SciELO - Scientific Electronic Library Online

 
vol.64 issue2NP van Wyk Louw: Opstelle vir 'n oorgangstyd ('n voorwoord)Creolisation and healing in van Wyk Louw's Nuwe verse (New poems) and Tristia author indexsubject indexarticles search
Home Pagealphabetic serial listing  

Services on Demand

Journal

Article

Indicators

    Related links

    • On index processCited by Google
    • On index processSimilars in Google

    Share


    Tydskrif vir Geesteswetenskappe

    On-line version ISSN 2224-7912Print version ISSN 0041-4751

    Tydskr. geesteswet. vol.64 n.2 Pretoria Jun. 2024

    https://doi.org/10.17159/2224-7912/2024/v64n2a3 

    NAVORSINGS- EN OORSIGARTIKELS

     

    Die voorbereiding van departementshoofde in sekondêre skole vir hulle taak as effektiewe onder-rigleiers

     

    Preparing heads of department in secondary schools for their role as effective educational leaders

     

     

    Grizelda du PlessisI; Kobus MentzII

    IPrimêre Skool Naudeville Vrystaat, Welkom, Suid-Afrika. E-pos: grizelda.duplessis1@gmail.com
    IIFakulteit Opvoedkunde, Noordwes-Universiteit, Edulead Navorsingsentiteit, Potchefstroom Kampus, Suid-Afrika. E-pos: Kobus.Mentz@nwu.ac.za

     

     


    OPSOMMING

    Alle bestaande stelsels, waaronder onderwysstelsels, verander voortdurend. Die onderwys-stelsel is een van die stelsels in Suid-Afrika wat as 'n uitdaging gesien word, omdat dit die gehalte van onderrig beïnvloed. Die ernstige aard van disfunksionaliteit kan toegeskryf word aan die gebrek aan bevoegde leierskap in skole. Leerders se opvoeding en eksamenuitslae word benadeel deur swak onderrig, disfunksionele skoolbestuur, ondoeltreffende prosedures en swak hulpbronne, wat lae onderwysstandaarde tot gevolg het.
    Leierskapspraktyke lewer 'n groot bydrae tot die gewenste uitkomste van 'n skool. Departementshoofde is verantwoordelik vir onderrigleierskap, maar aangesien hulle selde leierskapsopleiding ontvang, is dit vir hulle onmoontlik om kennis en vaardighede op te doen om hulle voor te berei vir hulle taak as onderrigleiers. Daar is 'n ernstige behoefte aan onderrigleiers wat 'n skool professioneel kan bestuur. Die skoolhoof en personeel moet professionele leiers en bestuurders wees, sodat 'n kultuur van leer en effektiwiteit geskep kan word.
    Die doel van hierdie ondersoek was om te bepaal of departementshoofde oor die nodige kennis en vaardighede beskik om die leierskap- en bestuursrol in 'n sekondêre skool te vervul, hoe departementshoofde hulle bevoegdheid in hierdie verband sien, wat die leemtes ten opsigte van die voorbereiding van departementshoofde vir hulle taak/rol as effektiewe onderrigleiers is, en om voorstelle ter verbetering van die voorbereiding van departementshoofde vir hul leierskapsrol te maak.
    Die navorsingsmetodologie is gebaseer op kwantitatiewe navorsingstrategieë waarvolgens die navorsingsvraag beantwoord kon word deur middel van 'n eenmalige dwarsdeursnitopname wat verkry is met behulp van ewekansige trossteekproefneming by sekondêre skole in 'n distrik in die Vrystaat. Daar is gebruik gemaak van selfontwerpte vraelyste wat deur al die departementshoofde van die betrokke skole voltooi moes word. 'n Totaal van 186 departements-hoofde het aan die ondersoek deelgeneem. Etiese goedkeuring om die studie te onderneem is van die Noordwes-Universiteit verkry.
    Beskrywende statistiek (frekwensies, persentasies, gemiddeldes en standaardafwykings) en eksploratiewe faktorontleding is gebruik om onderliggende latente veranderlikes te identifiseer. Cronbach se alfa-koëffisiënt is gebruik om die betroubaarheid van betrokke veranderlikes te bepaal. Hiërargiese lineêre modelle is gebruik om verbande met biografiese en demografiese veranderlikes te bepaal. In hierdie studie is bevind dat daar 'n duidelike verband tussen onderrig en leierskap is en dat die meeste van die departementshoofde kwaliteitonderrig belangrik ag en as 'n prioriteit in hul departemente sien. Die departementshoofde in hierdie studie is ook van mening dat die leiding van skoolbestuurspanne die kwaliteit van onderrig in die departement beïnvloed. Departementshoofde vir wie onderrig, leierskap en leerderprestasie belangrik is, heg ook hoë waarde aan opleiding en voorbereiding.
    In hierdie studie is ook bevind dat departementshoofde oor die algemeen nie bestuursopleiding ontvang het voor hul aanstelling in dié posisie nie. Sommige van die departementshoofde kon staatmaak op die kennis wat hulle opgedoen het tydens hul kollege- of universiteitsopleiding, wat hulle voorberei het vir hulle taak. 'n Klein aantal van die departementshoofde was oortuig dat hul voordiensopleiding nie van waarde was nie en dat hulle nie voorbereid was vir hul rol as beginnerdepartementshoofde nie.

    Trefwoorde: Leierskap, bestuur, onderrigleierskap, voorbereiding, departements-hoofde (middelvlakbestuurders), opleiding, ontwikkeling, leerder-prestasie, effektiwiteit


    ABSTRACT

    It is human nature to see the world as imperfect, because people strive towards improving existing and designing new systems. The education system is one such system which is regarded as being a challenge in South Africa, since it affects the quality of education received by every young South African. The serious nature of dysfunctionality could be attributed to the lack of competent leadership in schools. Learners' education and examination results are being impaired by inadequate teaching, dysfunctional school management, inefficient procedures and poor resources, which foster low educational standards.
    Leadership practices make a significant contribution to the desired outcomes of a school. Department heads are responsible for educational leadership; however, as they rarely receive leadership training, it is impossible for them to acquire the knowledge and skills to prepare them for their task as educational leaders. There is a dire need for educational leaders who could run a school professionally. The principal and staff should be professional leaders and managers capable of establishing a culture of learning and effectiveness.
    The purpose of this study was to establish if department heads have the required knowledge and skills to prepare them for their leadership and management role in a secondary school, how they see their competence in this regard, to identify the gaps regarding their preparation as effective educational leaders, and to submit proposals for improving the preparation of department heads for their leadership role.
    The research methodology was based on quantitative research strategies whereby the research question could accordingly be answered by means of a once-off cross-sectional survey obtained from a random cluster sampling of secondary schools in a district with approximately 70 schools in the Free State province. Self-designed questionnaires, which had to be completed by all the department heads at the schools, were used. A total of 186 department heads participated in the investigation. Ethical approval to conduct the research was obtained from the North-West University.
    Descriptive statistics and exploratory factor analysis were used to identify latent variables. Cronbach's alpha coefficient was used to determine the reliability of the variables involved. Hierarchical linear models were used to determine relationships among variables. The results showed that the heads of department view training and development as important, but they also indicated that they did not receive management training before their appointment in their position.
    Finally, suggestions are provided for improving the preparation of department heads.

    Keywords: Leadership, management, educational leadership, preparation, department heads (middle-level managers), training, development, learner performance, effectiveness


     

     

    Inleiding

    Ten einde onderwys as 'n doeltreffende instrument vir verandering te verseker, is dit volgens Steyn en Wolhuter (2008:2) van kardinale belang om die struktuur en funksionering van die onderwysstelsel as instrument van gehalteonderrig te beskou. Verskillende rolspelers is vir gehalteonderrig in skole verantwoordelik. Volgens Terblanche (2012:19) kan onderwys nie van die burokratiese struktuur losgemaak word nie, en moet onderwysleiers, skoolhoofde en departementshoofde hulle potensiaal binne hierdie raamwerk ontwikkel. Die leierskapsrol van die departementshoof in die skool is besonder belangrik. Die navorsing waarop hierdie artikel gebaseer is, het op die voorbereiding van departementshoofde vir hulle taak as effektiewe onderrigleiers in sekondêre skole gefokus. Die navorsing het ten doel gehad om die belangrike rol van voorbereiding en onderrigleierskap van die departementshoof ten einde onderrig en leer meer effektief te maak, te onderstreep.

     

    Agtergrond

    Volgens Lombard (2013:1) is dit in die menslike aard om die wêreld as onvolmaak te sien, aangesien mense daarna streef om bestaande stelsels te verbeter en nuwe stelsels te ontwerp. Die onderwysstelsel is een van die stelsels in Suid-Afrika wat as 'n uitdaging gesien word, en dit beïnvloed elke jong Suid-Afrikaner se ontvangs van gehalteonderrig.

    Spaull (2013:1) maak dit duidelik dat effektiewe onderwys 'n ernstige probleem is omdat die onderwysstelsel in Suid-Afrika ondoeltreffend is en leerders dus onderpresteer. Taylor (2011:3) benadruk hierdie probleem deur te sê dat die endemiese disfunksie van skole in die land hoofsaaklik toegeskryf kan word aan die swak werkvermoë van die staatsdiens, onderwysers en skoolhoofde asook amptenare wat nie die vaardigheid het om hulle werk na behore te verrig nie. Enslin en Pendlebury (1998:261) stel die vraag: "as onderwys nie kan verander nie, watter kans het ons om enige iets anders te verander?" Mense se verwagtinge vir groter indiens-neembaarheid, demokratiese burgerskap en 'n beter lewe word grotendeels deur die gehalte van onderwys bepaal. Dit is dus duidelik dat daar groot kommer bestaan oor onderwys in Suid-Afrika omdat uitmuntende onderrig van kardinale belang is vir verandering en sukses.

     

    Probleemstelling

    Die Departement van Basiese Onderwys (DBO) (2013:238) benadruk die feit dat daar ernstige krisisse met betrekking tot interne beheer is wat nog nie voldoende die hoof gebied word nie, waaronder leierskap, bestuur en beheer in skole. Volgens die nasionale evaluering- en ontwikkelingseenheid (NEEDU, 2013) kan die ernstige aard van disfunksionaliteit steeds toegeskryf word aan 'n gebrek aan bevoegde leierskap in skole. Die genoemde krisisse benadeel leerders, hulle opvoeding en eksamenuitslae as gevolg van swak onderrig, disfunksionele skoolbestuur, ondoeltreffende prosedures en swak hulpbronne, wat voorts ook lae onder-wysstandaarde tot gevolg het.

    Leierskapspraktyke lewer 'n groot bydrae tot die gewenste uitkomste van die skool. Van der Westhuizen (2011a:147) verdeel onderwysleiers in verskillende vlakke, naamlik die topbestuur (d.w.s. die skoolhoof en adjunkhoof), middelbestuur (d.w.s. departementshoofde) en operasionele bestuur (d.w.s. vakhoofde en onderwysers). Die skoolhoof as onderrigleier is dus primêr verantwoordelik vir die professionele bestuur en beheer van die skool onder die gesag van die provinsiale departementshoof en het die belangrike verantwoordelikheid om as mentor van die onderrigleiers in sy of haar skool op te tree (Neumerski, 2012:335).

    Effektiewe onderrigleierskap berus op komplekse verhoudinge tussen die skoolhoof en ander belanghebbendes. Volgens Inegbedion, Sunday, Asaleye, Lawal & Adebanji (2020:2) kan komplekse verhoudinge beïnvloed word deur diversiteit, met verskille wat dikwels aanwesig is in rasse, geslag, etnisiteit, sowel as sosio-ekonomiese, geografiese en akademiese/ professionele agtergronde.

    Writer (2013) beklemtoon dat hierdie gesagspiramide en verhoudinge wat die onderwys-stelsel verenig, in groot gevaar verkeer en dat daar 'n behoefte aan onderrigleiers is om 'n skool professioneel te kan bestuur. Dit is duidelik dat daar groot verwagtinge is rakende onderrigleierskap in skole waar departementshoofde as middelvlakbestuurders deel is van hierdie bestuurstruktuur. Die fokus van hierdie navorsing is dan ook op hierdie belangrike middelvlak, naamlik departementshoofde.

    Departementshoofde is belangrike middelvlakbestuurders in skole en hulle waarde is daarin geleë dat hulle 'n groot invloed het op leerderprestasie, professionele bevoegdheid en motivering in skole (Ghavifekr & Ibrahim, 2014:55). Volgens Terblanche (2012:31) het departementshoofde as middelvlakbestuurders die potensiaal om suksesvol te wees, maar hulle het meestal aanvanklik nie die vaardighede nie en dikwels verstaan hulle ook nie hulle rol en verantwoordelikheid nie.

    Die leierskapsrol van die departementshoof in die skool is besonder belangrik. Die verskraling van die rol van die departementshoof weens 'n gebrek aan opleiding kan bydra tot spesifieke bestuurs- en leierskapsprobleme en vakinhoudelike onbevoegdheid (De Beer, 2011:72). Dit wil egter voorkom asof departementshoofde nie bevoeg genoeg is wat betref leierskap, bestuur of vakgerigtheid vir hulle rol as middelvlakbestuurders nie, en hulle word, volgens Ghavifekr en Ibrahim (2014:55), nie ondersteun nie omdat daar nie voldoende op die ontwikkeling en opleiding van hierdie leiers gefokus word nie.

    Volgens Ghavifekr en Ibrahim (2014:55) is departementshoofde ook verantwoordelik vir onderrigleierskap, maar ontvang hulle selde die nodige opleiding en is dit vir hulle moeilik of selfs onmoontlik om die nodige kennis en vaardighede op te doen wat hulle vir hulle taak as onderrigleiers voorberei. Onderrigleierskap vereis hoë vlakke van kennis en vaardigheid waarvoor skoolhoofde en ander leiers nie noodwendig voorberei is nie. Dit is nodig dat hierdie leiers se professionele ontwikkeling versigtig geëvalueer word (Southworth, 2002:88) omdat departementshoofde 'n groot bydrae lewer tot effektiewe onderrig en ontwikkeling van professionele bevoegdheid in skole (Ghavifekr & Ibrahim, 2014:49).

    In die lig van die bostaande uiteensetting is daar deur die navorsing waaroor hier verslag gedoen word, gepoog om 'n antwoord op die onderstaande vraag te kry:

    Hoe kan departementshoofde in sekondêre skole voorberei word vir hulle taak as effektiewe onderrigleiers?

    Die volgende subvrae word gestel:

    Watter voorbereiding word tans aan departementshoofde gebied?

    Wat is departementshoofde se persepsie van die konsep "onderrigleierskap" in sekondêre skole?

    Wat is departementshoofde se persepsie van die konsep "voorbereiding" vir onderrigleierskap in die onderwyskonteks?

    Watter leemtes is daar in die voorbereiding van departementshoofde in sekondêre skole vir hulle taak om effektiewe onderrigleiers te wees, soos blyk uit hul persepsie van bogenoemde aspekte?

    Die volgende afdeling neem die konseptuele raamwerk asook die aspek van voorbereiding vir onderrigleierskap in oënskou.

     

    Konseptuele raamwerk

    In hierdie afdeling word die konseptuele raamwerk van die navorsing sowel as die verband tussen onderrigleierskap en voorbereiding vir onderrigleierskap bespreek.

    Volgens The General Teaching Council (GTC) van Skotland (2012:4) behels onderrig-leierskap die ontwikkeling van 'n visie ten opsigte van beter leeruitkomste. Leierskap gee dus rigting aan die werk van die personeel in 'n spesifieke skool. Volgens Terblanche (2012:30) kan leierskap ook beskou word as 'n aanduiding van doelstellings en verwagtinge binne 'n bepaalde opset. Van Wyk, Ogiana en Mampane (2016:61) beskou die skoolopset as 'n gemeenskap van mense wat op 'n spesifieke wyse gestruktureer word ten einde kollektiewe doelwitte na te streef en te bereik. Smith en Riley (2012:57) beskou onderrigleierskap as 'n strategiese proses wat ontwikkeling en kommunikasie rakende die visie en doelwitte van die skool sowel as 'n plan vir die nodige implementering, monitering en oorsig van onderrigleierskap bevorder.

    Die aard van onderrigleierskap

    Onderrigleierskap, as element van onderwysbestuur, het met verloop van tyd uitgebrei en wêreldwyd 'n essensiële deel geraak van onderwysnavorsing, -beleid en -praktyk (Hallinger & Wang, 2015:15). Onderrigleierskap as 'n maatskaplike aktiwiteit (Bogotch & Shields, 2016:1252) word sedertdien as 'n gevestigde begrip beskou wat leierskap en leer met mekaar verbind (Bush & Glover, 2014:556).

    Leierskap bepaal die uitkomste van 'n skool (Southworth, 2002:78), en word deur die bydrae van ander persone, gebeure en organisasiefaktore, soos toewyding, onderrigpraktyke en skoolkultuur, moontlik gemaak. Positiewe onderrigleierskap het volgens Robinson (2010:2) uiteenlopende gevolge wat onder meer deelname van onderwysers, asook die bevordering van leer en ontwikkeling, doelwitte en verwagtinge, beplanning, koördinering, evaluering en onderrig van die kurrikulum, strategiese hulpbronne en 'n ondersteunende omgewing insluit.

    Webber, Mentz, Scott, Okoko en Scott (2014:502) is van mening dat positiewe onderrigleierskap aangeleer en onderrig kan word. Dit impliseer onder meer die fasilitering van onderrig en leer as die hoofdoel van onderrigleierskap. Volgens May (2012) verwys positiewe leierskap na die aanstelling van verantwoordelike persone wat leierskapspligte moet uitvoer. Onderrigleierskap is dus 'n bestuursfunksie (Gülcan, 2012:627) met bepaalde aktiwiteite, en het veral betrekking op die skoolhoof of bestuurder van 'n skool wat take enersyds persoonlik uitvoer of andersyds na personeellede delegeer ten einde die akademiese prestasie van leerders te verseker.

    Hallinger en Wang (2015:38) beskryf onderrig en leierskap as praktykgebaseer, terwyl Swan (2004:1) dit as dinamiese kurrikulumlewering, gebaseer op verskeie strategieë soos refleksie, assessering en evaluering vir optimale leer, definieer.

    Die term "onderrigleierskap" hou egter bepaalde uitdagings in vanweë onvoldoende empiriese bewyse van onderrigleierskap en die uitwerking daarvan op akademiese prestasies (Prytula, Noonan & Hellsten, 2013:3).

    Onderrigleierskap vervul 'n groter rol as om bloot 'n element in die breër proses van skoolwerksaamhede te wees (Van der Bijl & Prinsloo, 2016:26). Dit is eerder die sleutel tot suksesvolle onderwys waarvoor onderrigleiers, spesifiek departementshoofde, verantwoordelik is.

    Die departementshoof se onderrigleierskapsrol in sekondêre skole

    Departementshoofde speel 'n belangrike rol in die funksionering van departemente in sekondêre skole (Vanblaere & Devos, 2018:85). Hulle beklee 'n spesifieke leierskapsposisie en is verantwoordelik vir sekondêre onderwys, wat lei tot professionele en tersiêre onderwys. Hierdie rol hou verband met organisatoriese en operasionele bestuur, strategie en beplanning asook die opbou van waardes wat belangrik is vir die leiding van mense, spanne en gemeenskappe (Sullivan, 2013:50).

    Die departementshoof se rol in die skool is om betrokke te wees by klaskameronderrig, om verantwoordelikheid te aanvaar vir effektiewe funksionering van die departement, en om toepaslike buitekurrikulêre aktiwiteite te organiseer ten einde te verseker dat die vak, leerarea of fase en die onderwys van leerders op 'n behoorlike wyse bevorder word (DBO, 2016:36).

    Alhoewel departementshoofde as middelvlakbestuurders nie deel van die senior bestuur van die skool is nie, is hulle volgens Rajoo (2012:22) verantwoordelik vir toesighouding oor en ontwikkeling van hulle kollegas, waar hulle gesien word as vakleiers, middelvlakbestuur-ders en kurrikulumkoördineerders (Smith, Mestry & Bambie, 2013:163). Volgens Gülcan (2012:628) word die departementshoof as 'n instrukteur met die kennis en vaardighede van 'n onderwyser wat 'n kardinale rol in die onderrig- en leerproses van die skool speel, beskou. Bush en Glover (2014:224) sluit kurrikulumkoördinasie, wat op meriete, uitnemendheid, ervaringe en harde werk fokus, daarby in.

    Volgens Manaseh (2016:45) vereis hierdie rol dat departementshoofde aktief betrokke moet wees omdat hulle personeel beinvloed. Rajoo (2012:20) is van mening dat departementshoofde die grootste direkte invloed het op onderrig en leer aangesien hulle in beheer is van die onderwysers wat op hulle beurt verantwoordelik is vir die implementering van die kurrikulum. Volgens Ghavifekr en Ibrahim (2014:46) word departementshoofde as 'n bron van ondersteuning vir die onderrig- en leerproses gesien. Dit sluit onderrigontwikkeling en vakkennis in, met die klem op onderrigleierskap (Rajoo, 2012:23).

    Onderrigleierskap is 'n belangrike aspek om onderrigpraktyke, professionele bevoegdhede en motivering van onderwysers te verbeter (Ghavifekr & Ibrahim, 2014:46). In die middelvlakbestuur van die skool kom prominente verhoudings tussen onderwysers se verwagtinge en die toesighoudende rol van departementshoofde tot stand. Vir verbetering moet die departementshoof verantwoordelikheid aanvaar vir verskeie planmatige organisa-toriese take in die departement, wat die uitdeel van pligte asook die uitoefening van gesag en verantwoordelikheid insluit en die verhouding tussen betrokkenes bepaal ten einde die gewenste doelwitte te bereik (Smith et al., 2013:164). Om hierdie gewenste doelwitte te bereik, moet die departementshoof in sy of haar onderrigrol verantwoordelikheid aanvaar vir die onderstaande take (Ghavifekr & Ibrahim, 2014:47):

    bespreking van onderrigkwessies;

    waarneming van klaskameronderrig;

    die verskaf van terugvoer;

    ondersteuning van outonomie en beskerming van onderrigtyd;

    monitering van vordering deur die voorsiening en ondersteuning van die betrokkenes; en

    die gebruik van leeruitkomste vir programverbetering.

    Hieruit kan afgelei word dat die effektiewe funksionering van die departement die primêre verantwoordelikheid van die departementshoof bly en dat hy of sy as middelvlakbestuurder direk aanspreeklik gehou kan word vir alle handelinge, doelwitte en standaarde in die betrokke departement. Departementshoofde is dus verantwoordelik vir die onderwysers in hulle onderskeie departemente.

    Llopis (2015:2) beklemtoon dat die leiding van departementshoofde prakties moet wees, omdat hulle as middelvlakbestuurders ander persone vir die toekoms voorberei. As leier moet die departementshoof dus voorbereid wees op die onverwagte, en hy of sy moet op ontwikkeling wat 'n verskil kan maak, ingestel wees. Llopis (2015:2) is verder van mening dat ontwikkeling sonder deeglike voorbereiding onmoontlik is.

    Die aard van voorbereiding vir die onderrigleierskapsrol

    Die vlak van vaardighede, kennis en ongelykhede wat betref onderrigleierskap kan toegeskryf word aan leierskapsvoorbereiding (Brazer & Bauer, 2013:4). Onderrigleierskap vereis baie kennis en vaardigheid, wat die rede is waarom skoolhoofde en ander leiers dikwels nie op leierskap voorbereid is nie. Daar bestaan ook kommer oor opleidingsprogramme wat veronderstel is om onderrigleiers voor te berei te midde van toenemende druk om hulle vir leerdereffektiwiteit toe te rus (Brazer & Bauer, 2013:2). Alhoewel daar, volgens Van Rooyen (2012:150), geen kriteria vir effektiewe onderrig bestaan nie, stel leierskapsvoorbereiding kandidate wel in staat om effektiewe onderrig te bereik (Brazer & Bauer, 2013:2).

    Onsekerheid en 'n gebrek aan opleiding is redes waarom persone nie deeglik daarop voorberei is om 'n bepaalde rol te vervul nie. Doeltreffende voorbereiding is slegs geslaagd met inagneming van 'n spesifieke rol, die opdoen van toepaslike kennis, en die aanleer van sekere vaardighede (Brazer & Bauer, 2013:2).

    Opleiding (voordiensopleiding en indiensopleiding)

    Voordiensopleiding verwys na opleiding voor die aanvang van 'n werker (in hierdie geval 'n onderwyser) se loopbaan (Jumani, Rahman, Akhter, Chisthi & Ajmal, 2011:151). Dit kan as voorbereiding beskou word wat op professionele groei en die verbetering van eie prestasie ingestel is. Indiensopleiding, aan die ander kant, is bykomende opleiding vir werkers wat alreeds in 'n beroep werksaam is (Ibrahim, 2015:187). Jumani et al. (2011:152) beskou indiensopleiding as 'n voortdurende proses vir onderwysers aangesien baie van hulle nie ophou leer ná die verwerwing van 'n graad nie, maar steeds met opleiding voortgaan om professionele groei te bevorder en beter kwalifikasies te verwerf.

    Opleiding is een van die belangrikste aspekte wat nodig is vir onderwysers aangesien opleiding (hetsy voor- of indiens-) onderwysers in staat stel om voorbereid te wees vir hulle werk of professie.

    Professionele ontwikkeling

    Effektiewe, doelgerigte en innoverende onderrigleiers handhaaf 'n ontwikkelende, leerge-oriënteerde kultuur wat die professionalisme van personeellede verbeter (Bruggencate et al., 2012:721). Om professionele onderrigleiers te wees, moet die behoeftes, moontlikhede en verpligtinge van leierskap besef word (Van der Westhuizen, 2011a:192). Dit is ook belangrik dat toekomstige onderrigleiers besef dat professionele leer nie die voltooiing van 'n eenvoudige program is nie, maar eerder die voortdurende ontwikkeling van norme en ervaringe. Sodanige ontwikkeling verseker professionele groei wat, volgens Terblanche (2012:33), 'n beslissende faktor vir die onderwysprofessie en die verbetering van onderwys is.

    In die volgende afdeling word die empiriese ondersoek wat op grond van bogenoemde konseptuele raamwerk gedoen is, bespreek.

     

    Empiriese ondersoek

    Doel van die ondersoek

    Die doel van hierdie ondersoek is om vas te stel of departementshoofde oor die nodige kennis en vaardighede beskik vir die leierskaps- en bestuursrol in 'n sekondêre skool, hoe depar-tementshoofde hulle kennis en bevoegdheid in hierdie verband sien, wat die leemtes in die voorbereiding van departementshoofde as effektiewe onderrigleiers is, en om voorstelle ter verbetering van hul voorbereiding aan die hand te doen.

    Navorsingsontwerp en -metode

    Tydens hierdie navorsing is kwantitatiewe navorsingstrategieë vanuit 'n positivistiese navorsingsparadigma gevolg. Hierdie navorsingsontwerp het sig daartoe geleen om die leemtes en werklike behoefte aan voorbereiding van departementshoofde in sekondêre skole volgens 'n nie-eksperimentele ontwerp beter te verstaan. Met hierdie ondersoek of ontwerp het die navorsers gepoog om 'n dubbelperspektief-ontleding aan te bied deur 'n selfontwerpte vraelys waarin die navorsers nie net die stem en perspektief van enkele deelnemers verkry het nie, maar ook steekproefneming van die spesifieke populasie kon benut.

    Populasie en steekproef

    Die navorsers het gepoog om die navorsingsvraag te beantwoord deur middel van 'n eenmalige dwarssnitopname van sekondêre skole in een distrik in die Vrystaat met minstens 200 leerders. Die departementshoofde van die 70 skole in hierdie distrik is met behulp van ewekansige trossteekproefneming geselekteer. 'n Totaal van 186 departementshoofde het uiteindelik aan die ondersoek deelgeneem.

    Data-insameling

    Vir die doeleindes van hierdie studie het die navorsers gebruik gemaak van 'n selfontwerpte vraelys wat aan die hand van die literatuur opgestel is. Die vraelys is sodanig gestruktureer en saamgestel dat dit die navorsingsvrae weerspieël het. Die gestruktureerde vraelys het uit drie verskillende afdelings bestaan. In afdeling A is onder andere biografiese en demografiese inligting versamel; afdeling B het op die rol van die departementshoof en sy of haar onderrigleierskap, take en funksies gefokus; en afdeling C was 'n oop vraag waarin die departementshoof enige saak kon vermeld rakende sy of haar voorbereiding as departementshoof. 11 Faktore is geïdentifiseer wat beskryf word in Tabel 1.

     

     

    Om die nodige inligting in te samel, is 'n vierpunt-Likertskaal vir die vraelys gebruik, naamlik 1 tot 4, waar 1 = glad nie saamstem nie, 2 = in 'n mindere mate saamstem, 3 = in 'n meerdere mate saamstem en 4 = baie gereeld saamstem.

    Data-analise

    Ná die insameling van die vraelyste by sekondêre skole in die Vrystaat het die navorsers die vraelyste na die Statistiese Konsultasiediens van die Noordwes-Universiteit geneem om die data in te lees, en verskillende statistiese tegnieke is aangewend om die data te ontleed.

    Beskrywende statistiek (frekwensies, persentasies, gemiddeldes en standaardafwykings) met betrekking tot die biografiese en demografiese faktore sowel as die individuele items is bepaal. 'n Bevestigde faktorontleding is op die data uitgevoer om die geldigheid van die vraelys te bepaal. Verder is t-toetse, ANOVAs, Spearman se rangordekorrelasies en effekgroottes gebruik.

    Die t-toets is gebruik om die gemiddeld van twee biografiese groepe (manlik en vroulik) te toets om te bepaal of daar betekenisvolle verskille is. Ander biografiese veranderlikes, soos ras, is ook gebruik om vas te stel of die gemiddeldes betekenisvol verskil. Verder is die gemiddeldes van twee demografiese groepe (openbare skole en onafhanklike skole) ook bekom om te bepaal of daar statistiese verskille na vore kom.

    Spearman se rangordekorrelasies-toets is gebruik om die verband tussen die faktore en die ordinale biografiese veranderlikes te bepaal. Ordinale data van ouderdom, hoogste onderrigkwalifikasie, jare ervaring as departementshoof, en die aantal onderwysers in die spesifieke departement is gebruik. Die korrelasies wissel van -1.0 tot +1.0. Waar daar geen korrelasie tussen veranderlikes is nie, word 0.00 aangedui. Verder is die ANOVA-toets gedoen om te bepaal of groepe verskillende gemiddeldes toon, en effekgroottes is gebruik om die kliniese betekenisvolheid van verskille te meet. Effekgroottes is volgens 'n skaal van 'n klein effek = 0.2 (die groepe verskil nie werklik nie), 'n mediumgrootte effek = 0.5 (die groepe verskil sigbaar) of 'n groot effek = 0.8 (die groepe verskil in praktyk) gemeet.

    Etiese beginsels

    Etiese toestemming is van die Noordwes-Universiteit se Etiekkomitee en die bepaalde skooldistrik verkry. Die departementshoofde as deelnemers is ingelig oor die aard van die navorsing en die data wat ingesamel sou word. Deelname aan die navorsingstudie was vrywillig, en departementshoofde kon op enige stadium van die navorsingsproses onttrek sonder om redes te verskaf. Die data wat ingewin is, is vertroulik hanteer. Hierdie etiese beginsels wat tydens die navorsingsproses gevolg is, het ook die geldigheid van die navorsing ondersteun.

     

    Bevindinge

    Invloed van ordinale biografiese gegewens op onderrigfaktore

    In hierdie afdeling word die verband tussen die ordinale biografiese veranderlikes van die departementshoofde teenoor onderrigfaktore aangetoon en bespreek. Ouderdom, hoogste onderrigkwalifikasie, jare ervaring as departementshoof en die aantal onderwysers in die spesifieke departement is gebruik om die Spearman-rangordekorrelasies te bepaal.

    Tabel 1 toon die korrelasies tussen die subskale van vier faktore uit vraag 3 en sewe faktore uit vraag 4 (die departementshoof, onderrigleierskap, take en funksies) waar dit by die biografiese gegewens van departementshoofde gevoeg is. Die meerderheid korrelasies was statisties nie betekenisvol nie, maar daar was enkele korrelasies wat statisties betekenisvol was.

    Korrelasie tussen die faktore onderrig en leierskap, ouderdom en jare ervaring as departementshoof

    'n Positiewe korrelasie bestaan tussen onderrig en leierskap en ouderdom (0.202**) en ook 'n positiewe korrelasie met jare ervaring (0.205**), wat betekenisvol is op die 0.01-vlak. Onderrig en leierskap hou verband met die ouderdom enjare ervaring van die departementshoof. Hieruit kan afgelei word dat, hoe ouer en meer ervare die departementshoof, hoe meer betrokke is sy of haar onderrig en leierskap.

    Korrelasie tussen die faktore, visie en beleidsaspekte en ouderdom van die departementshoof

    'n Positiewe korrelasie bestaan tussen visie en beleidsaspekte en die ouderdom van die departementshoofde, met 'n korrelasie van 0.204** (p < 0.01), wat statisties betekenisvol is en daarop dui dat die ouderdom van departementshoofde 'n invloed kan hê op hulle siening van die visie en beleidsaspekte van onderwys.

    Korrelasie tussen selfbemagtiging en aantal onderwysers in 'n departement

    'n Klein korrelasie (0.198*, p < 0.05) bestaan tussen selfbemagtiging en die aantal onderwysers in die departement. Hierdie korrelasie is betekenisvol op die 0.05-vlak en dui daarop dat die aantal onderwysers in 'n departement 'n invloed het op ander kollegas en op selfbemagtiging. Hoe meer onderwysers daar is, hoe meer ondersteuning en blootstelling is beskikbaar vir selfbemagtiging.

    Korrelasie tussen effektiwiteit en georganiseerdheid teenoor die departementshoof se hoogste onderrigkwalifikasie

    'n Klein negatiewe korrelasie (-.154*) bestaan tussen die effektiwiteit en georganiseerdheid van die departementshoof en sy of haar hoogste onderrigkwalifikasie. Die negatiewe korrelasie kan as betekenisvol beskou word (p < 0.05). Hieruit kan afgelei word dat departementshoofde met hoër kwalifikasies minder betrokke is by effektiwiteit en georganiseerdheid.

    Korrelasie tussen departementshoof se vakkundigheid en kennis teenoor jare ervaring

    'n Klein positiewe korrelasie van 0.155* bestaan tussenjare ervaring, vakkundigheid en kennis van die departementshoof, wat betekenisvol is (p < 0.05). Dit blyk dus dat hoe meer ervaring die departementshoof het, des te hoër is sy of haar vakkundigheid en kennis.

    Invloed van die nominale biografiese gegewens en die faktore

    In die onderstaande tabelle word daar gefokus op die nominale gegewens van die faktore soos verkry uit die vraelys wat deur die departementshoofde voltooi is.

    Tabel 2 toon dat daar nie 'n statisties betekenisvolle verskil tussen mans en vrouens rakende hulle siening van die verskillende faktore is nie. Die effekgroottes wissel van 0.01 tot 0.24, wat almal klein is en in die praktyk nie betekenisvol is nie.

     

     

    Tabel 3 toon dat daar geen statisties betekenisvolle verskille (p < 0.05) tussen openbare en onafhanklike skole is nie.

     

     

    Die verband tussen die rol van die departementshoof, onderrigleierskap, take en funksies

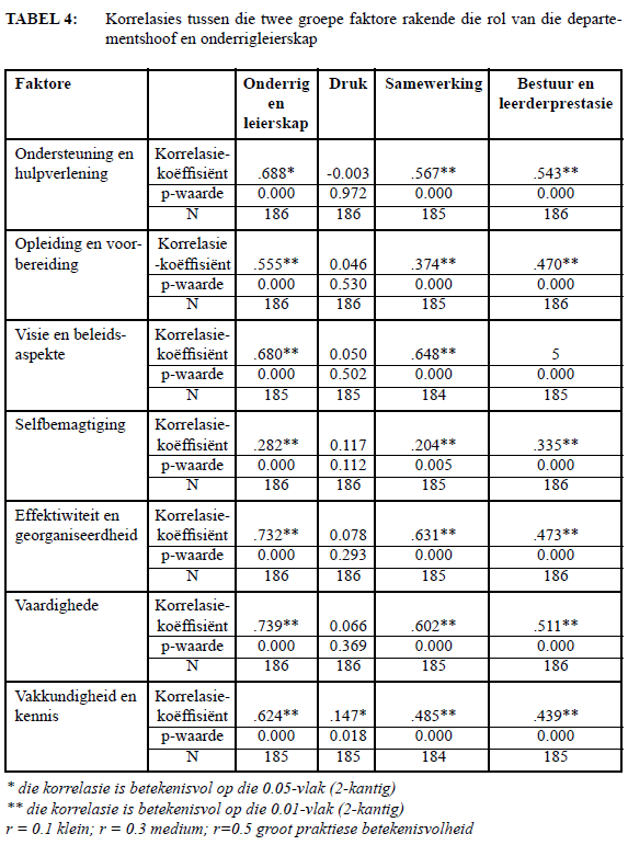
    In Tabel 4 word die faktore van vraag 3 en 4 van die vraelys met mekaar gekorreleer. Vraag 3 van die vraelys het gehandel oor die rol van die departementshoof en vraag 4 oor onderrigleierskap, take en funksies. Soos vroeër aangetoon, het vier faktore rakende die rol van die departementshoof na vore gekom en sewe faktore rakende onderrigleierskap, take en funksies.

     

     

    Tabel 4 gee die korrelasies ten opsigte van die vier faktore van vraag 3 en die sewe faktore van vraag 4 weer.

    Hoë korrelasies (betekenisvol op die 0.05-vlak) is vir die onderstaande verkry:

    Korrelasie tussen onderrig en leierskap, en ondersteuning en hulpverlening

    Die hoë korrelasie (0.688) dui aan dat departementshoofde vir wie onderrig en leierskap belangrik is, ook hoë waarde heg aan ondersteuning en hulpverlening.

    Korrelasie tussen ondersteuning en hulpverlening, en samewerking

    Die hoë korrelasie (0.567) dui aan dat departementshoofde vir wie ondersteuning en hulpverlening belangrik is, ook hoë waarde heg aan samewerking.

    Korrelasie tussen bestuur en leerderprestasie, en ondersteuning en hulpverlening

    Die hoë korrelasie (0.543) dui aan dat departementshoofde vir wie bestuur en leerderprestasie belangrik is, ook hoë waarde heg aan ondersteuning en hulpverlening.

    Korrelasie tussen onderrig en leierskap, en opleiding en voorbereiding

    Die hoë korrelasie (0.555) dui aan dat departementshoofde vir wie onderrig en leierskap belangrik is, ook hoë waarde heg aan opleiding en voorbereiding.

    Departementshoofde heg hoë waarde aan ondersteuning, hulpverlening, samewerking, opleiding en voorbereiding.

    Korrelasie tussen opleiding en voorbereiding, en samewerking

    Hierdie korrelasie (0.374) dui aan dat departementshoofde vir wie opleiding en voorbereiding belangrik is, ook hoë waarde heg aan samewerking.

    Korrelasie tussen bestuur en leerderprestasie, en opleiding en voorbereiding

    Die korrelasie (0.470) dui aan dat departementshoofde vir wie bestuur en leerderprestasie belangrik is, ook hoë waarde heg aan opleiding en voorbereiding.

    Korrelasie tussen visie en beleidsaspekte, en onderrig en leierskap

    Die hoë korrelasie (0.680) dui aan dat departementshoofde vir wie visie en beleidsaspekte belangrik is, ook hoë waarde heg aan onderrig en leierskap.

    Korrelasie tussen visie en beleidsaspekte, en samewerking

    Die hoë korrelasie (0.648) dui aan dat departementshoofde vir wie visie en beleidsaspekte belangrik is, ook hoë waarde heg aan samewerking.

    Korrelasie tussen selfbemagtiging, en onderrig en leierskap

    Die korrelasie (0.282) dui aan dat departementshoofde vir wie selfbemagtiging belangrik is, ook hoë waarde heg aan onderrig en leierskap.

    Korrelasie tussen selfbemagtiging en samewerking

    Die korrelasie (0.204) dui aan dat departementshoofde vir wie selfbemagtiging belangrik is, ook hoë waarde heg aan samewerking.

    Korrelasie tussen bestuur en leerderprestasie, en selfbemagtiging

    Die korrelasie (0.335) dui aan dat departementshoofde vir wie bestuur en leerderprestasie belangrik is, ook hoë waarde heg aan selfbemagtiging.

    Korrelasie tussen effektiwiteit en georganiseerdheid, en onderrig en leierskap

    Die hoë korrelasie (0.732) dui aan dat departementshoofde vir wie effektiwiteit en georganiseerdheid belangrik is, ook hoë waarde heg aan onderrig en leierskap.

    Korrelasie tussen effektiwiteit en georganiseerdheid, en samewerking

    Die hoë korrelasie (0.631) dui aan dat departementshoofde vir wie effektiwiteit en georganiseerdheid belangrik is, ook hoë waarde heg aan samewerking.

    Korrelasie tussen effektiwiteit en georganiseerdheid, en bestuur en leerderprestasie

    Die korrelasie (0.473) dui aan dat departementshoofde vir wie effektiwiteit en georganiseerdheid belangrik is, ook hoë waarde heg aan bestuur en leerderprestasie.

    Korrelasie tussen vaardighede, en onderrig en leierskap

    Die hoë korrelasie (0. 739) dui aan dat departementshoofde vir wie vaardighede belangrik is, ook hoë waarde heg aan onderrig en leierskap.

    Korrelasie tussen vaardighede en samewerking

    Die hoë korrelasie (0.602) dui aan dat departementshoofde vir wie vaardighede belangrik is, ook hoë waarde heg aan samewerking.

    Korrelasie tussen vaardighede, en bestuur en leerderprestasie

    Die hoe korrelasie (0.511) dui aan dat departementshoofde vir wie vaardighede belangrik is, ook hoë waarde heg aan bestuur en leerderprestasie.

    Korrelasie tussen vakkundigheid en kennis, en onderrig en leierskap

    Die hoë korrelasie (0.624) dui aan dat departementshoofde vir wie vakkundigheid en kennis belangrik is, ook hoë waarde heg aan onderrig en leierskap.

    Korrelasie tussen vakkundigheid en kennis, en samewerking

    Die korrelasie (0.485) dui aan dat departementshoofde vir wie vakkundigheid en kennis belangrik is, ook hoë waarde heg aan samewerking.

    Korrelasie tussen vakkundigheid en kennis, en bestuur en leerderprestasie

    Die korrelasie (0.439) dui aan dat departementshoofde vir wie vakkundigheid en kennis belangrik is, ook hoë waarde heg aan bestuur en leerderprestasie.

    Korrelasie tussen druk, en vakkundigheid en kennis

    Oor die algemeen korreleer al die faktore positief, maar druk as faktor beïnvloed nie die ander faktore nie.

     

    Bespreking van bevindinge

    Daar bestaan 'n duidelike verband tussen voorbereiding, opleiding en ontwikkeling (vergelyk Tabel 4) wat die betrokkenes in staat stel om sekere vooruitsigte te hê, veranderinge te maak, probleme op te los en uitdagings te aanvaar. Onderrigleierskap is 'n noodsaaklike element in bestuur, wat daarop fokus om volwasseneleer en die onderrigproses te fasiliteer (vergelyk Tabel 4). Onderrigleierskap is weer belangrik om onderrigpraktyke, professionele bevoegdhede en die motivering van onderwysers te verbeter. Onderrigleierskap berei onderwysers voor om hulle met behulp van wedersydse ondersteuning en die nodige ervaring bekwaam te maak.

    Oor die algemeen korreleer al die faktore positief, maar druk as faktor beïnvloed nie die ander faktore nie. Dit kan impliseer dat as druk op departementshoofde geplaas word, hulle nie noodwendig beter sal presteer met betrekking tot die ander aspekte naamlik ondersteuning en hulpverlening, opleiding en voorbereiding, visie en beleidsaspekte, selfbemagtiging, vaardighede asook vakkundigheid en kennis nie.

    Vervolgens word daar gefokus op enkele bevindinge rakende die kwantitatiewe resultate. Alhoewel daar ook oop vrae in die vraelys was, fokus hierdie artikel slegs op die empiriese ondersoek.

    Daar was geen statisties betekenisvolle verskil tussen die deelnemende mans en vroue ten opsigte van hulle siening van die verskillende onderrigfaktore nie. Meer as die helfte van die departementshoofde het oor 'n minimum van vier jaar ervaring as departementshoof beskik. Daar was onsekerheid en 'n gebrek aan opleiding by departementshoofde. Hulle het gemeen dat hulle oor die nodige kennis en vaardighede beskik om alle onderrigleierskapstake en -funksies in hulle departemente te vervul, maar het nie bestuursopleiding ontvang met betrekking tot spesifieke onderrigleierskap, kennis en -vaardighede wat nodig is om effektiewe onderwysers te ondersteun nie. Voorafgaande dui daarop dat die voorbereiding van departe-mentshoofde om hulle pligte uit te voer, feitlik afwesig is. Die kardinale rol van voorbereiding word dus genegeer deur sowel onderwysdepartemente as werkgewers as bestuurders in skole.

    In hierdie studie is bevind dat die deelnemende departementshoofde oor die algemeen nie bestuursopleiding ontvang het voor hulle aanstelling in dié posisie nie. Sommige van die departementshoofde kon staatmaak op die kennis wat hulle opgedoen het tydens hulle kollege-of universiteitsopleiding. 'n Klein aantal van die departementshoofde het gevoel dat hulle voordiensopleiding nie van waarde was nie en dat hulle nie voorbereid was op hulle rol as beginnerdepartementshoofde nie. Dit het tot gevolg gehad dat departementshoofde soms onvoorbereid was op nuwe verwikkelinge. Departementshoofde maak staat op indiensopleiding, en deelnemers het aangedui dat daar 'n behoefte bestaan aan meer opleiding- en ontwik-kelingsprogramme in skole.

    Daar is ook bevind dat die departementshoofde hulle rol as middelvlakbestuurders besef. Dié besef is nodig vir hulpverlening en die verskillende ondersteunende onderrigleierskapsrolle in die skool en departement. Departementshoofde het dit duidelik gestel dat dit nie hulle taak is om die personeel in hulle departemente op te lei nie, maar wel om hulle te ondersteun sodat die onderwysers voorbereid kon wees vir hulle onderrigtaak om effektiewe onderwysers te wees. Die onderwysers is 'n kritieke deel van die onderrigleierskapslegkaart aangesien hulle verantwoordelik is vir dit wat geleer word en hoe dit geleer word.

     

    Gevolgtrekking en samevatting

    Die doel van die navorsing waarop hierdie artikel gebaseer is, is om te bepaal watter leemtes daar in die voorbereiding van departementshoofde by sekondêre skole bestaan om effektiewe onderrigleiers te wees, sodat voorstelle ter verbetering van die voorbereiding van departe-mentshoofde vir hul leierskapsrol gemaak kan word.

    Hierdie studie het bevind dat departementshoofde nie voldoende voorberei word vir hulle taak nie alhoewel hulle 'n groot behoefte daaraan het.

    Die navorsers is van mening dat goeie voorbereiding die kern van effektiewe onderwys is, aangesien dit onderrigleiers in staat stel om die plaaslike agtergrond waar te neem, om die golwe van verandering te verstaan, om die aard van onderwysersweerstand te verander en om die potensiaal van onderwysers te verbeter. Skoolhoofde en departementshoofde as onderrig-leiers het die verantwoordelikheid om te verseker dat onderwysers hulle deeglik vir die onderrigtaak voorberei. Hierin speel die departementshoof 'n kardinale rol. Die belangrike voorwaarde is dat hulle effektief en gefokus opgelei word.

     

    BIBLIOGRAFIE

    Bipath, K. 2012. People in action. In Heystek, Nieman & Van Rooyen (eds). People in leadership in education. Johannesburg: Heinemann.         [ Links ]

    Bogotch, I & Shields, CM. (eds). 2016. International handbook of educational leadership and social (in)justice. New York, NY: Springer International Handbooks of Education.         [ Links ]

    Botha, RJ. 2002. Outcomes-based education and educational reform in South Africa. International Journal of Leadership in Education, 5(4):361-371.         [ Links ]

    Brazer, SD & Bauer, SC. 2012. Preparing instructional leaders: A model. Educational Administration Quarterly, 49(4):645-684.         [ Links ]

    Bruggencate, GT, Luyten, H, Scheerens, J & Sleegers, P. 2012. Modelling the influence of school leaders on student achievement: How can school leaders make a difference? Educational Administration Quarterly, 48(4):699-732.         [ Links ]

    Bush, T. 2007. Educational leadership and management: Theory, policy, and practice. South African Journal of Education, 27(3):391-406.         [ Links ]

    Bush, T & Glover, D. 2014. School leadership and management in South Africa: Findings from a systematic literature review. International Journal of Educational Management, 30(2):211-231.         [ Links ]

    DBO (Departement van Basiese Onderwys). 2013. Annual report: 2013/14. Pretoria.         [ Links ]

    DBO (Departement van Basiese Onderwys). 2015a. Action Plan 2019: Towards the realisation of schooling 2030. Pretoria.         [ Links ]

    DBO (Departement van Basiese Onderwys). 2015b. South Africa Yearbook 2015/16. Pretoria.         [ Links ]

    DBO (Departement van Basiese Onderwys). 2016. Personnel Administrative Measures (PAM). Pretoria.         [ Links ]

    De Beer, ZL. 2011. Ervarings van departementshoofde as onderrigleiers in parallelmedium-laerskole. Ongepubliseerde MEd-tesis. Pretoria: Universiteit van Pretoria.         [ Links ]

    Enslin, P & Pendlebury, S. 1998. Transforming education in South Africa? Cambridge Journal of Education, 28(3):261-267.         [ Links ]

    Gardner, JW. 2013. The nature of leadership. In Fullan (ed.). Educational leadership. San Francisco, CA: Jossey-Bass.         [ Links ]

    Ghavifekr, S & Ibrahim, MS. 2014. Head of departments: Instructional supervisory role and teacher perceptions. Asian Journal of Social Sciences and Management Studies, 1(2):45-56.         [ Links ]

    Gülcan, MG. 2012. Research on instructional leadership competencies at school principals. Education, 132(3):625-635.         [ Links ]

    Hall, D, Gunter, HM & Bragg, J. 2011. The discursive performance of leadership in schools. Management in Education, 25(1):32-36.         [ Links ]

    Hallinger, P & Wang, WC. 2015. Assessing instructional leadership with the principal instructional management rating scale. New York, etc: Springer International.         [ Links ]

    Ibrahim, AI. 2015. In-service staff training programme for effective science teaching. American Journal of Educational Research, 3(2):185-190.         [ Links ]

    Jahangir, SF, Saheen, N & Kazmi, SF. 2012. In service training: A contributory factor influencing teachers' performance. International Journal of Academic Research in Progressive Education and Development, 1(1):31-38.         [ Links ]

    Jenkins, B. 2009. What it takes to be an instructional leader. Principal:34-37.         [ Links ]

    Jumani, NB, Rahman, F, Akhter, Y, Chisthi, SH & Ajmal, M. 2011. Relationship between training of teachers and effectiveness teaching. International Journal of Business and Social Science, 2(4):150-160.         [ Links ]

    Kessler, V. 2010. Leadership and power. Koers, 75(3):527-550.         [ Links ]

    Knapp, MS, Simangele, ST, Mkhwanazi, ST & Portin, BS. 2012. School-based instructional leadership in demanding environments: New changelings, new practices. In Barnetts, Shoho & Cypress (eds). The changing nature of instructional leadership in the 21st century. Charlotte, NC: Information Age.         [ Links ]

    Knudsen, HJ, Hadzibegovic-bubanja, E, Nielsen, S, Petkova, E & Nikolovska, M. 2013. School-based in-service teacher training in Montenegro: A handbook for policy makers and practitioners. Luxemburg: Publications Office of the European Union. doi:10.2816/18871.         [ Links ]

    Labuschagne, FJ & Eksteen, LC. 2011. Verklarende Afrikaanse woordeboek. 9de uitg. Pietermaritzburg: Interpak Books.         [ Links ]

    Llopis, G. 2015. Preparation for effective leadership begins with 5 simple rules. Forbes, http://www.forbes.com/sites/glennllopis/2014/09/09/preparation-for-effective-leadership-begins-with-5-simple-rules/ [14 Oktober 2015].         [ Links ]

    Lombard, K. 2013. Outcomes-based assessment for South Africa: A brief overview. In Meyer, Lombard, Warnich & Wolhuter (eds). Outcomes-based assessment for South African teachers. Pretoria: Van Schaik.         [ Links ]

    Manaseh, AM. 2016. Instructional leadership: The role of heads of schools in managing the instructional programme. International Journal of Educational Leadership and Management, 4(1):30-47.         [ Links ]

    May, R. 2012. Principles of instructional leadership. Business Dictionary, http://www.businessdictionary.com/article/671/principles-of-instructional-leadership/ [13 Junie 2015].         [ Links ]

    Morrison, AB. 2015. Handbook of Mindfulness and Self-Regulation. Mindfulness, attention, and working memory. New York: Springer. https://miami.pure.elsevier.com/en/publications/mindfulness-attention-and-working-memory [15 September 2016].         [ Links ]

    Mosoge, J. 2012. Talent development. In Heystek, Nieman & Van Rooyen (eds). People in leadership in education. Johannesburg: Heinemann.         [ Links ]

    Naicker, I. & Somdut, S. 2014. New kids on the block: Novice teachers and teacher leadership. International Journal of Educational Sciences, 7(3):569-578.         [ Links ]

    Nash, R & Hwang, K. 2012. Collaborative schools leadership: Practical strategies for principals. New York, NY: Rowman & Littlefield.         [ Links ]

    NEEDU (National Education Evaluation and Development Unit). 2013. National report 2012: Summary. http://www.education.gov.za/NEEDU/tabid?860/Default.aspx [19 April 2015].         [ Links ]

    Neumerski, MC. 2012. Rethinking instructional leadership, a review: What do we know about principal, teacher, and coach instructional leadership, and where should we go from here? Education Administration Quarterly, 49(2):310-347.         [ Links ]

    Niemann, R. 2012. Contemporary South African people leadership issues and development. In Heystek, Nieman & Van Rooyen (eds). People in leadership in education. Johannesburg: Heinemann.         [ Links ]

    Patnoudes, E. 2015. What should come first? Training or professional development? EdTech, https://edtechmagazine.com/k12/article/2015/03/what-should-come-first-training-or-professional-development [18 April 2016].         [ Links ]

    Pounder, DG. 2011. Leader preparation special issue: Implications for policy, practice and research. Education Administration Quarterly, 47(1):258-267.         [ Links ]

    Prytula, M, Noonan, B & Hellsten, L. 2013. Toward instructional leadership: Principals' perceptions of large-scale assessment in schools. Canadian Journal of Educational Administration and Policy, (140):1-30.         [ Links ]

    Rajoo, M. 2012. An investigation into the role of the head of department (HoD) as an instructional leader in the leadership and management of the teaching & learning of Accounting in two secondary schools in one district in Gauteng. Ongepubliseerde MEd-tesis. Witwatersrand: Universiteit van die Witwatersrand.         [ Links ]

    Rigby, JG. 2013. Three logics of instructional leadership. Educational Administration Quarterly, XX(X):1-35.         [ Links ]

    Robinson, VMJ. 2010. From instructional leadership to leadership capabilities: Empirical findings and methodological challenges. Leadership and Policy in Schools, 9(1):1-26.         [ Links ]

    Schäfer, D. 2015. Western Cape Education Department (WCED) to expand competency based assessments for the appointment of deputy principals and heads of department. Politicsweb, https://www.politicsweb.co.za/opinion/wced-to-roll-out-further-competency-assessments-d [15 Mei 2015].         [ Links ]

    Smith, C, Mestry, R & Bambie, A. 2013. Roleplayers and perceptions of departments instructional leadership role in secondary schools. Education as Change, 1(7):163-174.         [ Links ]

    Smith, L & Riley, D. 2012. School leadership in times of crisis. School Leadership & Management, 32(1):57-71.         [ Links ]

    Southworth, G. 2002. Instructional leadership in schools: Reflections and empirical evidence. School Leadership and Management, 22(1):73-91.         [ Links ]

    Spaull, N. 2013. South Africa's education crisis: The quality of education in South Africa 1994-2011. Report commissioned by CDE.         [ Links ]

    Writer, R. 2013. A crisis of teacher authority in schools. http://www.stabroeknews.com/2013/opinion/editorial/03/26/a-crisis-of-teacher-authority-in-schools/ [8 April 2015].         [ Links ]

    Steyn, HJ & Wolhuter, CC. 2008. The education system and probable societal trends of the twenty-first century. In Steyn & Wolhuter (eds). Education systems and the challenges of the 21st century. Noordbrug: Keurkopie.         [ Links ]

    Sullivan, P. 2013. School leadership development framework for the Gauteng Department of Education. Johannesburg: For the Matthew Goniwe school of leadership and governance.         [ Links ]

    Swan, V. 2004. Instructional leadership is the way forward - NAPD. Winifred Lucas, http://www.esha.org/Documents/Instructional%20Leadership%20in%20the%20Classroom.pdf. [12 Mei 2016].         [ Links ]

    Taylor, N. 2011. A five-year plan for South African schooling: A report commissioned by the National Planning Commission. Johannesburg: Jet Education Services.         [ Links ]

    Terblanche, M. 2012. Die deelnemende leierskapstyl van die departementshoof as komponent. Ongepubliseerde MEd-tesis. Stellenbosch: Universiteit Stellenbosch.         [ Links ]

    The General Teaching Council for Scotland. 2012. Standards for Leadership and Management: supporting leadership and management development. Edinburgh: GTC Scotland.         [ Links ]

    Vanblaere, B & Devos, G. 2018. The role of departmental leadership for professional learning communities. Educational Administration Quarterly, 54(1):85-114.         [ Links ]

    Van der Bijl, A & Kruger, OAG. 2016. Managing and leading the pedagogic-instructional programme. In Van Deventer (ed.). Educator's guide to school management-leadership skills. Pretoria: Van Schaik.         [ Links ]

    Van der Westhuizen, PC. 2011a. Educational management tasks. In Van der Westhuizen (ed.). Effective educational management. Pretoria: Clyson Printers.         [ Links ]

    Van der Westhuizen, PC. 2011b. The development of scientific management through and some developments in the fields of educational management. In Van der Westhuizen (ed). Effective educational management. Pretoria: Clyson Printers.         [ Links ]

    Van Deventer, I. 2016a. Developing excellence in schools: Management-leadership discourses in education. In Van Deventer (ed.). Educator's guide to school management-leadership skills. Pretoria: Van Schaik.         [ Links ]

    Van Deventer, I. 2016b. Education management-leadership tasks in schools. In Van Deventer (ed.). Educator's guide to school management-leadership skills. Pretoria: Van Schaik.         [ Links ]

    Van Rooyen, JW. 2012. Assessing talent. In Heystek, Nieman & Van Rooyen (eds). People in leadership in education. Johannesburg: Heinemann.         [ Links ]

    Van Wyk, A, Ogiana, CT & Mampane, S. 2016. Manage and lead the organisational climate and culture. In Van Deventer (ed.). An educator's guide to school management-leadership skills. Pretoria: Van Schaik.         [ Links ]

    Wagner, T & Kegan, R. 2013. Conclusion: Bringing the outward and inward focus together. In Fullan (ed.). Educational leadership. San Francisco, CA: Jossey-Bass.         [ Links ]

    Webber, CF, Mentz, K, Scott, S, Okoko, JM & Scott, D. 2014. Principal preparation in Kenya, South Africa, and Canada. Journal of Organisational Change Management, 27(3):499-519.         [ Links ]

     

     

    Ontvang: 2022-07-18
    Goedgekeur: 2023-01-22
    Gepubliseer: Junie 2024

     

     

     

    Grizelda du Plessis is 'n Afrikaans-onder-wyseres by die Primêre Skool Naudeville. Nadat sy in 2013 haar BEd-studie in Intermediêre en Seniorfase aan die Noordwes-Universiteit voltooi het, het sy voltyds voortgegaan met 'n BEdHons in Onderwysbestuur, -reg en -stelsels voordat sy in 2017 'n onderwysaanstelling aanvaar het. Sy was bevoorreg om in 2020 haar meestersgraad in Onderwysbestuur onder die leiding van prof. Kobus Mentz met lof te slaag.
    Grizelda du Plessisís is an Afrikaans teacher at Naudeville Primary School. After completing her BEd studies in Intermediate and Senior Phase at North-West University in 2013, she continued full-time with a BEdHons in Education Management, Law and Systems before accepting a teaching position in 2017. She was privileged to pass her master's degree in Education Management with distinction under the guidance of Prof. Kobus Mentz in 2020.

     

     

    Kobus Mentz was tot 31 Mei 2023 professor in Onderwysbestuursleierskap en direkteur van die Skool vir Professionele Studies in Onderwys in die Fakulteit Opvoedkunde aan die Noordwes-Universiteit. Sy voorgraadse en meestersgraad-studies het hy aan die Universiteit Pretoria en die Randse Afrikaanse Universiteit voltooi, en sy PhD in 1991 aan die destydse Potchefstroomse Universiteit vir Christelike Hoër Onderwys (PU vir CHO). Hy was vir 'n aantal jare Wiskunde-onderwyser aan twee hoërskole voordat hy in 1985 by die destydse PU vir CHO aangestel is. Sy navorsingsfokus is die skool as organisasie en die voorbereiding van skoolhoofde. Hy het al meer as dertig artikels in geakkrediteerde vaktydskrifte gepubliseer en talle nagraadse studente begelei. Kobus is op 1 Junie 2023 aangestel as rektor van Aros in Pretoria.
    Kobus Mentz was professor of Education Management Leadership and director of the School of Professional Studies in Education in the faculty of Education at the North-West University until 31 May 2023. He completed his undergraduate and master's studies at the University of Pretoria and the Rand Afrikaans University, and in 1991 he obtained his PhD at the then Potchefstroom University for Christian Higher Education (PU for CHE). He was a Mathematics teacher at two secondary schools for a few years before he was appointed at the PU for CHE. His research focus is the school as organisation and the preparation of school principals. He has published more than thirty articles in accredited journals and has acted as supervisor for a number of students. Kobus was appointed Rector of Aros, Pretoria in June 2023.