Services on Demand
Journal
Article
Indicators
Related links
-
Cited by Google -
Similars in Google
Share
Journal of the South African Institution of Civil Engineering
On-line version ISSN 2309-8775Print version ISSN 1021-2019
J. S. Afr. Inst. Civ. Eng. vol.58 n.1 Midrand Mar. 2016
https://doi.org/10.17159/2309-8775/2016/v58n1a2
TECHNICAL PAPER
A comparison of technical and practical aspects of Eurocode 3-1-1 and SANS 10162-1 hot-rolled steelwork design codes
R S Walls; C Viljoen
ABSTRACT
In South Africa engineers are starting to use the Eurocode guidelines for steelwork design, and it is important to understand the implications and differences in results that are obtained when applying the different codes. This paper presents a comparison between the Eurocode 1993-1-1:2005 and SANS 10162-1:2005 hot-rolled steelwork design codes. Numerical comparisons of predicted member design strengths for the important modes of failure and the complexity of calculations are presented, along with considerations regarding the parameters used in design. The following are explicitly shown for both codes: (a) differences in the classification of commonly used H, I, PFC and equal L sections, (b) differences in tension resistance calculations, (c) comparisons of all axial buckling curves, (d) calculations for a selection of members in flexural buckling which have different classifications, and (e) a summary of the shear resistances of commonly used H and I sections. It is shown that, on average, Eurocode 3 predicts higher member design strengths than the SANS 10162 code for most failure modes, primarily because of material partial safety factors closer to unity, less conservative buckling curves and the consideration of plastic resistance of sections. These EC3 design capacities can be higher by up to 11% for tension, 35% in compression, 31% in bending and 51% in shear, although there are cases where strengths of up to 33% lower were calculated, such as for an IPEAA-200 in shear. Results are influenced by design geometric tolerances, which are based on section classifications. The Eurocode's equations and design methodologies are more complex and computationally demanding. Since South Africa has started moving in the direction of adapting or adopting Eurocodes with the SANS 10160 Loading Code (from EN 1) and SANS 10100 Structural Concrete Code (from EN 2), it should be considered whether or not the steelwork code should be adopted or adapted in a similar fashion in the future.
Keywords: steelwork codes, Eurocode 1993-1 -1, EN 3, SANS 10162-1, technical comparison, member resistance
INTRODUCTION
Background to the codes
In South Africa hot-rolled steelwork is primarily designed using the SANS 10162-1:2005 code, The Structural Use of Steel - Part 1: Limit-state design of hot-rolled steelwork (SANS 2005), of which the first edition was published in 1993. The code is based on the Canadian steelwork design code, CSA S16, which has the same approach to design as that of the USA. Historically South Africa used to follow the British standards in terms of steelwork design, such as BS 5950 (BS 1995). However, recently the code for the design of cold-formed steelwork in this country, SANS 10162-2 (SANS 2011), has been updated, and is now based on the Australian and New Zealand Standard AS/NZ 4600:2005 (AS/NZS 2005). It can thus be seen that South Africa draws upon a diverse range of codes. Compiling a design code requires vast resources, and it has been more expedient to adopt or adapt the work of other countries.
The development of the Eurocodes was initiated in 1975, whereby "the objective of the programme was the elimination of technical obstacles to trade and the harmonisation of technical specifications" for the European construction industry (Eurocode Foreword). Of the Eurocodes it is claimed: "Eurocodes are one of the most advanced suites of structural codes in the world. They embody the collective experience and knowledge of the whole of Europe ... Eurocodes reflect the results of research in material technology and structural behaviour in the last fifty years and they incorporate all modern trends in structural design." (Narayanan 2008)
Around 26 countries in Europe have adopted the EN suite of codes. Other countries, such as Singapore, are now considering adopting them as well (De Clercq 2012).
The Eurocodes are published by CEN (the French acronym for the European Committee for Standardisation), and the documents are accompanied by National Annexes containing Nationally Determined Parameters (NDPs). The NDPs allow for a certain level of local calibration in member states, as partial factors can be selected to account for factors such as local construction tolerances, steel quality, historical data and other such factors. In this paper the NDPs recommended by CEN have been selected, as they are most commonly used throughout the member states, although variations in selection are discussed below. The Eurocode suite of ten documents cover the basis for design, actions of structures, concrete, steel, timber, masonry, geotechnical design, earthquakes and aluminium structures. Hence, all aspects of structural design, such as analysis, loading, resistances and even construction requirements, are addressed within the codes.
Steelwork structures are covered within EN 1993 (or EN 3), which consists of twenty separate documents. The main sections to the EN 3 document are:
■ EN 1993-1 Design of Steel Structures: General rules and rules for buildings
■ EN 1993-2 Design of Steel Structures: Steel bridges
■ EN 1993-3 Design of Steel Structures: Towers, masts and chimneys
■ EN 1993-4 Design of Steel Structures: Silos, tanks and pipelines
■ EN 1993-5 Design of Steel Structures: Piling
■ EN 1993-6 Design of Steel Structures: Crane supporting structures
Within Part 1 of EN 3 there are the following twelve sections:
■ EN 1993-1-1 Design of Steel Structures: General rules and rules for buildings
■ EN 1993-1-2 Design of Steel Structures: Structural fire design
■ EN 1993-1-3 Design of Steel Structures: Cold-formed thin gauge members and sheeting
■ EN 1993-1-4 Design of Steel Structures: Stainless steels
■ EN 1993-1-5 Design of Steel Structures: Plated structural elements
■ EN 1993-1-6 Design of Steel Structures: Strength and stability of shell structures
■ EN 1993-1-7 Design of Steel Structures: Strength and stability of planar plated structures transversely loaded
■ EN 1993-1-8 Design of Steel Structures: Design of joints
■ EN 1993-1-9 Design of Steel Structures: Fatigue strength of steel structures
■ EN 1993-1-10 Design of Steel Structures: Selection of steel for fracture toughness and through-thickness properties
■ EN 1993-1-11 Design of Steel Structures: Design of structures with tension components made of steel
■ EN 1993-1-12 Design of Steel Structures: Supplementary rules for high-strength steel
This paper presents an overview of the hot-rolled design section, EN 1993-1-1. An extensive research programme would need to be carried out to compare all aspects of EN 3 and SANS steel codes, as these cover a very broad spectrum. Note that it is not possible to cover all the aspects, guidelines and clauses of both codes in this paper.
The intention of this paper is neither to encourage nor discourage the adoption of the Eurocode 3 guidelines in South Africa. It is simply meant to outline the technical details of each code to allow useful comparison. There would be both advantages and disadvantages to future adopting or adapting of the code for use in South Africa, and these would have to be carefully considered.
TECHNICAL COMPARISON
General nomenclature and design considerations
In this paper the resistance of sections is calculated based on using S355JR steelwork, having a yield stress of f = 355 MPa and a Young's Modulus of E = 200 GPa. In EN 3 the Young's Modulus of steel is stated as being 210 GPa, which does provide a slightly higher resistance of members in buckling. However, the value of 200 GPa has been retained to match the SAISC Red Book (SAISC 2005) guidelines. It should also be noted that, for SANS 10162-1, fyis reduced to 350 MPa for f > 16 mm. For EN 3 fyis reduced to 335 MPa for tf > 40 mm.
An important aspect which must be noted when comparing the SANS and EN codes is that the axes of members have different notations. For SANS the major axis of a cross-section is x-x, and the minor axis is y-y. However, for EN codes the major axis of a cross-section is y-y, the minor axis is z-z, with an axis along the length of a member being the x-x axis. This is shown in Figure 1. In this paper the axis notation of each code is retained when presenting design equations.

Partial factors
A very important difference between the SANS 10162-1 and EN 3 codes is the values of partial factors. If South Africa was to adopt the EN 3 code these factors could, and should, be adjusted to suit local conditions or (even to match existing partial factors), be based on local material and manufacturing quality.
For the purposes of this paper the partial factor values recommended in EN 3 will be used for calculations. Each country in Europe which has adopted the EN codes has issued National Annexes (NA) to allow for local calibration of codes, and thus many of these values differ from country to country. The National Annexes contain the Nationally Determined Parameters (NDPs) suitable for that region. A country should not start using the EN codes until the NDP values have been determined. It has been noted that engineers in South Africa have started using EN 3 without NDP values specific to this country. This paper will assist in identifying the impact associated with such a choice.
The partial factors recommended in SANS 10162-1 Section 13 are:
a. Structural steel: 0 = 0.90
b. Bolts: 0b= 0.80
c. Bearing of bolts on steel: 0br = 0.67
d. Weld metal: 0w = 0.67.
Item (a) is the most important, relative to the results presented in this paper.
Rather than recommending partial factors according to the nature of the material or item, EN 3 recommends factors according to the nature of the design and failure mechanism:
a. Resistance of cross-sections whatever the class: ym0= 1.00
b. Resistance of members to instability assessed by member checks: Ym1= 1.00
c. Resistance of cross-sections in tension to fracture: γM2= 1.25
d. Resistance of joints: see EN 1993-1-8. Eurocode resistances are divided by partial factors, whereas SANS resistances are multiplied by them. Hence, 0 < 0i < 1.0, whereas Ymí > 1.00. Table 1 shows a summarised comparison of these factors.

From the values listed above it can be seen that in general SANS uses a design value of 90% of characteristic material strength, whereas EN 3 accepts a higher design value at 100% of the characteristic material strength. This immediately causes the EN 3 design calculations to predict higher resistances for members, except in the case of tension fracture failures (but other factors must be considered for this mode of failure, as will be discussed further on under the heading "Cross-sectional classification"). It should be noted that, at the stage when Eurocode 3 was a voluntary design guideline called ENV 3, the material factor was suggested as 1.1 (Chabrolin 2001). Thus, it can be seen that there have been discussions and changes in the material factors utilised. The yield strength of steel typically follows a normal distribution, with the average strength being two standard deviations above the characteristic strength (JCSS 2001). The standard deviation is generally 30 MPa. The increased design strength used in EN 3 may indicate a greater confidence in the quality control and use of steelwork in the European Union.
As a broad overview of the partial factors selected by various countries for their National Annexes, the countries of Bulgaria, Denmark, Finland, Norway, Slovenia, Sweden and the UK are considered here (CSI 2010). Of the partial factors recommended in Table 1 the only differences in these countries are that Ymo has a value of 1.05 in Bulgaria and Sweden, and 1.10 in Denmark. In Bulgaria and Sweden Ym1 has its value set at 1.05, and in Denmark at 1.20. In the United Kingdom YM2has a value of 1.10, 1.35 in Denmark and 0.9fu/fy (but < 1.1) in Sweden. Due to the large number of countries in which the EN codes have been adopted, not all of these can be considered in this paper. However, it can be seen that there is a certain degree of variation across Europe.
Extensive research programmes have been carried out in Europe to verify the partial factors selected for the EN 3 code. A programme headed by Chabrolin (2001) conducted tests at steel mills in France, Spain, the United Kingdom, Luxembourg, Germany, Italy and the Netherlands. Nine hundred samples, consisting of HE, IPE, UB and UC sections of grades 275 to 460 steel, were measured at the mills. Based on this research it was concluded that a value of ym0= 1.00 was acceptable. However, it is a concern that, even if a section is within specification at a mill, it would still have to go through workshop fabrication, handling and erection, which may cause additional imperfections and residual stresses from welding.
Reliability calibration and loading codes
The target reliability index of steel buildings is stated as βT = 3.0 for CSA S16, as noted in Appendix B of the document, with connectors having a higher level of reliability. In EN 1990 "Eurocode - Basis for Structural Design" the target reliability index of structural members at the ultimate limit state is set at βT = 3.8. Based on this, one would expect that the Eurocode would predict lower member strengths (more conservative) than the Canadian code. However, in this paper it can be seen that this is typically not the case.
The South African loading code, SANS 10160, is consistent with the Eurocode loading code, with the same basis of design. However, these two codes have been calibrated to different reliability levels, with SANS 10160 having a reliability index (βT) of 3.0, and the Eurocodes having a reliability index of 3.8 (Retief et al 2009). These values correspond to probabilities of loads being exceeded by 0.135% and 0.00723% respectively. This implies that the European loading code will estimate higher loads. However, in the overall development of the latest code systems the loading codes have been effectively decoupled from the material codes, making it theoretically possible to use loading and material codes from different countries. In particular, the latest revision of SANS 10160 (2011) implemented a basis of design similar to that of Eurocodes, thus specifically allowing the use of our loading code with EN material standards (Retief et al 2009). The de-coupling also allows separate calibration to achieve adequate reliability of load effect in the loading code, and of resistance in the material standard, respectively. In this paper it is assumed that the steel codes would be used with the same loading code, as would be the case in South Africa where SANS 10160 would be used for both cases. Should EN 3 be adopted, it would be necessary to ensure that required resistance reliability levels are achieved through adjusting NDPs.
Cross-sectional classification
Before the strength of a section can be determined the section must be classified, based on the width to thickness ratio of components. SANS 10162-1 and EN 3 classify sections in an almost identical manner:
■ Class 1: Cross-sections which can form a plastic hinge and allow a redistribution of moments.
■ Class 2: Cross-sections which can develop a plastic moment of resistance, but because of local buckling, have limited rotation capacity.
■ Class 3: Cross-sections which can obtain an elastic moment of resistance, but not a plastic moment of resistance.
■ Class 4: Cross-sections in which local buckling will occur before yield stresses are reached.
The SANS 10162 and EN 3 codes classify sections into the aforementioned classes according to Table 2, with Figure 2 as a reference. Note that the symbols shown have been slightly modified, relative to those listed in the code to avoid any confusion in referencing.


Using the methods of classification listed above, a comparison has been done of H, I, PFC and equal L sections presented in the SAISC Red Book (SAISC 2005). The members listed in Table 3 show where there are differences between these codes in classification. All members not listed have the same classification in both codes.

Members in Classes 1, 2 and 3 have the same procedure in both codes for the calculation of compressive strength. However, when there is a Class 4 section in compression, or a Class 3 or 4 member in flexure, then the method of design differs. Thus, of primary interest, of those members listed in Table 3, are the UC 152 χ 152 χ 23 and UC 203 χ 203 χ 46 in flexure, and all the members listed under the compression section. The EN 3 estimate of resistance of the UC 203 χ 203 χ 46 in flexure is increased by virtue of the fact that it is allowed to develop a plastic moment of resistance rather than an elastic moment.
Members in tension
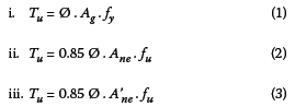
The SANS 10162-1 code calculates the tensile resistance of a member as the lowest of the following values:

The EN 3 code determines tensile resistance in a similar way, with the tension capacity being the smaller of:

Clauses are provided for the determination of shear lag effects.
From the above code it can be seen that the SANS code assumes that 90% (0) of the gross cross-sectional area reaches the characteristic yield stress, whereas the EN 3 code utilises 100% (YM0). The ultimate resistance of the net cross-section is calculated as being 76.5% (0.850) and 72.0% (0.9/YM2) respectively. Thus, in the first instance the EN 3 allows an 11.1% higher design resistance, whereas in the second case the design resistance is 5.9% lower.
SANS 10162-1 sets the maximum slenderness limits (L/r) as being 300 for tension members and 200 for compression members. Within EN 3 slenderness limits are not explicitly stated, and theoretically members of an infinite slenderness are allowed. Of course, design against buckling modes of failure will prevent this in practice.
Members in axial compression
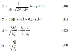
The basic calculations required to determine the compressive resistance of a member are discussed below. Both codes calculate the design capacity based on the resistance of a section at yield stress reduced by material factors and a reduction in capacity due to buckling. The EN 3 code states this more explicitly with the use of χ reduction factors. The SANS 101621 code has only one buckling curve (see Figure 3), assuming that all members have similar geometric imperfections. However, the EN 3 code has five buckling curves which account for varying levels of imperfection, through the use of an imperfection factor.

The SANS 10162-1 equations for the resistance of a member in compression, Cr, with buckling about any axis are:

where:

Both the SANS and EN codes reduce the effective area of a Class 4 member in compression.
The EN 3 code calculates the compression resistance of a member subject to buckling, Nb Rd, using the following equations:

where:

The imperfection factor values, α, for the various buckling curves are:

These factors are the same for compression and flexural resistance. Members in compression are assigned buckling curves according to Table 4.

Figure 3 compares the stresses at failure predicted by SANS 10162 with the five EN 3 buckling curves, for Classes 1 to 3 members. This stress can be converted to an ultimate limit-state axial load be multiplying it by the area of a member. The stresses predicted by EN 3 are initially 11% higher, due to the difference in material factors of 0 and YM1
Curves a0,a and b are always higher than the SANS 10162 curve. Curves c and d drop below the SANS curve if slenderness exceeds 81 and 31 respectively. The theoretical yield stress for short columns, and Euler buckling stress for slender columns, form an upper envelope of all the curves. Fo r the EN 3 buckling equations if a = 0 and the value of 0.2 in Equation 11 is set to 1.0, the curve will match the Euler and yield stress envelope. Since the EN equations are based on Perry-Robertson buckling, the values can match theoretical values if imperfection factors are removed.
The overall differences in failure stresses are compared in Table 5. The maximum, minimum and root mean square (RMS) of the percentage differences between the SANS and EN curves are given for slenderness ratios up to 200. From Table 5 it is clear that there can be substantial differences in calculated design capacity, such as 35.2% for high-strength steels (curve a0), 24.4% for buckling about a UB section's major axis (curve a), and 12.2% for buckling about a UB minor axis or any axis of a UC or L (curves b or c). For slenderness ratios above 50 the buckling curve c and the SANS curve have very similar values, with an overall RMS difference of only 5.5%. Buckling curve d is only used for minor axis buckling of welded I-sections with flanges thicker than 40 mm.

Members in bending
The bending resistance Mrof members is calculated by SANS 10162-1 in the following manner:

where:

- elastic critical moment of buckling
For Classes 3 and 4 sections, and channels, Mpis replaced by My.
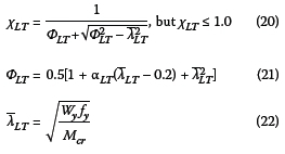
For EN 3 the generalised bending resistance Mb,Rdis determined by:

where:

Wyis the modulus of the section (equivalent to the SANS Z value) and is determined by the section class:
■ Wy= Wply for Class 1 or 2 sections (23)
■ Wy= Wely for (Class 3 sections (24)
■ Wy= Weffy for Class 4 sections (25)
The value of aLTis the lateral-torsional imperfection factor, and is equal to the factors listed in the "Members in tension" section above for the compressive resistance imperfection factor.
The value for Mcris not explicitly given in EN 3, but it was provided previously in an Informative Annex to ENV 1993-1-1 (1992) as defined by Timoshenko and Gere (1963), and as per the SANS 10162-1 code:

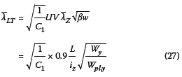
where C1is a modification factor used to account for the shape of the bending moment diagram. Other approximations of Mcrhave been proposed in the literature. Nethercot (2011) provides a much simpler equation whereby Mcrdoes not directly need to be calculated, instead:

The above equations are modified for rolled sections or equivalent welded sections:


The recommended values by CEN for λlt.0and β are 0.4 and 0.75 respectively.Then, to account for the shape of the bendirrg moment between supports, χLT may be modified as follows:

kcis a correction factor from Table 6.6 of EN 3-1-1.

Figure 4 presents a comparison between flexural members designed by SANS 10162 and EN 3, showing the stress at failure relative to a plastic modulus (i.e. Stress = Mr/Zplx). For SANS the slenderness of members is limited to 300. The members listed in Table 6 have been selected to highlight different aspects, as shown in the table. The UB 457 χ 191 χ 75 is a heavy Class 1 section with buckling curve c. The UC 203 χ 203 χ 46 is considered a Class 3 section by SANS, but a Class 2 section in EN 3, so different section moduli are used by the different codes. The PFC is designed as a Class 3 based on SAISC Red Book (SAISC 2005) guidelines for SANS, but considered a Class 1 section with buckling curve d for EN 3, and uses Equation 20 rather than 28.

From Figure 4 the differences in the predicted failure stresses relative to the plastic modulus are shown to vary between the selected sections. For the UB 457 χ 191 χ 82 section it can be observed that, after the initial difference, due to partial factors, the resistances are in the order of -6.2% to 16%. The resistance of the UC 203 χ 203 χ 46 is initially 23% higher for EN 3, due to partial factors and because the SANS 10162-1 code considers only the member's elastic resistance and not its plastic resistance. With SANS the PFC 180 χ 70 has been designed as a Class 3 section, but under EN 3 it is designed as a plastic section with buckling curve d. Thus, there is a substantial difference between these calculated resistances, ranging from 31.1% initially to -27.6% at an effective length of 3 m.
Members in shear
SANS 10162-1 and EN 3 have similar means of determining the shear resistance of members. For hot-rolled sections the shear resistance Vr, according to the SANS 10162-1 code, is:

where:

fs= 0.66fyexcept for plastic hinges with a plastic analysis, then: (34)
fs = 0.55fy (35)
The plastic shear resistance of a hot-rolled section according to EN 3 is:

Avmay be taken as the following:

For the elastic shear resistance of a section it must be verified that:

where:

S is the first moment of area about the centroidal axis of that portion of the cross-section between the point at which shear is required and the boundary of the cross-section. I is the second moment of area of the whole cross-section, and t is the thickness at the examined point. Equation 39 is the generalised case and is complex to calculate. However, for I or H-sections the shear stress can be calculated by:

where Aw= hw twis the area of the web.
Based on the above equations for H and I-sections listed in the SAISC Red Book (SAISC 2005) it can be seen that the EN 3 code predicts, on average, a plastic shear design resistance 30.4% higher than the SANS code. However, the elastic design resistance is 19.7% lower on average. This is based on two factors: (a) for SANS a higher shear stress is allowed for elastic rather than plastic design (0.66fyvs 0.55f), and (b) for EN 3 a smaller shear area for elastic design is allowed than for plastic (A - 2btf+ (tw+ 2r)f vs hwtw). The maximum discrepancy in the calculated shear strengths between the codes is 50.6% for an IPEAA-200 for plastic design and -32.8% for a UC 254 χ 254 χ 167 for elastic design.
Code scope
As was presented in the "Background to the codes" section at the beginning of this paper, there is a large difference in the scope of the works considered by the EN and SANS codes, with the EN documents being far more extensive. An important reason that a country may wish to adopt or adapt the Eurocodes is that they are typically very comprehensive and cover a wide range of issues. However, with this comes added complexity, as discussed below, and generally available expertise in a country should inform the scope of national standards. Topics addressed within EN 3 which are not covered in the SANS codes include fire design, silos, certain joint behaviour, and chimneys, amongst others.
COMPUTATIONAL EFFORT REQUIRED FOR DESIGN
It is not only important that a code provides sufficient reliability, but also that it is user-friendly. If a code is too complex it may either not be used, or mistakes may occur more easily. In this section a comparison of the computational effort required to calculate the design strengths of members is given to provide a rough indication of the complexity of each code. Since the design procedures discussed in this paper generally follow a single set of steps, with different equations for each section classification, there are typically not "loops" with repeated calculations that are followed multiple times. However, as designs become more complex and entire systems are considered, the level of calculation required will increase, especially for the Eurocode documents.

where C = X2, would be considered to require six operations. If a number must be looked up in a table it is counted as an operation. If a term must be calculated, say φLT in Equation 29, and is then used multiple times, the number of operations required to determine its value the first time are not added each time the term is used. There are various ways to determine the number of operations required for calculations, but this approach is being followed as a basic benchmarking exercise. The calculations required for designing connections are not considered in this paper, but are also a very important part of design.
These numbers are only an approximate indication, and will vary depending on the section chosen and the various clauses that must be considered. For example, a Class 4 section in bending will have numerous additional calculations for both codes. Note that for laterally-restrained beams and short columns the computational effort required is the same for both codes. The values presented in Table 7 are based on an angle in tension and a Class 1 I-section for the remaining calculations.

From Table 7 it can be seen that the additional computational effort required to design one member of each type using EN 3 is:
■ Tensile resistance: 37.5%
■ Compressive resistance: 37.5%
■ Bending resistance: 85.7%
■ Shear resistance: 25.0%
■ Total: 56.3% (based on one member of each kind being considered).
If Equation 27 is used for λltit reduces the total number of operations by 10 for EN 3 for the bending resistance of members.
From the above it is shown that the EN 3 code is more computationally expensive, but primarily so in situations where buckling must be considered.
Given that there are 20 documents in the full EN 3 set, there is much cross-referencing, which adds additional complexity. The EN suite is very large and must be carefully read to ensure all clauses and clarifications are understood and followed. For instance,
Martin (2010) notes that, "National Annex for EN 1992-2 would refer to EN 1992-2 which, in turn, refers to its Appendix EN 1992-2, then also refers to EN 1992-1-1, its appendix, and the National Annex to EN 1992-1-1."
This can easily cause confusion and may result in mistakes during design.
CONCLUSION
This paper presented an overview of the SANS 10162-1 and EN 3-1-1, with technical and practical aspects being compared. It was shown that on average EN 3 predicts higher member design strengths than SANS 10162-1 for most failure modes. These EC 3 design capacities can be higher by up to 11% for tension, 35% in compression, 31% in bending and 51% in shear, although there are cases where strengths of up to 33% lower were calculated, such as for an IPEAA-200 in shear. Results are influenced by design geometric tolerances, which are based on section classifications.
The generally higher estimates of member design capacity by EN 3 are primarily due to (a) partial factors that are closer to unity, (b) less conservative buckling curves, and (c) not only considering a member's elastic resistance, but allowing the consideration of plastic resistance. Partial material factors that are closer to unity, as well as less conservative buckling curves, may be justified by better quality controls that reduce the variance in steel strength and dimensional deviations. Thus, caution should be exercised when using these factors in South Africa, unless similar material quality and construction quality can be proved. However, if this can be justified, more economic designs may be achieved based on EN 3. On the downside, EN 3 is computationally more expensive, especially when the buckling of members must be considered.
The target reliability levels of 3.0 and 3.8, for the SANS and EN steel codes respectively would suggest that the SANS code should estimate higher resistances (less conservative) for steel members, assuming similar material quality and construction quality. This investigation has shown that the opposite is generally true. If EN 3 was to be adopted in South Africa, calibration exercises would need to be undertaken to ensure acceptable reliability levels. This may be addressed through the adjustment of Nationally Determined Parameters.
DEFINITIONS OF SYMBOLS USED
Symbols common to SANS 10162-1 and EN 1993-1-1
A Cross-sectional area
AvShear area
b Breadth of the flange of a steel section
E Modulus of elasticity
fy Yield strength
fuUlimate strength
G Shear modulus
h Overall height of a steel section
I Moment of inertia
L Member length
McrElastic critical moment for lateral-torsional buckling
t Thickness of a steel section
ν Poisson's ratio
Symbols for SANS 10162-1
x-x Major axis of a cross-section
y-y Minor axis of a cross-section
AgGross cross-sectional area
AneEffective net area
A'neEffective net area reduced for shear lag
CrFactored compressive resistance of a member
CuUltimate axial compressive load
CwWarping torsional constant
fsUltimate shear stress
J St Venant torsion constant of a cross-section
K Effective length factor
Mp Plastic moment
MrFactored moment resistance of a member
MuUltimate bending moment in a member
MyYield moment
n Empirical constant for compressive resistance
r Radius of gyration
ταUltimate tension force in a member
VrFactored shear resistance of a member
ZeElastic section modulus
ZplPlastic section modulus
λ Non-dimensional slenderness ratio in column formula
0 Resistance factor for structural steel
w2Coefficient to account for increased moment resistance of a laterally unsupported segment when subject to a moment gradient
Symbols for EN 1993-1-1
y-y Major axis of a cross-section
z-z Minor axis of a cross-section
AeffEffective area of a cross-section AfArea of one flange
AnetNet area of a cross-section
C1Coefficient to account for increased moment resistance of a laterally unsupported segment when subject to a moment gradient
f Modification factor to
i Radius of gyration
ΙT St Venant torsion constant of a cross-section
IwWarping torsional constant kcCorrection factor for moment distribution
LcrBuckling length in the buckling plane considered
LT Lateral-torsional buckling
MEdDesign value of the bending force
MRdDesign values of the resistance to bending forces
NcrElastic critical force for the relevant buckling mode based on the gross cross-sectional properties
NEdDesign value of the axial force
NRd Design values of the resistance to axial forces
RdDesign value of resistance
S First moment of area about the centroidal axis of that portion of the cross-section between the point at which shear is required and the boundary of the cross-section
VEdDesign value of the shear force
VRdDesign values of the resistance to shear forces
W Section modulus
WplPlastic section modulus
WeffEffective section modulus
WelElastic section modulus
α Imperfection factor
β Correction factor for the lateral-torsion-al buckling curves for rolled sections
Ym0Partial factor for resistance of cross-sections whatever the class
Ym1Partial factor for resistance of members to instability assessed by member checks
Ym2Partial factor for resistance of cross-sections in tension to facture
λ Non-dimensional slenderness
λ1 Slenderness value to determine the relative slenderness
Φ Value to determine the reduction factor Design value of the local shear stress
χ Reduction factor for the relevant buckling curve
REFERENCES
AS/NZS (Australia/New Zealand Standards) 2005. AS/NZS 4600:2005 - Cold-formed Steel Structures. Sydney, Australia: AS/NZS. [ Links ]
BS (British Standard) 1995. BS 5950:1995. Structural Use of Steelwork in Building. London: British Standards Institution. [ Links ]
Chabrolin, B 2001. Partial safety factors for resistance of steel elements to EC3 & EC4. Calibration for various steel products and failure criteria, Final report. St-Rémy-lès-Chevreuse: Centre Technique Industriel de la Construction Métallique (CTICM). [ Links ]
CSI (Computers and Structures Inc) 2010. Eurocode 3-1:2005 with Eurocode 8:2004 Steel Frame Design Manual for ETABS, 9th ed. Berkeley, CA: CSI. [ Links ]
De Clercq, H 2012. SteelFuture - a 'can't miss' event. Research and development and design codes. Civil Engineering, 20(11): 76. [ Links ]
JCSS 2001. Probabilistic Model Code, 12th Draft Edition. Bygning, Denmark. [ Links ]
Martin, W 2010. Gautrain Southern Viaducts Designed to Eurocode. London: Taylor & Francis, pp 457-460. [ Links ]
Narayanan, R 2008. Attributable foreword to the commentary and worked examples to EC2. In: Jacobs, J (Ed), Eurocode 2 Commentary. Brussels: European Concrete Platform ASBL. [ Links ]
Nethercot, D 2011. Steel research after EC3 and EC4. Proceedings, ECCS European Convention for Constructional Steelwork, Budapest, Hungary, pp 1-11. [ Links ]
Retief, J, Dunaiski, P & Holicky, M 2009. Review of Eurocode from the perspective of the revision of SANS 10160. In: Retief, J & Dunaiski, P (Eds), Background to SANS 10160. Stellenbosch: SUN MeDIA, pp 57-83. [ Links ]
SAISC (Southern African Institute of Steel Construction) 2005. Southern African Steel Construction Handbook, 5th ed. Johannesburg: SAISC. [ Links ]
SANS (South African National Standard) 2005. SANS 10162-1:2005 Structural Use of Steel. Part 1: Limit-state Design of Hot-rolled Steelwork. Pretoria: SABS Standards Division. [ Links ]
SANS 2011 (South African National Standard) 2011. SANS 10162-2:2011 Structural Use of Steel. Part 2: Cold-formed Steel Structures. Pretoria: SABS Standards Division. [ Links ]
Timoshenko & Gere , J M 1963. Teoria statecznosci sprezystej (in Polish). Arkady, Warszawa. [ Links ]
Correspondence:
RICHARD WALLS
Civil Engineering Department
Stellenbosch University
Private Bag X1
Matieland 7602
T: +27 21 808 9584
E: rwalls@sun.ac.za
CELESTE VILJOEN
Civil Engineering Department
Stellenbosch University
Private Bag X1
Matieland 7602
T: +27 21 808 4444
E: cbarnardo@sun.ac.za

RICHARD WALLS (Pr Eng), who obtained a BSc Eng, an MSc and a GDE from the University of the Witwatersrand, is a lecturer at Stellenbosch University where he leads the structural fire engineering research group. He worked full-time for BSM Baker on industrial and petrochemical projects before joining Stellenbosch in 2014, but still consults to industry. He is currently completing his PhD on the design of structures in fire at Stellenbosch. His research interests include fire design of structures, demolition, steel design, and informal settlement fires. He was also the editor of the soon to be released SANS 10162-1 steel design fire annex.

DR CELESTE VILJOEN (Pr Eng, MSAICE) is a senior lecturer at Stellenbosch University. She is the convenor of the SABS working group developing SANS 10100-3, a member of the South African mirror group for the revision of ISO 2394, a member of the Joint Committee on Structural Safety (where much of the pre-normative input to international standards development is formulated), and a researcher on structural risk and reliability.












