Serviços Personalizados
Journal
Artigo
Indicadores
Links relacionados
-
Citado por Google -
Similares em Google
Compartilhar
SAMJ: South African Medical Journal
versão On-line ISSN 2078-5135versão impressa ISSN 0256-9574
SAMJ, S. Afr. med. j. vol.109 no.1 Pretoria Jan. 2019
https://doi.org/10.7196/samj.2019.v109i1.13230
RESEARCH
Treatment outcomes in perinatally infected HIV-positive adolescents and young adults after ≥10 years on antiretroviral therapy
K AndersonI; R MuloiwaII; M-A DaviesIII
IMB ChB, MPH, Dip HIV Man (SA); Centre for Infectious Disease Epidemiology and Research, School of Public Health and Family Medicine, Faculty of Health Sciences, University of Cape Town, South Africa
IIMB ChB, FC Paed (SA), MSc; Department of Paediatrics and Child Health, Groóte Schuur Hospital and University of Cape Town, South Africa
IIIMB ChB, PhD, FCPHM (SA); Centre for Infectious Disease Epidemiology and Research, School of Public Health and Family Medicine, Faculty of Health Sciences, University of Cape Town, South Africa
ABSTRACT
BACKGROUND. The burden of paediatric HIV in South Africa has shifted to older children and adolescents. Nevertheless, information on long-term treatment outcomes of perinatally HIV-infected (PHIV) children is limited.
OBJECTIVES. To examine long-term immunological and virological outcomes of children who were in care for at least 10 years after starting antiretroviral therapy (ART).
METHODS. We performed a retrospective cohort study of 127 PHIV children who initiated ART at a Cape Town clinic between 2002 and 2005 and were followed up for >10 years from the ART initiation date. CD4+ counts and viral loads (VLs) were analysed for each successive year on ART. Treatment history, resistance test results, growth data, hospital admissions and opportunistic infection history were described.
RESULTS. The median age at ART initiation was 2.6 years (interquartile range (IQR) 1.3 - 4.9) and the median CD4+ percentage 13.0% (IQR 8.9 - 18.0). The first ART regimen was non-nucleoside reverse transcriptase inhibitor based (63.8%) or protease inhibitor based (36.2%). Median follow-up was 12.2 years (IQR 11.1 - 13.0). At the last assessment, 49.6% of patients were on first-line and 43.3% on second-line ART. At the last assessment, the median CD4+ count was 686 cells/uL (IQR 545 - 859) and 78.7% of children had CD4+ counts >500 cells/uL (92.1% of those on first-line v. 70.9% on second-line ART; p=0.003). At the last assessment, 79.5% of patients were virally suppressed (VL <400 copies/mL), 86.2% of those on first-line v. 76.8% on second-line ART (p=0.183). The 10-year probability of experiencing viral failure (VF) was 56.7% (95% confidence interval (CI) 48.3 - 65.5) and the 10-year probability of switching to second-line ART 45.7% (95% CI 37.5 - 54.8). The probability of experiencing VF between the ages of 10 and 18 years was 37.4% (95% CI 25.4 - 52.8).
CONCLUSIONS. Virological and immunological outcomes were good overall in PHIV children who remained in care for >10 years at this clinic, but >40% of children were on second-line ART with poorer immunological outcomes.
There are currently an estimated 320 000 children aged <15 years living with HIV in South Africa (SA)[1] Owing to a combination of recent success in preventing new vertical HIV infections and success of paediatric combination antiretroviral therapy (ART) programmes in improving life expectancy in perinatally HIV-infected (PHIV) children, the burden of paediatric HIV in SA has changed to older children, and this effect is projected to increase further by 2020.[2]There is an increasing population of PHIV children on ART reaching adolescence in SAs healthcare system, yet information on long-term treatment outcomes in this unique group of highly treatment-experienced adolescents is very limited. Adolescence in general is a period characterised by physical, emotional and psychological change. It is associated with developing autonomy and sexuality, questioning authority, greater peer influence, increased impulsivity and risk taking. PI Adolescents with HIV may be at high risk of poor ART adherence, drug resistance and viral failure (VF).[4,5] Barriers to adherence can include busy schedules (school and social), treatment fatigue, high pill burdens, complex twice-daily regimens, drug side-effects and disclosure issues. [3] In addition, socioeconomic difficulties related to orphanhood and stigma, as well as HIV-related behavioural and neurocognitive consequences, can adversely affect adolescent adherence.[6]
Many PHIV children are reaching adolescence and beyond, transitioning to adult care, yet healthcare systems are often lacking in preparedness to deal with the complex and evolving needs of these children as they age into adolescence and young adulthood. In Africa, HIV services dedicated to young people and their needs are scarce[7] and when VF occurs, there are limited second- and third-line ART options available, particularly when protease inhibitors (Pis) have been used in the first-line regimen in children. While several studies have reported on viral and immunological outcomes in PHIV cohorts on ART, few have reported the outcomes after more than a decade of treatment. Viral suppression ranged from 37% to 68% and optimal immune status (CD4+ count >500 cells/uL) from 42% to 59% in these studies, which were all from high-income countries in Europe and North America.[8-13] Cohort size ranged from 112 to 654 patients, median duration of follow-up was 11 - 16 years and median age at analysis was 12 - 19 years. These studies may not be generalisable to low- and middle-income countries (LMICs), including SA, as on the one hand many children in these cohorts were exposed to older, less efficacious regimens in the 1990s, while on the other hand they were likely to have had access to a wider range of antiretrovirals and more tailor-made regimens than children in LMICs in the 2000s.
Objectives
There are no published data on outcomes in PHIV children in LMICs on ART for >10 years. Although national paediatric ART programmes were implemented in SA over a decade ago, the long-term outcomes of PHIV children on ART have not yet been described. This study aimed to contribute to available knowledge by describing local outcomes that can aid in anticipating future challenges and planning further management in treatment-experienced adolescents and young adults. The main objective was to describe long-term clinical, growth, immunological and virological outcomes in PHIV children on ART.
Methods
We conducted a retrospective cohort study of PHIV adolescents on ART. Primary outcomes were annual viral load (VL) and CD4+ results. Secondary outcomes were ART regimen history, resistance test results, height and weight measurements, history of opportunistic infections and hospital admissions. The study population consisted of PHIV adolescents and young adults attending the Adolescent Infectious Diseases Clinic at Groóte Schuur Hospital (GSH) in Cape Town, SA. This is a tertiary-level clinic in an urban setting. The paediatric ART programme was initially implemented in 2002 by a non-governmental organisation (Kidzpositive), and was taken over by the provincial Department of Health during 2004. Initially the clinic managed only paediatric cases referred from primary/ secondary facilities; later it evolved to form a dedicated PHIV adolescent service with access to support from psychologists, social workers, counsellors and peer support groups. Approval for the research was obtained from the University of Cape Town's Faculty of Health Sciences Human Research Ethics Committee (ref. no. 891/2015).
Participants were identified from the clinic's enrolment register and attendance database. Inclusion criteria were: (i) ART initiation at the GSH paediatric clinic or in the GSH paediatric ward (with follow-up at the clinic); (ii) age <12 years at initiation (maximum age for referral to paediatric services; also serves as a proxy for perinatal route of infection); (iii) ART initiation between 13 May 2002 (inception of the ART programme) and 31 December 2005: (iv) attendance at the clinic for a minimum of 10 years since ART initiation date, including those who had previous gaps in care or had been transferred out but returned and were in care >10 years after ART start; (v) previously ART naive, with the exception of possible nevirapine exposure as part of the prevention of mother-to-child transmission programme implemented in the Western Cape Province from 1999; and (vi) children who initiated care at the clinic as part of a clinical research study were included, provided that the study was a pharmacokinetic one and not a study comparing the effectiveness of different antiretroviral treatments or other interventions. We excluded those who were not in care at the clinic for at least 10 years after ART initiation due to death, loss to follow-up (LTFU) or transfer of care to another institution. Clinical data were collected from the patients' clinical records. Tuberculosis diagnoses and reasons for hospital admission were based on physician assessment and therefore may not always have been based on laboratory results. CD4+ and VL results were obtained from the National Health Laboratory Service. Information was captured from the time of ART initiation until the censoring date when LTFU, death or transfer occurred or until the study ended on 31 December 2015 if the patient was still in active care. Data were compiled into Excel spreadsheets version 2013 (Microsoft, USA) and uploaded to Stata version 14 (StataCorp, USA) for analysis. The Z-test was used for comparing differences in proportions. Medians and interquartile ranges (IQRs) were used to describe data that were not normally distributed. Kaplan-Meier survival analysis and Cox proportional hazard methods of analysis were applied to identify time to VF and factors associated with VF. Independent variables for inclusion in multivariable models were selected a priori. Based on existing literature, age, gender programme year, baseline CD4+ count and VL, drug regimen and drug formulation were selected as potentially having associations with probability of VF. We examined the effect of age on VF in different ways by including age in different models as current age, current age category, age at ART start and age category at ART start.
Viral suppression was regarded as a VL <400 copies/mL. VF was regarded as two sequential VLs >1 000 copies/mL at >24 weeks since ART initiation, taken between 14 and 365 days apart and not measured during a treatment interruption. Annual CD4+ and VL were defined as the measure taken nearest to but within ±6 months of the respective annual time points. The World Health Organization (WHO) age-related classification of immunosuppression was used.!14 Optimal immune status was defined as age <11 months and CD4+ >35%, age 12 - 35 months and CD4+ >30%, age 36 - 59 months and CD4+ >25%, and age >5 years and CD4+ count >500 cells/uL. Changing from first- to second-line therapy was defined as changing at least two antiretroviral drugs in the regimen, one of which was a class switch from a non-nucleoside reverse transcriptase inhibitor (NNRTI) to a PI or from a PI to an NNRTI, where the reason for changing drugs was VF and not toxicity and the child was not virally suppressed at the time of the switch. Genotypic drug resistance was defined as intermediate- or high-level resistance. LTFU was defined as no visit for >6 months before database closure in a child not known to have transferred out or died, provided that the child had at least 10 years of follow-up since the start of ART. Children with <10 years of follow-up were excluded from the study. WHO child growth reference values were used to calculate anthropometric z-scores.I15 Weight-for-age z-scores were not calculated after 10 years of age as there are no WHO reference values for this age group.
Results
Cohort characteristics
Between May 2002 and December 2005, 349 children enrolled for ART initiation. Before reaching 10 years of follow-up, 29 (8.3%) died, 33 (9.5%) were LTFU, 150 (43.0%) were transferred to other facilities (with no transfer back to GSH) and 10 (2.9%) had missing records. The remaining 127 (36.4%) were in care for >10 years and formed the study cohort. At ART initiation, the median age of the 127 children included in the study was 31 months (IQR 16 - 58) and the median CD4+ percentage was 13.0% (IQR 8.9 - 18.0), with 62.8% of the children classified as severely immunosuppressed. Of the children, 12 (9.4%) started ART as inpatients. Children were followed up for a median of 12.2 years (IQR 11.1 - 12.9), with a mean of six clinic visits per year. Among the cohort of 127 children, 26 (20.5%) transferred to other facilities for care and subsequently transferred back again, mainly for adolescent support. During the study period following 10 years since ART initiation, among the cohort of 127 children, 1 patient died, 2 were LTFU and 19 (15.0%) transferred to other clinics. Participants' ages ranged from 10 to 22 years at study close. Characteristics of the children at ART initiation and at the last assessment are shown in Table 1.
Treatment history
At ART initiation, 63.8% of children were on NNRTI-based and 36.2% on Pi-based regimens (Table 1). Over time, there were 91 instances of documented patient- or caregiver-initiated treatment interruptions, which occurred in 40 patients (31.5%). Drug switches due to lipodystrophy were made in the regimens of 64 patients (50.4%) at a median age of 11 years, mostly attributable to stavudine but also to zidovudine and didanosine. At the last assessment, 49.6% of patients were on first-line ART, 43.3% on second-line ART, 3.1% on salvage therapy or monotherapy, and 3.9% on no ART. Among those on combination ART, 27.5% were on NNRTI-based and 71.7% on Pi-based regimens. One patient was using an integrase inhibitor.
Virological outcomes
After ART initiation, 75.6% of children initially had viral suppression and 41.7% maintained good virological control, never experiencing VF throughout follow-up (Fig. 1). Two children never experienced viral suppression throughout follow-up.

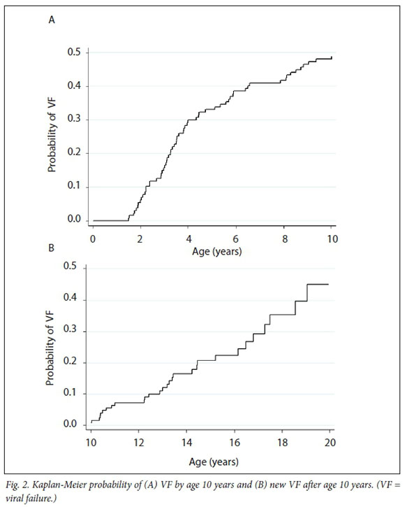
The Kaplan-Meier probability of experiencing VF by 10 years after ART initiation was 56.7% (95% confidence interval (CI) 48.3 - 65.5). Among those who experienced VF (74/127, 58.3%), VF occurred at a median age of 4.0 years (IQR 2.9 - 8.3) and a median duration on ART of 1.5 years (IQR 1.1 - 2.6). The 10-year probability of switching to second-line ART was 45.7% (95% CI 37.5 - 54.8). Factors associated with a first episode of VF were analysed by Cox proportional hazards modelling (Table 2, A). Female sex was independently associated with a 0.46 times lower hazard of developing VF (95% CI 0.24 - 0.87). Use of suspensions in the ART regimen compared with use of tablets only was associated with a 3.78 times increased hazard of VF (95% CI 1.24 -11.54). In sensitivity analyses where age was included in the model in different ways, the association between use of suspensions and VF was similar and remained significant.
At the last assessment, 79.5% of the cohort were virally suppressed (86.2% on first-line ART v. 76.8% on second-line ART;p=0.183). There was no significant difference in the proportion virally suppressed on NNRTI-based v. Pi-based regimens (88.6% v. 77.8%; p=0.169), by age 10 - 14 v. > 15 years at last assessment (83.3% v. 74.5%; p=0.224), or by history of previous exposure to single-PI ritonavir v. not (72.2% v. 80.8%; p=0.41). The Kaplan-Meier probability of experiencing VF between the ages of 10 and 18 years was 37.4% (95% CI 25.4 -52.8). VF occurred at a constant probability throughout adolescence (Fig. 2). Advanced immunodeficiency (CD4+ count <350 cells/ HL) at age 10 years was independently associated with a 4.05 times increased hazard of developing VF during adolescence (95% CI 1.04 - 15.82) (Table 2, B). In addition, having a history of previous VF before the age of 10 was independently associated with a 3.20 times increased hazard of developing VF after the age of 10 years (95% CI 1.05 -9.74). The proportion of patients virally suppressed at each year since ART initiation increased gradually until 8 years after ART initiation and decreased thereafter (Fig. 3).


Ten percent of the cohort had drug resistance documented, which was found in 13 of the 16 children tested. Of these, 2 had nucleoside reverse transcriptase inhibitor (NRTI) resistance, 2 had NNRTI resistance, 7 had both NNRTI and NRTI resistance and 2 had both PI and NRTI resistance.
Immunological outcomes
At the last assessment, the median CD4+ count was 686 cells/uL (IQR 545 - 859), 3.9% of the cohort had a CD4+ count <200 cells/ HL, and 78.7% had a CD4+ count >500 cells/ HL (Table 1). Patients on first-line ART at last assessment were more likely than those on second-line ART to have a CD4+ count >500 cells/uL (92.1% v. 70.9%; p=0.003). Similarly, those on NNRTI-based regimens were more likely than those on Pi-based regimens to have a CD4+ count >500 cells/ HL (93.9% v. 76.7%; p=0.030). Stratified by age 10 - 14 v. age >15 years at last assessment, 91.7% v. 61.8% (p<0.001) had a CD4+ count >500 cells/uL. The percentage of patients with optimal immunological status at each year after ART initiation showed increases until 7 years and decreased thereafter (Fig. 4).

Growth
At the last assessment, 5.5% of children were wasted (body mass index for age z-score <-2), compared with 13.3% at ART initiation. At ART initiation, median height-for-age z-score (HAZ) was -2.92 (IQR -4.09 - -1.95) and 72.6% of the children were stunted (HAZ <-2) (Table 1). At the last assessment, median HAZ was -1.52 (IQR -2.22 - -0.79) and 31.5% were stunted. Although the HAZ improved over time, it remained below WHO child growth reference values (Fig. 5).

Clinical outcomes
The number of hospital admissions was highest in the first year after ART initiation, and decreased thereafter (Table 3, A). Across the entire follow-up period, the most common reasons for admissions were lower respiratory tract infections (45.7%) and pulmonary tuberculosis (9.5%). The incidence of tuberculosis was high: across the entire follow-up period, 68 episodes of tuberculosis were diagnosed in 58 patients (45.7% of the cohort); 53 of these episodes occurred in 51 patients (40.2% of the cohort) >4 weeks after ART initiation (Table 3, B). Among those who developed tuberculosis >24 weeks after ART initiation, 55.1% were not virally suppressed at tuberculosis diagnosis. Chronic lung disease was documented in 33 (26.0%) of the cohort.
Discussion
To our knowledge, this is the first published study of outcomes of PHIV children in SA after >10 years in HIV care, albeit from a single centre. After median follow-up of 12 years on ART, 79.5% of this cohort were virally suppressed and 78.7% had optimal immune status. These results compare favourably with studies in high-income countries.[8,13] However, these PHIV adolescents comprise a vulnerable group, with impaired growth outcomes and ongoing burden of clinical disease. Maintaining virological control and optimal immune status in adolescence may be challenging. A high proportion of patients have already had at least one episode of confirmed VF before adolescence, and approximately one in three experience new confirmed VF between the ages of 10 and 18 years.
Both immunological and virological outcomes initially improved substantially after ART initiation in this group, but appeared to deteriorate about 10 years after the start of ART. Understanding the reason for these deteriorating outcomes is crucial to developing targeted interventions to address them. In this respect, VF occurred at a constant rate after age 10 years, similar to results in Asian adolescents. [16] Entering adolescence with a CD4+ count <350 cells/ uL or with a history of previous VF were predictors of experiencing new VF during adolescence. In addition, it was notable that adolescents aged >15 years, those on second-line therapy and those on Pi-based therapy were more likely to have CD4+ counts <500 cells/uL.
Across the entire follow-up period, we found an increased hazard of VF in children using suspensions. Because younger children are more likely to be prescribed suspensions than tablets, we conducted sensitivity analysis to examine the association of suspension use with VF more closely. Sensitivity analysis with current age and age at ART start as both numerical and age categories (<5 v. >5 years) showed a statistically significant association, with similar effect size, of suspension use with VE Although the effect was robust to different ways of adjusting for age, we cannot conclusively say the association is causal. Nevertheless, it is not surprising, as some suspensions are unpalatable, giving accurate doses is more difficult compared with tablets, especially if a child vomits or spits out the medicine, and frequent weight-based dosage changes are needed as the child grows, with risk of errors (by clinicians or caregivers). Optimising drug formulations across the paediatric age range may reduce the risk of VF and drug resistance, facilitating better adolescent outcomes. Resistance testing is not routinely performed in SA when changing from an NNRTI-based regimen due to VF, nor is it routinely performed when VF occurs in patients on a Pi-based regimen if ongoing poor adherence is observed. The true incidence of resistance is therefore likely to be higher than the 10% documented.
The high burden of stunting, hospitalisation and clinical disease, especially tuberculosis, despite several years on ART in our cohort, is notable. The majority of incident tuberculosis cases occurred in patients who were not virally suppressed. This is consistent with findings in adult studies that HIV-infected patients with a high VL are at high risk of tuberculosis, irrespective of CD4+ counts.[17,18] One in four children in our cohort had chronic lung disease, a well-known complication among PHIV adolescents, particularly in sub-Saharan africa [19,20]Despite HAZ improvements in childhood, in this study and others in LMICs[21,22] PHIV adolescents continue to be at least one standard deviation below normal height, with potential impact on final adult height.
Study strengths and limitations
This is one of the first studies with >10 years of follow-up of PHIV adolescents from sub-Saharan Africa. Strengths of our study include the detailed long-term individual trajectories, including VL and clinical outcomes, and that the study reflects the real world rather than trial settings. The extended time frame allowed for inclusion of patients who had previous gaps in care or transfer out and who at an earlier stage would have been considered LTFU or transferred to another site. Limitations of the study include the small sample size, the retrospective study design, and that the data come from a single study site in a tertiary care institution. Since we focused on children who had been on ART for at least 10 years at the same site, there is survival bias in this cohort. Nevertheless, it is precisely this surviving group of PHIV adolescents that needs to be described in order to optimise management during adolescence and transition to adulthood.
There may be reduced external validity owing to this being a tertiary care cohort. In SA and sub-Saharan Africa more broadly, the model of retaining children at a separate paediatric tertiary facility is unusual. In addition, there is selection bias in the current cohort of children with >10 years of follow-up, as many were long-term survivors and regular clinic attendees during the era before ART was widely available. Subsequent cohorts of adolescents will have had the advantage of starting ART before the onset of severe disease. The children in this study benefited from tertiary-level support available at the clinic, so results from the study may not be generalisable to children treated at primary care level where HIV services dedicated to young people and their needs are often lacking. Some variables that may be related to the risk of developing VF, for example adherence to ART, caregiver factors, disclosure, depression and neurocognitive deficits, were not explored in this study. Sample size was not calculated to detect any differences between groups.
Conclusions
Long-term virological and immunological outcomes were good overall in PHIV children remaining in care for >10 years. However, a worsening trend was observed in adolescence, which may reflect growing autonomy and worse adherence during adolescence. Given their long-term treatment histories, including prior VF and ongoing clinical disease burden, these adolescents will require careful management as they transition to adult care and beyond. There is a need for similar studies of long-term outcomes in PHIV children at other sites in SA, particularly in primary care settings, as well as further studies of PHIV individuals after they have transitioned to adult care.
Declaration. This research was submitted by KA to the University of Cape Town in partial fulfilment of the requirements for the MPH degree although publication of the research was not a requirement.
Acknowledgements. Dr Paul Roux, Kidzpositive and One to One Children's Fund are credited for initiating ART provision at GSH, thereby saving many children's lives. The children, adolescents and caregivers attending the clinic, as well as the dedication of the clinic staff, are acknowledged.
Author contributions. KA and M-AD contributed to study conception and design; KA participated in data collection; KA performed statistical analyses and prepared the manuscript; M-AD provided statistical input; M-AD and RM revised the manuscript and appraised several drafts before approving the final version submitted for publication.
Funding. KA received financial assistance from the National Research Foundation (NRF) towards this research. The opinions expressed and conclusions arrived at are those of the authors and are not necessarily to be attributed to the NRF.
Conflicts of interest. None.
References
1. Joint United Nations Programme on HIV and AIDS (UNAIDS). South Africa. HIV and AIDS estimates. 2016. http://www.unaids.org/en/regionscountries/coiintries/southafrica (accessed 6 February 2018) [ Links ]
2. Johnson LF, Davies M-A, Moultrie H, et al The effect of early initiation of antiretroviral treatment in infants on pediatric AIDS mortality in South Africa. Pediatr Infect Dis J 2012,31(5):474-480. [ Links ]
3. Fairlie L, Sipambo N, Fick C, Moultrie H. Focus on adolescents with HIV and AIDS. S Afr Med J 2014,104(12):897. https://doi.org/10.7196/SAMJ.9110 [ Links ]
4. Nachega JB, Hislop M, Nguyen H, et al. Antiretroviral therapy adherence, virologie and immunologic outcomes in adolescents compared with adults In southern Africa. J Acqulr Immune Defic Syndr 2009,51(1):65-71. https://doi.org/10.1097/QAI.0b013e318199072e [ Links ]
5. Nglazi MD, Kranzer K, Holele P, et al. Treatment outcomes in HIV-infected adolescents attending a community-based antiretroviral therapy clinic in South Africa. BMC Infect Dis 2012-1-21. https://doi.org/10.1186/1471-2334-12-21 [ Links ]
6. Sohn AH, Hazra R. The changing epidemiology of the global paediatric HIV epidemic Keeping tract of perinatally HIV-infected adolescents. J Int AIDS Soc 2013?16(1):18555. https://doi.org/10.7448/IAS.16.1.18555 [ Links ]
7. Lowenthal ED, Bakeera-Kitaka S, Reyi Marukutira T, Chapman J, Goldrath K, Ferrand RA. Perinatally acquired HIV infection in adolescents from sub-Saharan Africa. A review of emerging challenges. Lancet Infect Dis 201*14(7); 627-639. https://doi.org/10.1016/S1473-3099(13)70363-3 [ Links ]
8. Dollfus C, le Chenadec J, Faye A, et al Long-term outcomes In adolescents perinatally Infected with HTV-1 andfollowed up since birth in the French Perinatal Cohort (EPF/ANRS CO10). Clin Infect Dis 2010,51(2):214-224. https://doi.org/10.1086/653674 [ Links ]
9. De Mulder M, Yebra G, Navas A, et al High drug resistance prevalence among vertically HIV-infected patients transferred from pediatric care to adult units in Spain. PLoS One 2012,7(12)5:52155. https://doi.org/10.1371/journal.pone.0052155 [ Links ]
10. Collins IJ, Foster C, Tostevin A, et al. Clinical status of adolescents with perinatal HIV at transfer to adult care In the UK/Ireland. Clin Infect Dis 2017,64(8). 1105-1112. https://doi.org/10.1093/cid/cix063 [ Links ]
11. Van Dyke RB, Patel K, Siberry CK, et al. Antiretroviral treatment of US children with perinatally acquired HIV infection. Temporal changes in therapy between 1991 and 2009 and predictors of immunologic and virologie outcomes. J Acquir Immune Defic Syndr 2011,57(2).165-173. https://doi.org/10.1097/QAI.0b013e318215c7bl [ Links ]
12. Kahana SY, Fernandez MI, Wilson PA, et al. Rates and correlates of antiretroviral therapy use and Virologie suppression among perinatally and behaviorally HIV-infected youth linked to care in the United States. J Acquir Immune Defic Syndr 2015,68(2).169-177. https://doi.org/10.1097/QAI.0000000000000408 [ Links ]
13. Foster C, Judd A, Tookey P, et al. Young people in the United Kingdom and Ireland with perinatally acquired HIV. The pediatric legacy for adult services. AIDS Patient Care STDS 2009,23(3).159-166. https://doi.org/10.1089/apc.2008.0153 [ Links ]
14. World Health Organization. WHO case definitions of HIV for surveillance and revised clinical staging and immunological classification of HTV-related disease in adults and children. 2007. http://www.who.int/hiv/pub/guidelines/HIVstagingl50307.pdf (accessed 7 November 2015). [ Links ]
15. World Health Organization. Child growth standards. WHO Anthro (version 3.2.2, January 2011) and macros. 2011. http://www.who.lnt/chUdgrowth/software/en/ (accessed 18 October 2016). [ Links ]
16. Sudjaritruk T, Aurpibul L, Ly PS, et al. Incidence of postsuppression virologie rebound in perinatally HIV-infected Asian adolescents on stable combination antiretroviral therapy. J Adolesc Health 2017:61(1).91-98. https://doi.org/10.1016/j.jadohealth.2017.01.014 [ Links ]
17. Fenner L, Atkinson A, Boulle A, et al. HIV viral load as an independent risk factor for tuberculosis in South Africa. Collaborative analysis of cohort studies. J Int AIDS Soc 2017,20(1).21327. https://doi org/10.7448/IAS.20.1.21327 [ Links ]
18. Kaplan JE, Hanson DL, Jones JL, Dworkin MS. Viral load as an independent risk factor for opportunistic infections in HIV-infected adults and adolescents. AIDS 2001,15(14).1831-1836. https://doi.org/10.1097/00002030-200109280-00012 [ Links ]
19. Attia EF, Miller RF, Ferrand RA. Bronchiectasis and other chronic lung diseases in adolescents living with HIV. Curr Opin Infect Dis 2016,30(1).1. https://www.ncbi.nlm.nih.gov/pmc/artides/PMC5408733/ (accessed 28 November 2018). [ Links ]
20. Githinji LN, Gray DM, Hlengwa S, Myer L, Zar HJ. Lung function in South African adolescents infected perinatally with HIV and treated long-term with antiretroviral therapy. Ann Am Thorac Soc 2017,14(5).722-729. https.//doi.org/10.1513/annalsats.201612-1018oc [ Links ]
21. Bunupuradah T, Karlminia A, Aurpibul L, et al. Final height and associated factors in perinatally HIV-infected Asian adolescents. Pediatr Infect Dis J 2016,35(2).201-204. https://doi.org/10.1097/inf.0000000000000961 [ Links ]
22. Chokephaibulkit K, Karlminia A, Oberdorfer P, et al. Characterizing HIV manifestations and treatment outcomes of perinatally Infected adolescents In Asia. Pediatr Infect Dis J 2014,33(3):291-294. https://doi.org/10.1097/inf.0b013e3182al8223 [ Links ]
Correspondence:
K Anderson
kimanderson@law.co.za
Accepted 26 June 2018












