for high precision estimation of global solar radiation. A comparison between the new model and other models is presented.
Keywords: global solar radiation, predicting models, sunshine duration, clearness index
1. Introduction
The design and operation of any solar energy system requires a good knowledge of the solar radiation data in a location. This data finds application in agriculture, climatology, meteorology, etc. Since the solar radiation reaching the earth's surface varies with climatic conditions of a place, a study of solar radiation under local climatic condition is essential.
Measured values of solar radiation can be in the form of global solar radiation, diffused solar radiation or beam solar radiation. The average daily values of these three parameters are sought after (Falayi and Rabiu, 2005) for various applications. Unfortunately these parameters are not measured or not reliably estimated in many parts of the world especially in the developing nations because of the lack of the measuring facilities. Solar radiation data for many parts of these countries are extrapolated from measured data collected from the few distant stations. This extrapolated data has been shown (Awachie and Okeke, 1985) to be of low precision even when the place of measurement is close.
An alternative to a weather station is the use of solar radiation predicting models. This requires the correlation of some climatic and meteorological parameters with the global solar radiation. One advantage of this approach is that some of the meteorological parameters, for example, ambient temperature can easily be measured in most places. Many researchers across the globe have predicted global solar radiation with high accuracy using data from sunshine duration, relative humidity, cloud cover and ambient temperature (Glover and McCulloch, 1958; Ododo et al., 1996; DeMiguel et al., 1994; Ibrahim, 1985; Ahmad and Ulfat, 2004; Fariba et al., 2013; Hacer and Harun, 2012).
In Nigeria, global solar radiation has been estimated using ambient temperature, cloud cover and relative sunshine duration for different locations (Awachie and Okeke, 1990; Ododo et al., 1996; Sambo, 1988; Ezekwe, 1988; Udo and Aro, 1999; Yohanna, 2011). New model equations for the estimation of solar radiation in Nigeria arising from a linear superposition of the effects of relative sunshine duration, maximum air temperature and relative humidity have been proposed and used in Maiduguri, and other locations in north-eastern Nigeria (Ododo, 2006; Ododo et al., 2006; Muyiwa, 2012). A predicting model which uses only maximum ambient temperature has been developed for Nsukka (Awachie and Okeke, 1990). The models of Sambo (Sambo, 1986) and Bamiro (Bamiro, 1983) tested at Nsukka showed a very poor correlation with the measured data with a percentage difference of between 25-30% (Ezekwe and Ezeilo, 1981). This paper therefore presents and validates a new model of the Angstrom-Page type for the estimation of monthly average daily global solar radiation in Nsukka, Nigeria.
2. Methodology
One year of data of the monthly average daily extra-terrestrial radiation on a horizontal surface, Ho, the day length, so and the number of hours of bright sunshine, s obtained for Nsukka (Latitude 6.8ºN longitude 7.29ºE) were correlated with the measured global solar radiation using the Angstrom-Page linear regression model defined as (Igbal, 1983):

where the day length, so is obtained from the Cooper's formula (Cooper, 1969) as:

The monthly average daily extra-terrestrial radiation on a horizontal surface, H0 (MJm-2day-1) can be obtained by the expression:

and the daily extra-terrestrial radiation on a horizontal surface, H0 is given as:

Eo as given in equation (5) is the eccentricity correction factor of the earth for each day of the month and n1 and n2 in equation (3) are the day numbers at the beginning and end of the month, respectively. /sc is the solar constant (Isc= 1367 W/m2) and angles θ and δ are respectively the latitude of the location and the declination angle. The declination angle and the sunset hour angle, ωscan be defined by the relations:

H0 and s0 were computed for each month using equations 2 and 3. Regression analyses were performed between the clearness index (KT = H/Ho) and the relative sunshine duration (s/so) using MATLAB® computer program. The regression parameters, a1 and a2 satisfying Angstrom-page model was obtained as:

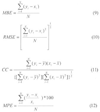
The deviation between the estimated values of global solar radiation based on our model (equation 8) and the measured values were determined using the root mean square error (RMSE) and the mean bias error (MBE) as proposed by Stone (1993). The correlation coefficient (CC) and the mean percentage error (MPE) were also determined. These statistical tools are defined thus (Igbal, 1983):

where yi is the ith predicted value, xi the ith measured value,
and
are the predicted and measured mean values respectively and Ν the number of observations.
For comparison, one year measured data for Nsukka was obtained from Awachie and Okeke (1990) and compared with the new model and the models of Awachie and Akpabio. Awachie and Okeke (1990) correlated the maximum ambient temperature, Tm with the global solar radiation for Nsukka as:

Akpabio and Etuk (2003) developed a model for estimating global solar radiation for the rainforest climatic zone of southern Nigeria. This model is expressed as:

The model of Akpabio and Efuk (2003) was also used to predict global solar radiation at Nsukka and he results are compared with that of our proposed model.
3. Results and discussions
Figure 1 shows the plots of measured and predicted monthly average daily global radiation using our derived model and that of Awachie and Okeke (1990) and Akpabio and Etuk (2003). We observe that the results from the predicting models show a good agreement with measured values especially within the first six months of the year. For all the models, H shows high values in the first four months of the year before dropping to its lowest values in August. The low value of H obtained for August is expected since it lies within the peak of rainy season in Nsukka. Generally, the percentage error for our model and Awachie/Okeke's is below 10% across all the months of the year. This error range is considered good for validating a model (Akpabio and Etuk, 2003).

The validity test for the predicting models is further demonstrated by the low values of the RMSE, MBE and the near-one value of the CC as in Table 1. These tests results is also an indication of the reliability and accuracy of the Angstrom-page model for predicting global solar radiation using hours of bright sunshine data. The test results for the three models indicate that they are all suitable for estimating global solar radiation in Nsukka. However, our model shows the highest precision among the three models given its lowest values of MBE, RMSE and MPE.

The values of the regression coefficients obtained for our model though different from that of Akpabio/Etuk gives a better prediction for Nsukka. It also strengthens the fact that solar radiation predicting models should be location specific so as to avoid extrapolation errors arising from using models developed for a particular station in a different location. The model of Awachie/Okeke though based only on one climate variable still shows a high precision for predicting global solar radiation. This indicates that maximum ambient temperature of a location correlates highly with the global solar radiation, thus can be used for solar radiation estimation.
4. Conclusion
The regression parameters of the Angstrom-page model for estimating global solar radiation have been determined for Nsukka. The model equation is expressed as

: The model has been validated following the statistical tests results obtained as follows: MBE (0.0099), RMSE (0.651), CC (0.924) and MPE (0.213). In comparison with other models, our derived model shows a relatively higher precision ability
References
Ahmad, F and Ulfat, I. (2004). Empirical models for the correlation of monthly average daily global solar radiation with hours of sunshine on a horizontal surface at Karachi, Pakistan. Turkish J. Physics, 28, 301-307. [ Links ]
Akpabio, L.E and Etuk, S.E. (2003). Relationship between global solar radiation and sunshine duration for Onne, Nigeria. Turkish J. Physics, 27, 161167. [ Links ]
Awachie, I.R.N and Okeke, C.E. (1990). New empirical solar model and its use in predicting global solar irradiation. Nigerian J. Solar Energy, 9, 143-156. [ Links ]
Awachie, I.R.N and Okeke, C.E. (1985). The effect of climatological factors on total solar radiation in some towns in Nigeria. National solar energy forum (NASEF '85). [ Links ]
Bamiro, O.A. (1983). Empirical relations for the determination of solar radiation in Ibadan, Nigeria. Solar Energy 31, 85-94. [ Links ]
Cooper, P.I. (1969). The absorption of solar radiation in solar stills. Solar energy 12(3), 333-346. [ Links ]
DeMiguel, A, Bilbao,J Salson, S and Lage, A. (1994). Solar radiation and sunshine hour maps in Castilla and Leon region (Spain). Renewable Energy, 4, 933-940. [ Links ]
Ezekwe, C.I. (1988). The solar radiation climate of Nigeria. Solar wind technology, 5, 563-571. [ Links ]
Ezekwe, C.I. and Ezeilo, C.C.O. (1981). Measured solar radiation in a Nigerian environment compared with predicted data. Solar Energy, 26, 181-186. [ Links ]
Falai, E.O and Rabiu, A.B. (2005). Modelling global solar radiation using sunshine duration data. Nigerian J. Physics, 17S, 181-186. [ Links ]
Fariba B, Ali A. D and Ahmad R. F. (2013). Empirical models for estimating global solar radiation: A review and case study. Renewable and Sustainable Energy Reviews, 21, 798-821. [ Links ]
Glover, J and McCulloch, J.S.G. (1958). The empirical relation between solar radiation and hours of sunshine. Q.J.R Meteorol. Soc. 84, 172-175. [ Links ]
Hacer D and Harun A. (2012). Sunshine-based estimation of global solar radiation on horizontal surface at Lake Van region (Turkey). Energy Conversion and Management, 58, 35-46. [ Links ]
Ibrahim, S.M.A. (1985). Predicted and Measured global solar radiation in Egypt. Solar Energy 35, 185-188. [ Links ] Iqbal, M. 1(983). An Introduction to Solar radiation. Academic Press, Canada. [ Links ]
Yohanna, J. K, Itodo, I. N. and Umogbai, V. I. (2011). A model for determining the global solar radiation for Makurdi, Nigeria. Renewable Energy, 36(7), 19891992. [ Links ]
Muyiwa S. A. (2012). Estimating global solar radiation using common meteorological data in Akure, Nigeria. Renewable Energy, 47, 38-44. [ Links ]
Ododo, J.C. (2006). New models for the prediction of solar radiation in Nigeria. Nigerian J. Solar Energy, 16, 5-14. [ Links ]
Ododo, J.C, Agbakwuru, J.A and Ogbu, FA. (1996). Correlation of solar radiation with cloud cover and relative sunshine duration. Energy Conversion and Management, 37 (10), 1555-1559. [ Links ]
Ododo, J.C, Aidan, J and Ogbu, FA. (2006). Modelling of solar radiation in North-Eastern Nigeria. Nigerian J. Solar Energy, 16, 61-78. [ Links ]
Sambo, A.S. (1986). Empirical models for the correlation of global solar radiation with meteorological data for Northern Nigeria, Solar Wind Technology, 3, 89-93. [ Links ]
Sambo, A.S. (1988). The measurement and prediction of global and diffuse components of solar radiation for Kano in Northern Nigeria, Solar Wind Technology, 5(1), 1-5. [ Links ]
Udo, S.O and Aro, T.O. (1999). Measurement of global solar, global photosynthetically-active and downward infra-red radiation at Ilorin, Nigeria. Renewable Energy, 17, 113-122. [ Links ]
Received 1 March 2012
revised 22 March 2013











