Services on Demand
Journal
Article
Indicators
Related links
-
Cited by Google -
Similars in Google
Share
Koedoe
On-line version ISSN 2071-0771Print version ISSN 0075-6458
Koedoe vol.66 n.1 Pretoria 2024
https://doi.org/10.4102/koedoe.v66i1.1815
ORIGINAL RESEARCH
Piscivore water bird diversity at freshwater tributaries of Zambezi River, Namibia
Lucas P. RutinaI, II; Evans SimasikuI; Joseph M. KabanzeI
IDepartment of Wildlife Management and Tourism Studies, Faculty of Agriculture, Engineering and Natural Sciences, University of Namibia, Katima Mulilo, Namibia
IIEcosystem Conservation Foundation, Maun, Botswana
ABSTRACT
Piscivorous waterbirds enhance wetlands' diversity and have been seen as bio-indicators of ecological conditions within ecosystems. In addition to their ecological contribution, to wetlands functions and ecosystem services, these birds have been reported to be affected by fishing activities and to compete with fisheries. Despite their importance along wetlands, their populations are in serious decline on a global level. This study aimed at comparing piscivorous waterbirds community composition and functional diversity between a fish protected area (FPA) and a non-fish protected area (NFPA) in two tributaries of Zambezi River in Namibia. At each site, all the waterbirds within a radius of 50 metres were enumerated and identified using binoculars and guide books. For each tributary, species diversity, taxonomic diversity, functional diversity, and community-based trait diversity indices were calculated. A total of 40 carnivorous waterbirds species belonging to 9 orders were recorded during the survey. Of these 40 species, 10 (25%) predominantly feed on fish, 6 (15%) predominantly feed on insects and 24 (60%) species predominantly feed on both fish and insects. At the FPAs site, a total of 35 species were recorded, comprising 10 (29%) species that predominantly feed on fish, 4 (11%) species that predominantly feed on insects and 21 (60%) species that feed on both fish and insects. Generally, piscivorous waterbirds species diversities were not significantly different between a FPA and a NFPA (p > 0.05). However, all piscivorous waterbirds functional diversities indices calculated were significantly different between FPAs and NFPAs (p < 0.05).
CONSERVATION IMPLICATIONS: In most riparian human communities, fish is an important source of protein. The effects of uncontrolled fishing in shaping the composition, structure, and diversity of piscivorous waterbirds worldwide have been reported. If we need to balance the two, regulating fishing loadings and season will improve piscivorous waterbirds conservation and human livelihoods.
Keywords: piscivorous waterbirds; functional diversity; tributaries; Zambezi River; fish protected area; non-fish protected area; feeding guilds; fisheries.
Introduction
The significance of piscivorous waterbirds in the productivity and functioning of inland wetland ecosystems has recently gained attention (Green & Elmberg 2014) and has contributed to wetlands' conservation and management worldwide (Andrade et al. 2018). Through their natural activities, piscivorous water birds provide ecosystem services such as linking of ecosystems' flora and fauna (Frisch et al. 2007; Green & Elmberg 2014; Green & Figuerola 2005; Green et al. 2008), enhancement of primary production (Petrie 2006), and nutrients accumulation and cycling within and between wetlands (Andrikovic et al. 2006). In addition, they also provide meat and act as indicators of environmental changes to indigenous communities residing along wetlands (Green & Elmberg 2014; Campos-Silva et al. 2021).
The ecosystem services provided by species in an ecosystem are linked to the species' traits (i.e. the qualities of each species) (Green & Elmberg 2014; Tecco et al. 2012; Thébault & Loreau 2005). Species with similar traits normally perform similar functions in the ecosystem (Májeková et al. 2016; Petchey et al. 2007). The trait-function relationship promotes assemblage of species into different functional groups (Faucon, Houben & Lambers 2017; Henry & Cumming 2017) and forms the basis for niche differentiation among species. It is also believed that within a functional group, only few species are dominant (drivers) and many are minor (passengers) species similar to dominant species in an ecosystem at any time (McGill et al. 2006). Furthermore, a change in a species dominance should be counterbalanced by a previously similar minor species following environmental changes or disturbance (Rutina & Moe 2014; Synnos & Arnott 2013; Walker, Kinzig & Langridge 1999), and perform similar ecological functions within ecosystems to previously more abundant species (Mori et al. 2013). The result being that the ecosystem maintains its functions and processes despite losses of previously dominant species. This shift in species abundances following environmental change and disturbances (functional redundancy or equivalence) (Walker & Langridge 1999) implies that ecosystems with high functional redundancy are more sustainable in face of environmental changes and disturbances (Henry & Cumming 2017; Pérez-Crespo et al. 2013; Yachi & Loreau 1999). In addition, dominant species should be functionally dissimilar because they perform different functions and hence occupy different niches (Walker et al. 2013).
In this study, we aimed to assess and investigate composition and diversity of piscivorous waterbirds on two freshwater tributaries of Zambezi River in Namibia: Sikunga and Lisikili tributaries. The two tributaries have different protection status. Part of the Sikunga tributary has been gazetted as a Fish Protected Area (FPA) (thereafter referred to as FPA), while the Lisikili tributary is a Non-Fish Protected Area (NFPA) (thereafter referred to as NFPA) (Simasiku & Hay 2023). In the FPA, fishing is regulated through quota and is only done at certain portions of the tributary. In the NFPA, fishing is not regulated and there is high subsistence fishing using different fishing gears including traditional fishing equipment (Simasiku & Hay 2023). Specifically, we predicted that: (1) piscivorous waterbirds' functional and taxonomical diversity were higher at the FPA sites than NFPA sites; (2) at both sites, piscivorous waterbirds community abundance was dominated by few species and have many minor species; (3) changes in abundance of dominant piscivorous waterbirds species in FPA sites were counterbalanced by a functionally similar dominant species in NFPA sites. The key question was as follows: Does the diversity, abundance and species differ between FPA and NFPA sites?
Research methods and design
Study area
The study was conducted on two tributaries of Zambezi River: Sikunga and Lisikili tributaries located in the Zambezi Region of Namibia (Figure 1). The river system is highly pulsed and spread out in terms of water volume during the flooding season. The topography of the region is flat terrain. The tributaries normally reach their peak flow between March and May, after which the water recedes until the end of September. During the dry months (November-April), the floodplains are dry and covered in terrestrial grasses (Simasiku & Hay 2023).
Sampling sites
The waterbirds community was surveyed at two Zambezi River tributaries: Sikunga channel (FPA) and Lisikili channel (NFPA) during the winter of 2020 (July to November) (see Figure 1). A 2 kilometre transect was laid out at each tributary. Within each transect, five intra-sites were laid 500 metres apart and parallel to the water's edge. At each site, we enumerated and identified all the waterbirds within a radius of 50 metres using binoculars and guide books by Reynolds and Tye (2015).
Data analysis
Species composition, abundance, and diversity
We measured piscivorous waterbirds community attributes (guild abundance and diversity) from surveys conducted over 4 months. Waterbirds were classified into three types (predominantly feeding on fish, predominantly feeding on fish-insects and predominantly feeding on insects) based on their preferred food items (De Arruda Almeida, Gimenes & Dos Anjos 2017; Henry & Cumming 2017). Species abundances for each intra-sites were converted into relative abundances (Andrade et al. 2018). Guild abundance was calculated as the sum of total individuals per guild averaged over the 4 months. We log-transformed to normalise the data because the data did not conform to normality test.
A comparison of waterbird species compositional structure between FPA and NFPA was computed using the generalised Morisita's similarity indices (Cm) based on the abundance data (Chao et al. 2008; Jost 2008). Species diversity was determined using the Shannon Diversity Index per site (Hill 1973) using the following formulas in Equation 1 and Equation 2:

where:
H = Shannon diversity index;
Pi = proportion of individuals of ith species in a whole community;
Σ = sum symbol; and
log = the natural logarithm to base 10.

where:
n = number of individuals of a given species; and
N = total number of individuals in a community.
Functional diversity indices
A waterbirds species-trait matrix was created to assess functional diversity indices. We used traits that were previously suggested to situate waterbirds' potential to effect and respond to wetlands' changes because of disturbances (De Arruda Almeida et al. 2016; Májeková et al. 2016). Traits included in this study were traits associated with resource use (feeding guild, major food items, feeding location and weight), breeding (breeding or non-breeding, nesting location, breeding season and clutch size) and movement (resident and migratory) (Appendix 1). We standardised each trait on a scale of 1-5 to account for equal treatment of variation with each trait (Appendix 2). We estimated functional diversity indices using F-Diversity software (Casanoves et al. 2011).
Species attributes
This study used five attributes that are important for evaluating the effects and response of waterbirds to wetlands' change because of anthropogenic activities. The traits used included: (1) body weight (as it affects foraging behaviour, metabolic rate, permanency and home-range size); (2) feeding guild and major food item (as it influence foraging behaviour and response to anthropogenic activities that change their main diet); (3) foraging location (as variability of anthropogenic activities may change the physical characteristics of the river); (4) breeding behaviour (nest type, location of nest, clutch size, seasonality of breeding) (as birds during breeding can transport nutrients from nearby terrestrial ecosystems to wetlands; and (5) migratory status (resident or migratory), which can act as mobile linkers and influence nutrients cycling across different regions. Species attributes were obtained from Sinclair et al. (2000), Newman (2010), Reynolds and Tye (2015), and Chittenden, Dean, Gibbon and Upfold (2007). We used maximum recorded values for weight and clutch size (sensu Rutina & Moe 2014).
Functional groups and redundancy
To classify waterbirds species into different functional groups, a hierarchical classification in SPSS was performed to determine the number of sampled groups using the elbow rule. Subsequently, the k-Classification was computed using the number of groups obtained from the hierarchical classification. The simplified Euclidean Distance (ED) was employed as a measure of variation among species in abstract space. The simplified version of ED is shown in Equation 3:

where:
EDjk = the ecological distance between species;
j and k, and Aij and Aik = values of species;
j and k for attribute i. (sensu Rurina & Moe 2014).
To predict the differences in species abundance between FPA and NFPA, an equation following Walker, Kinzig and Langridge (1999) and Rutina and Moe (2014) was applied in Equation 4:

A significant high in abundance in FPA sites than NFPA sites requires the result of the equation to be > 1 while a significant low abundance should be < -1, with results of between -1 and 1 suggesting an equal abundance between the two sites.
Ethical considerations
Ethical clearance to conduct this study was obtained from the University of Namibia Ethical Committee (No. KMC0001).
Results
Species composition, abundance, and diversity
A total of 40 carnivorous waterbird species belonging to 9 orders were recorded during the survey (Table 1). Of these 40 species, 10 (25%) predominantly feed on fish, 6 (15%) predominantly feed on insects and 24 (60%) species predominantly feed on both fish and insects. At the FPA site, a total of 35 species were recorded, comprising 10 (29%) species that predominantly feed on fish, 4 (11%) species that predominantly feed on insects and 21 (60%) species that feed on both fish and insects. At the NFPA site, a total of 31 species were recorded comprising 8 (26%) species that predominantly feed on fish, 4 (13%) species that predominantly feed on insects and 19 (61%) feed on both fish and insects (Appendix 1). Generally, species composition among the three feeding guilds was averagely similar between the two sites (Morisita index: 63-71 for all pairwise combinations; Table 2). The two sites had an overlap of 25 species, accounting for 62.5% of the total species on record (Appendix 2). Nine species, namely, Leptoptilos crumenifer (Marabou Stork), Ardea melanocephala (Black Headed Heron), Platalea alba (African Spoonbill), Circus ranivorus (African Marsh Harrier), Burhinus vermiculatus (Water Thick-knee), Ardea cinerea (Grey Heron), Chlidonias hybrida (Whiskered Tern), Vanellus senegallus (African Wattled Plover), and Pelecanus rufescens (Pink Backed Pelican) were exclusively recorded at the FPA, while another five species, namely, Corythornis cristatus (Malachite Kingfisher), Vanellus crassirostris (Long-toed Lapwing), Nycticorax nycticorax (Black Crowned Night Heron), Vanellus coronatus (Crowned Lapwing) and Sarkidiornis melanotos (Knob Billed Duck) were exclusively recorded at the NFPA.
Taxonomic diversity indices
Species diversity, species evenness and species dominance did not differ between FPA and NFPA. However, species richness was higher at the FPA tributary than at the NFPA tributary (Table 2).
Functional diversity
Generally, when considering multi-trait functional diversity indices, carnivorous waterbirds' ecological distance differed between FPA and non-FPA sites (Table 3). Carnivorous waterbirds' ecological distance was higher in FPA sites compared to NFPA sites. Similarity, functional evenness, functional richness and functional divergence also differed between FPA and NFPA sites (Table 3). Functional richness and divergence were higher in FPA sites compared to NFPA sites. Contrary to these results, functional evenness was higher at the NFPA sites compared to FPA sites.
When considering functional regulatory single traits indices, all the nine traits used in this study significantly differed between the FPA and NFPA sites, except for breeding type and clutch size. In terms of feeding guild, FPA sites were dominated by carnivorous waterbirds, while NFPA sites were dominated by species that predominantly feed on both fish and insects. In terms of food items, FPA sites were dominated by piscivore birds and NFPA sites were dominated by water birds that feed both on fish and insects.
When considering community weighed single traits functional diversity, add four traits, namely, food item, weight and movement type were significantly different between FPA and NFPA sites (Table 4). Similar to functional regulatory single trait diversity, FPA sites were dominated by carnivorous waterbirds, while NFPA sites were dominated by waterbirds that feed dominantly on insects. In terms of food items, FPA sites were dominated by piscivore birds and NFPA sites were dominated by water birds that feed both on fish and insects (Table 4).

Functional groups and redundancy
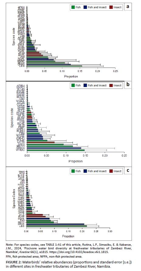
Piscivorous waterbirds at the study site were dominated by 9 (23%) species out of the possible 40 total number of sampled species. These dominant species were Little Egret (15%), Reed cormorant (15%), White Breasted Cormorant (14%), Great Egret (11%), Grey Headed Gull (10%), Squacco Heron (7%), African Open bill stock (5%), Pied Kingfisher (5%), and Blacksmith Plover (3%) (Figure 2a). Of the nine dominant species, six (67%) feed predominantly on fish, two (22%) species feed on both fish and insects, while only one (11%) feeds on insects. Further analysis showed that, at the FPA, carnivorous waterbirds were dominated by 8 (23%) species out of the possible 40 total number of sampled species. The dominant species on FPA sites were White-breasted Cormorant (17%), Reed Cormorant (16%), Great Egret (14%), Little Egret (10%), African Sacred Ibis (6%), White faced Duck (6%), Squacco Heron (5%), and Grey-headed Gull (5%). Of the eight species, three (37.5%) feed predominantly on fish and five (62.5%) predominantly on fish and insects. In contrast, at the NFPA sites, carnivorous water birds were dominated by 6 (15%) species out of the possible 40 total number of sampled species. Of the six species, four (67%) feed predominantly on fish, one species (17.5%) feeds on fish and insects and one species (17.5%) predominantly feeds on insects. Three (37.5%) out of the above eight species (i.e. African Open bill Stork, Great Egret and White Breasted Cormorant) decreased in abundance at the NFPA sites. Of these three decreasing species, only the African Open bill Stork, was substituted by functionally similar and increase in abundance but minor species (Black Smith Plover) (Fisher's exact test, p > 0.05).

On NFPA sites, the functional similarity (in terms of predominant food items) of dominant species was similar to the functional similarity of dominant species of the whole study area (Fisher's exact test = 1.277, p = 0.557). On FPA sites, functional similarity of dominant species was dissimilar to the functional similarity of the dominant species of the whole study area (Fisher's exact test = 6.685, p = 0.034).
Discussion
Species composition, abundance, and diversity
This study aimed to explore the abundance and distribution of carnivorous waterbirds between FPAs and NFPAs on the Zambezi River tributaries. A total of 40 different species, representing 35 species at the FPA and 31 species at the NFPA were recorded from July 2021 to October 2021. Among these species, only a few dominant species were documented at both sampling sites, supporting our prediction that at both sites, carnivorous waterbirds community abundance was dominated by few species and have many minor species. Throughout the study period, only a few dominant species were spotted at the two sampling sites, but dominancy was not equally distributed among the feeding guilds. Waterbirds species that feed on both fish and insects dominated the community assemblages of waterbirds at both the FPA (60%) and NFPA (61%) sites. This suggests that piscivorous waterbirds that had a wider niche (feeding on fish and insects) were resilient to fishing pressure, and piscivorous waterbirds that mainly feed on fish were affected by fishing pressure. It predicts that piscivorous waterbirds with wider niches can shift among available diet to sustain their food requirement. Similar distributions have been reported in other wetlands (De Arruda Almeida et al. 2018; Lorenzón, Ronchi-Virgolini & Blake 2020), and terrestrial ecosystems (Rutina & Moe 2014; Walker et al. 1999). Henry and Cumming (2017) reported that wetland birds were dominated by few species whenever water levels of wetlands were high or low, while De Arruda Almeida et al. (2017) reported that waterbirds were dominated by few species both at artificial and natural wetlands. Walker et al. (1999) and Rutina and Moe (2014) reported that graminoid and tree species were dominated by fewer species across grazing and browsing gradients, respectively. However, opposing results have been reported where no signs of redundancy in species dominance were observed (Aarif et al. 2017; Petchey et al. 2007). In line with this study, Petchey et al. (2007) also reported that there was no redundancy in British avian assemblages.
Species composition between the two sampling sites was averagely similar (Morisita's index: 0.63 to 0.71). The two sampling sites had an overlap of 25 species, accounting for 62.5% of the total species on record. These observations suggest that the external effect of fishing did not influence the species richness and evenness distribution of carnivorous waterbirds between the two sampling sites. However, the influence of fishing pressure on other traits that are associated with growth forms and resources use strategies cannot be ruled out. Connectivity between the two sampling sites could equally explain similarity in catch composition as there is flow and exchange of similar species between two geographically connected sites in the absence of external factors such as fish pressure.
The distribution of minor species at the FPA and NFPA had functionally similar dominant species; except for waterbirds species that fed on insects (e.g. Black Smith Plover). It has been hypothesised that minor species have to be functionally similar to dominant species in order to stabilise the functions and processes of an ecosystem (Rutina & Moe 2014; Walker 1999; Walker et al. 1999). However, a lack of the distributions of insectivorous species at both sites would suggest that fish is the most predominant food item governing the distribution of carnivorous waterbirds at the two sampling sites and that competing activities such as fishing have not affected prey abundance for carnivorous waterbirds (Anthal & Sahi 2017; Wenny et al. 2011).
Species diversity, evenness, and richness
Further analysis on species diversity and richness showed that species richness was higher at the FPA compared to the NFPA sites. Similarly, the functional diversity indices were equally higher at the FPA than at the NFPA sites, while the functional evenness was higher at the NFPA sites than FPA sites. Low disturbances have been associated with high diversities (Schellenberger Costa et al. 2017) and species dominancy (Walker et al. 2013). If the concept of functional traits-ecosystem functions relationship holds, the FPA sites should act as an important refuge for a flock of species when water availability is low and enhance resource availability and accessibility to waterbirds (Ma et al. 2010). The current results showed that large body piscivorous waterbirds (e.g. Pink Backed Pelican) were dominantly sighted at the FPA sites than at the NFPA sites. This could be linked to high abundances of prey food resources such as fish and insects at the FPAs (Simasiku & Hay 2023).
Shift in species dominance between the two sites
Our third prediction that a decline in abundance of dominant waterbird species at the FPAs is counterbalanced by an increase in abundance of taxonomically and functionally similar dominant species at the NFPA sites was partly supported by this study as only some species that declined in abundance under changes in fishing pressure were replaced by increasing functionally similar species at the FPAs. The distributions of minor species at the FPA and NFPA sites had functionally similar dominant species; except for waterbird species that fed on insects (e.g. Black Smith Plover). It has been hypothesised that minor species have to be functionally similar to dominant species in order to stabilise the functions and process of an ecosystem (Rutina & Moe 2014; Walker 1999; Walker et al. 1999). However, a lack of the distribution of insectivorous species at both sites would suggest that fish is the most predominant food item governing the distribution of carnivorous waterbirds at the two sampling sites and that competing activities such as fishing have not affected prey abundance for carnivorous waterbirds (Anthal & Sahi 2017; Wenny et al. 2011). Species that predominantly feed on fish were generally reduced in their contributions to the overall abundance of species at the NFPA sites compared to FPA sites, suggesting that fishing pressure might have negatively affected the distribution and abundance of these species at the NFPA sites. On the contrary, insectivorous waterbirds seemed to be favoured by fishing activities.
Conclusion
The results of this study provide an insight into the effects of fishing on population stability of the piscivorous waterbirds in the Zambezi tributaries. The results of the study show that piscivorous waterbirds that mainly feed on fish need protection compared to piscivorous waterbirds that had wider feeding niche (feeding on fish and other taxa). More studies are required to generate information on waterbird species' contributions to ecological functions and their responses to fishing at the two study sites, through intense monitoring surveys of all waterbirds' food items and environmental and ecological conditions of the tributaries.
Acknowledgements
The authors would like to thank the Department of Inland Fisheries - Zambezi region, the Sikunga Conservancy management, members and the Lisikili community and fishermen for their support during data collection.
Rutina, Simasiku & Kabanze, Carnivorous Waterbirds Community Composition and Diversity in Freshwater Tributaries of Zambezi River, Namibia. Preprint available at: https://doi.org/10.20944/preprints202308.0049.v1.
Competing interests
The authors declare that they have no financial or personal relationships that may have inappropriately influenced them in writing this article.
Authors' contributions
L.P.R. conceptualised the study, collected data, performed analysis, and wrote the first draft. E.S. sourced funding, contributed to the first and final draft. J.M.K. collected data, performed analysis, and wrote the first draft.
Funding information
The study was funded by the University of Namibia, Office of the Pro-Vice Chancellor for Research, Innovation and Development.
Data availability
The data that support the findings of this study are available on reasonable request from the corresponding author, L.P.R.
Disclaimer
The views and opinions expressed in this article are those of the authors and are the product of professional research. It does not necessarily reflect the official policy or position of any affiliated institution, funder, agency, or that of the publisher. The authors are responsible for this article's results, findings, and content.
References
Aarif, K, Nefla, A., Muzaffar, S., Musammilu, K. & Prasadan, P., 2017, 'Traditional fishing activities enhance the abundance of selected waterbird species in a wetland in India', Avian Research 8(1), 16. https://doi.org/10.1186/s40657-017-0073-6 [ Links ]
Andrade, R. et al., 2018, 'Landscape and urban planning waterbird community composition, abundance, and diversity along an urban gradient', Landscape and Urban Planning 170, 103-111. https://doi.org/10.1016/j.landurbplan.2017.11.003 [ Links ]
Andrikovics, S. et al., 2006, 'Water bird guilds and their feeding connections in the Bodrogzug, Hungary', Hydrobiologia 567(1), 31-42. https://doi.org/10.1007/s10750-006-0047-x [ Links ]
Anthal, A. & Sahi, D.N., 2017, 'Feeding guild structure of Wetland Birds of Jammu (J & K), India', International Journal of Innovative Research in Science, Engineering and Technology 6(2), 1747-1753. https://doi.org/10.15680/IJIRSET.2017.0602044 [ Links ]
Campos-Silva, J., Peres, C., Hawes, J., Abrahams, M., Andrade, P. & Davenport L., 2021, 'Community-based conservation with formal protection provides large collateral benefits to Amazonian migratory waterbirds', PLoS One 16(4), e0250022. https://doi.org/10.1371/journal.pone.0250022 [ Links ]
Casanoves, F., Pla, L. & Di Rienzo, J., Casanoves, F., Pla, L. & Di Rienzo, J., 2011, 'FDiversity: A software package for the integrated analysis of functional diversity, methods in ecology and evolution', Methods in Ecology and Evolution 2(3), 233-237. https://doi.org/10.1111/j.2041-210X.2010.00082.x [ Links ]
Chao, A., Jost, L., Chiang, S.C, Jian, Y.H. & Chazdon, R., 2008, 'A twostage probabilistic approach to multiple-community similarity indices', Biometrics 64, 1178-86. [ Links ]
Chittenden, H., Dean, W.R.J., Gibbon, G. & Upfold, G., 2007, Roberts bird guide: A comprehensive field guide to over 950 bird species in southern Africa, John Voelcker Bird Book Fund, Cape Town. [ Links ]
De Arruda Almeida, B. Green, A., Sebastián-González, E. & Anjos, L., 2018, 'Comparing species richness, functional diversity and functional composition of waterbird communities along environmental gradients in the neotropics', PLoS One 13(7), e0200959. https://doi.org/10.1371/journal.pone.0200959 [ Links ]
De Arruda Almeida, B., Gimenes, M.R. & Dos Anjos, L., 2017, 'Wading bird functional diversity in a floodplain: Influence of habitat type and hydrological cycle', Austral Ecology 42(1), 84-93. https://doi.org/10.1111/aec.12403 [ Links ]
Faucon, M.P., Houben, D. & Lambers, H., 2017, 'Plant functional traits: Soil and ecosystem services', Trends in Plant Science 22(5), 385-394. https://doi.org/10.1016/j.tplants.2017.01.005 [ Links ]
Frisch, D., Green, A.J. & Figuerola, J., 2007, 'High dispersal capacity of a broad spectrum of aquatic invertebrates via waterbirds', Aquatic Sciences 69(4), 568-574. https://doi.org/10.1007/s00027-007-0915-0 [ Links ]
Green, A.J. & Elmberg, J., 2014, 'Ecosystem services provided by waterbirds', Biological Reviews 89(1), 105-122. https://doi.org/10.1111/brv.12045 [ Links ]
Green, A.J. & Figuerola, J., 2005, 'Recent advances in the study of long-distance dispersal of aquatic invertebrates via birds', Diversity and Distributions 11(2), 149-156. https://doi.org/10.1111/j.1366-9516.2005.00147.x [ Links ]
Green, A.J., Jenkins, K.M., Bell, D., Morris, P.J. & Kingsford, R.T., 2008, 'The potential role of waterbirds in dispersing invertebrates and plants in arid Australia', Freshwater Biology 53(2), 380-392. https://doi.org/10.1111/j.1365-2427.2007.01901.x [ Links ]
Henry, D.A.W. & Cumming, G.S., 2017, 'Can waterbirds with different movement, dietary and foraging functional traits occupy similar ecological niches?', Landscape Ecology 32(2), 265-278. https://doi.org/10.1007/s10980-016-0449-8 [ Links ]
Hill, M.O. 1973. 'Diversity and evenness: a unifying notation and its consequences', Ecology 54(2), 427-432. https://doi.org/10.2307/1934352 [ Links ]
Jost, L., 2008, 'GST and its relatives do not measure differentiation', Molecular Ecology 17, 4015-4026. https://doi.org/10.1111/j.1365-294x.2008.03887.x [ Links ]
Lorenzón, R.E., Ronchi-Virgolini, A.L. & Blake, J.G., 2020, 'Wetland dependency drives temporal turnover of bird species between high- and low-water years in floodplain wetlands of the Paraná River', Ecohydrology 13(1), e2179. https://doi.org/10.1002/eco.2179 [ Links ]
Ma, Z., Cai, Y., Li, B. & Chen, J., 2010, 'Managing wetland habitats for waterbirds: An international perspective', Wetlands 30(1), 15-27. https://doi.org/10.1007/s13157-009-0001-6 [ Links ]
Májeková, M. et al., 2016, 'Evaluating functional diversity: Missing trait data and the importance of species abundance structure and data transformation', PLoS One 11(2), e0149270. https://doi.org/10.1371/journal.pone.0149270 [ Links ]
McGill, B.J., Etienne, R.S., Gray, J.S., Alonso, D., Anderson, M.J., Benecha, H.K. et al., 2006, 'Species abundance distributions: moving beyond single prediction theories to integration within an ecological framework', Ecology Letter 10, 995-1015. https://doi.org/10.1111/j.1461-0248.2007.01094.x [ Links ]
Mori, A.S., Furukawa, T. & Sasaki, T., 2013, 'Response diversity determines resilience of ecosystems to environmental change', Biological Reviews 88, 349-364. https://doi.org/10.1111/brv.12004 [ Links ]
Newman, K., 2010, Newman's birds of Southern Africa, p. 536, Struik Nature, Cape Town. [ Links ]
Pérez-Crespo, M., Fonseca, J., Pineda-López, R., Palacios, E. & Lara, C., 2013, 'Foraging guild structure and niche characteristics of waterbirds in an epicontinental lake in Mexico', Zoological Studies 52, 54. https://doi.org/10.1186/1810-522X-52-54 [ Links ]
Petchey, O., Evans, E., Fishburn, I. & Gaston, K., 2007, 'Low functional diversity and no redundancy in British avian assemblages low functional diversity and no redundancy in British avian', Journal of Animal Ecology 76, 977-985. https://doi.org/10.1111/j.1365-2656.2007.01271.x [ Links ]
Petrie, S.A., 2006, 'Influence of migrant tundra swans (Cygnus columbianus) and Canada geese (Branta canadensis) on aquatic vegetation at Long Point, Lake Erie, Ontario', Hydrobiologia 567, 195-211. https://doi.org/10.1007/978-1-4020-5556-0 [ Links ]
Reynolds, C. & Tye, N., 2015, '300 Easy-to-see birds in southern africa paperback', Penguin Random House South Africa 1, 1-168. [ Links ]
Rutina, L.P. & Moe, S.R., 2014, 'Elephant (loxodonta africana) disturbance to riparian woodland: Effects on tree-species richness, diversity and functional redundancy', Ecosystems 17 (8), 1384-1396. https://doi.org/10.1007/s10021-014-9801-5. [ Links ]
Rutina, L. P., Simasiku, E. & Kabanze, J. M., 2023, 'Carnivorous Waterbirds Community Composition and Diversity in Freshwater Tributaries of Zambezi River, Namibia', Preprints, 2023080049. https://doi.org/10.20944/preprints202308.0049.v1 [ Links ]
Schellenberger, D., Gerschlauer, F., Pabst, H., Kühnel, A., Huwe, B., Kiese, R. et al., 2017, 'Community-weighted means and functional dispersion of plant functional traits along environmental gradients on Mount Kilimanjaro', Journal of Vegetation Science 28(4), 684-695. https://doi.org/10.1111/jvs.12542 [ Links ]
Simasiku, E. & Hay, C., 2023, 'The significance of the Sikunga Fish Protected Area towards fisheries conservation in the Zambezi River, Namibia', African Journal of Ecology 61(2), 354-367. https://doi.org/10.1111/aje.13118 [ Links ]
Sinclair, I., Hockey, P., Tarboton, W., Perrins, N., Rollinson, D. & Ryan, P., 2000, 'Birds of southern africa: Fifth revised edition', Penguin Random House South Africa 5, 489. [ Links ]
Symos, C.C. & Arnott, S.E., 2013, 'Regional zooplankton dispersal provides spatial insurance for ecosystem function', Global Change Biology 19(5), 1610-1616. https://doi.org/10.1111/gcb.12122 [ Links ]
Tecco, P., Urcelay, C., Díaz, S., Cabido, M. & Pérez-Harguindeguy, N., 2012, 'Contrasting functional trait syndromes underlay woody alien success in the same ecosystem', Austral Ecology 38, 443-451. https://doi.org/10.1111/j.1442-9993.2012.02428.x [ Links ]
Thébault, E. & Loreau, M., 2005, 'Trophic interactions and the relationship between species diversity and ecosystem stability', The American Naturalist 166(4), E95-114. https://doi.org/10.1086/444403 [ Links ]
Walker, B., 1999, 'The ecosystem approach to conservation', Conservation Biology 13(2), 436-437. https://doi.org/10.1046/j.1523-1739.1999.013002436.x [ Links ]
Walker, B., Kinzig, A. & Langridge, J., 1999, 'Plant attribute diversity, resilience, and ecosystem function: The nature and significance of dominant and minor species', Ecosystems 2, 95-113. https://doi.org/10.1007/s100219900062 [ Links ]
Walker, B., Kinzig, A., Langridge, J., Pringle, R., Palmer, T., Goheen, J. et al., 2013, 'Functional richness, functional evenness and functional divergence: The primary components of functional diversity', Journal of Ecology 22(6), 1-10. https://doi.org/10.1111/1365-2435.12680 [ Links ]
Walker, B.H., Kinzig, A. & Langridge, J., 1999, 'Plant attribute diversity, resilience and ecosystem function: the nature and importance of significance of dominant and minor species', Ecosystems 2, 95-113. [ Links ]
Wenny, D.G., Devault, T.L., Johnson, M.D., Kelly, D., Sekercioglu, C.H., Tomback, D.F. et al., 2011, 'The need to quantify ecosystem services provided by birds', Ornithology 128(1), 1-14. https://doi.org/10.1525/auk.2011.10248 [ Links ]
Yachi, S. & Loreau, M., 1999, 'Biodiversity and ecosystem productivity in a fluctuating environment: the insurance hypothesis', Proceedings of the National Academy of Sciences 96(4),1463-1468. [ Links ]
Correspondence:
Lucas Rutina
prutina@unam.na
Received: 23 Apr. 2024
Accepted: 14 Aug. 2024
Published: 11 Oct. 2024
Appendix 1
Appendix 2
Appendix 3












