Servicios Personalizados
Revista
Articulo
Indicadores
Links relacionados
-
Citado por Google -
Similares en Google
Compartir
South African Journal of Industrial Engineering
versión On-line ISSN 2224-7890
S. Afr. J. Ind. Eng. vol.35 no.1 Pretoria may. 2024
https://doi.org/10.7166/35-1-2897
GENERAL ARTICLES
Optimal pricing and production lot size for two rates of production with price-sensitive demand, price break-even point, and profit maximisation in higher order equation
C. K. SivashankariI, *; T. NithyaII; V. S. S. YadavalliIII
IDepartment of Mathematics, R.M.K. Engineering College, Kavaraipettai, India
IIDepartment of Mathematics, Chennai Institute of Technology, Chennai, India
IIIDepartment of Industrial & Systems Engineering, University of Pretoria, Pretoria, South Africa
ABSTRACT
In the present study, optimal pricing and optimal lot size production policy models with price-sensitive demand of deteriorating products are considered, taking into account two distinct production rates. It is possible to begin production at one rate and then switch to a different rate after a period of time. Such a scenario is appealing, in that a big initial stock of produced goods can be avoided by starting production at a modest pace, thus reducing the initial investment and the holding cost. Further, the fifth-order equation is obtained when the equation for optimal pricing is derived. Maximising the profit is calculated based on a fifth-order equation. Both optimal pricing and production lot size are decision variables, and optimal cycle time is also one of the decision variables for determining price break-even points. As far as information is concerned, no researcher has examined optimal pricing and production lot size policies in two-rates-of-production models for their study. The objective of the present study is to examine the optimal production, optimal pricing, and optimal cycle time to reduce the total cost and to maximise the total profit. Both price break-even point and profit maximisation are considered. An appropriate mathematical model is developed. An illustrative example is provided and numerically validated using a sensitivity analysis. Microsoft Visual Basic 6.0 was used to code the model's outcome validation.
OPSOMMING
In hierdie studie word optimale prysbepaling en lotgrootte produksiebeleidsmodelle met pryssensitiewe vraag na verswakkende produkte oorweeg, met inagneming van twee afsonderlike produksietempo's. Dit is moontlik om produksie teen een tempo te begin en dan na 'n ander tempo oor te skakel na 'n tydperk. So 'n scenario is aantreklik, aangesien 'n groot aanvanklike voorraad geproduseerde goedere vermy kan word deur produksie teen 'n beskeie tempo te begin, en sodoende die aanvanklike belegging en die houkoste te verminder. Verder word die vyfde-orde vergelyking verkry wanneer die vergelyking vir optimale prysbepaling afgelei word. Maksimering van die wins word bereken op grond van 'n vyfde-orde vergelyking. Beide optimale pryse en produksielotgrootte is besluitveranderlikes, en optimale siklustyd is ook een van die besluitveranderlikes vir die bepaling van prysgelykbreekpunte. Wat inligting betref, het geen navorser optimale prysbepaling en produksielotgrootte-beleide in twee-tempo-van-produksie-modelle vir hul studie ondersoek nie. Die doel van die studie is om die optimale produksie, optimale pryse en optimale siklustyd te ondersoek om die totale koste te verminder en die totale wins te maksimeer. Beide prys-gelykbreekpunt en winsmaksimering word oorweeg. 'n Toepaslike wiskundige model word ontwikkel. 'n Illustratiewe voorbeeld word verskaf en numeries bekragtig met behulp van 'n sensitiwiteitsanalise. Microsoft Visual Basic 6.0 is gebruik om die model se uitkomsvalidering te kodeer.
1. INTRODUCTION
Inventory management is a critical operation in manufacturing and supply chain processes.The manufacturing process uses raw materials and work-in-progress goods to create finished products that are either stored as inventory or sold, and some may also be used in follow-up operations.Inventory is the most important current asset held by many organisations, representing as much as half of the company's investment. In the traditional inventory model, the industry plans to produce their production requirement at a single rate of production, after which consumption takes place. In a modern business environment, owing to changes in technology, the constraint of investment, and the availability of materials and skilled labour, the industry has to plan its production at distinct rates during sub-periods to take advantage of low rates for the products produced initially in order to reduce the initial investment in the production. After having a handful of customers in the market for their product, the industry passes into the next, higher stage of production, and so on. Such a situation is desirable for a low production rate, which leads to a significant quantity of manufacturing products at the initial stage, thus preventing the industry from lowering the initial investment and holding costs.
The first attempt at a two-rates-of-production inventory model was developed by Sivashankari and Panayappan [21], in which two distinct production rates are taken into consideration, and it is possible to begin production at one rate and then switch to a different rate after a period of time. Such a scenario is appealing, in that a big initial stock of produced goods can be avoided by starting production at a modest pace, thus reducing the initial investment and the holding cost. Sivashankari and Krishnamoorthi [22] developed a model of three production inventory rates in which three-level production inventory models for perishable goods are taken into account, given fluctuations in production rates; that is, production begins at one rate and switches to another rate. The current state is ideal for lowering holding costs and a significant quantity of manufacturing goods. Furthermore, the two-rates-of-production inventory model was established by Mulumfashi et al. [11], in which the economic production inventory paradigm for deteriorative items has two-phase production intervals, the exponential rate of demand, and a linearly rising function of holding cost. Mishra, U et al. [13] proposed a solution using original ideas and the development of two methods that are appropriate for four-level production and the best replenishment duration, rebate value, ordering quantity, and selling price while Maximising overall profit.
To my knowledge, no researcher has developed a mathematical model for two rates of production with price-sensitive demand for deteriorative items, using the two decision variables of optimal pricing and production lot size, in their study. Based on this view, the production inventory model for degrading products presented in this work is created with two distinct levels of production, with the possibility that production begins at one rate and transitions to another over time. Such a scenario is preferable because, by beginning with a low production rate, producing a big initial stock of goods is avoided, which lowers the cost of holding. The aim is to obtain the optimal pricing along with the optimal production lot size at various times to reduce the overall inventory price and also to maximise profit. The suggested inventory system may also be used to regulate the inventory of certain things such as food, trendy goods, bag production, and stationery stores. The objective of the present research is to examine the optimal production, pricing, and cycle time in order to reduce the total cost and to maximise total profit. Both the price break-even point and profit maximisation are considered. An appropriate mathematical model has been created. An illustrative case is provided and numerically validated using sensitivity analysis. Microsoft Visual Basic 6.0 has been used to code the model's outcome validation.
The remainder of the article is arranged as follows. In Section 2 we identify the pertinent scholarly literature. Section 3 spells out the assumptions and the notations that are relevant to the study. Section 4 presents the mathematical model that has been developed for the optimal solution. Finally, the article is summarised and concluded in Section 5.
2. LITERATURE REVIEW
Many studies have been conducted over the years on price-sensitive demand in inventory management. For instance, Sharma [19] established a 'deterministic inventory' system for a single deteriorating product stored in two distinct warehouses. The optimal stock level at the beginning of the period was determined, and the proposed model was shown to be consistent with the order level for non-deteriorating products in a single storage.Linn [8] developed a production paradigm for the finite production rate, order level inventory system, and lot size, factoring in the impact of decay. The goal is to reduce the overall cost by selecting the ideal order level and lot size, as well as a computer search technique is used to obtain these values. Pakkala and Achary [15] created an inventory system for degrading products with two warehouses where the replenishment rate was limited, demand was constant, and shortages were allowed. Wee [25] investigated the management of an inventory of depreciating commodities with a declining rate of demand and a mechanism that allowed for shortages. Balkhi and Benkherouf [1] described a technique for determining the ideal replacement schedule for the production lot size paradigm with degrading commodities, where demand and output were allowed to fluctuate arbitrarily with time, and shortages were allowed. Perumal and Arivarignan [16] presented two rates of production inventory systems. Skouri and Papachristos [24] examined a continuous analysis inventory model, and identified five important costs: shortage, holding, degradation, opportunity cost from missed sales, and cost/ replenishment, which is linearly dependent on lot size. Chaudhuri [17] created an EPLS system for a degrading item with linear time-dependent requirements and a constant rate of production. The model allows for inventory shortages
in every cycle, which are totally backlogged inside the cycle itself. Sivakumar et al. [20] developed a model by assuming a constant rate of demand and varying rates of production planning over time. Cardenas-Barron [4] improved certain mathematical expressions in a multi-stage production inventory model in the work of Sarkar et al. [18]. Chung and Wee [6] created an integrated production-inventory deteriorating framework for the supplier and the buyer with stock-dependent selling rates, taking into account inadequate products and JIT multiple delivery services; and they then determined the ideal delivery-time interval and the ideal number of inspection-optimal deliveries. Cardenas-Barron [3] offered a basic derivation of the inventory policies provided by Sarker, Jamal and Mondal [18]. To determine the best answers for both policies, differential calculus was used. Their derivation was dependent on an algebraic derivation, and the final findings were simple, straightforward, and easy to manually calculate; they were also equal. Cardenas-Barron [5] created an inventory model of the EPQ form with planned backorders for reducing the economic production level for a single product that is manufactured in a single-stage manufacturing system that yields products of subpar quality, all of which are reworked in the same cycle. Bhowmick and Samanta [2] created a model for deteriorating item- with shortages in which two rates of production were investigated with maximum inventory (Q1,Q2, S) and T as decision variables. Hsu, J.T., and Hsu, L.F.,[9] developed an integrated inventory model for vendor-buyer coordination under an imperfect production process. The proportion of defective items in each production lot is assumed to be stochastic and follows a known probability density function. The vendor inspects the items while they are being produced and delivers good-quality items to the buyer in small lots over multiple shipments. We assume that shortages are permitted and are completely backordered. Cardenas-Barron [26] provided an alternate method employing the Cauchy-Bunyakovsky-Schwarz Inequality to resolve a "finite horizon production" lot size model with backorders. A series of batches are used to determine the best batch size, and it is shown that constant batch size policies with a fixed fill rate are preferable to variable batch size policies with variable fill rates. The best options for a discrete planning horizon, as well as batch sizes, are finally discovered using a practical approach. Cardenas-Barron [27] updated his 2009 paper (Cardenas-Barron. Instead of the traditional choice variables of a lot and backorder amounts, the analysis of the optimum solution condition used the production time and removed backorders. When the optimum production was less than the ideal time, the new strategy resulted in an alternate inventory policy for items of suboptimal quality. Sivashankari and Panayappan [23] incorporated a multi-delivery policy into a production inventory system with faulty products, which enabled it to move between two rates of production. Starting with a low production rate was desirable for reducing holding costs and avoiding a significant quantity of manufactured goods in inventory at the beginning of the process. Entezari, et al. [7] designed a marketing and production planning model in unstable flexible production systems with variable demand rates based on the intensity of advertising for that product; the suggested model was more practical and realistic. Kumar et al. [10] considered an inventory model with two separate production rates and exponential demand rates. The rate of deterioration was also examined, and shortages were not permitted. Umakanta Mishra [12] presented three rates for a production inventory system with deteriorating products and advertising expenses and price-dependent requirement rates, and shortages were allowed and were fully backlogged. Munyaka and Yadavalli [14] reviewed inventory management concepts and implementations in the face of increasingly demanding human needs.
3. ASSUMPTIONS AND NOTATIONS:
Here we describe the notations and assumptions of the projected model.
3.1. Assumptions
The following statements are made in the intended model:
1. The rate of production is always higher than the demand rate - that is, production (P1) > demand (D) in the first level of production, where P1 indicates the rate of production in the first stage; and P2 > demand (D) in the second level of production, where P2 indicates the rate of production in the second stage of production. The demand is price-sensitive - that is, a-bP, and a and b are constant.
2. The linearly increasing demand function is in price.
3. The constant deteriorative rate is θ.
4. There is no replacement of deteriorated items.
5. When two distinct production rates are taken into consideration, it is feasible that production would start at one rate before switching to a different rate later on. This scenario is preferable because it prevents a large initial manufacturing stock of materials from beginning at a modest rate of production.
6. A continuous production system is considered.
7. Shortages are not allowed.
8. Three decision variables are considered in this study.
3.2. Notations
The following notations are used in this model.
I(t) inventory stock level at time t
P1 Rate of production in stage -1
P1 Rate of production in stage -2
D a-bP, where a > 0 and b > 0 are constants and a - constant rate of demand in PDD (price-sensitive demand) and b - coefficient of constant rate of demand in PDD
P Price per unit (decision variable)
Q Optimal quantity (decision variable)
T Optimum cycle time (decision variable)
Q1 Maximum inventory level in stage -1
Q2 Maximum inventory level in stage -2
T1 Production time during the stage -1
T2 Production time during the stage -2
T3 Decline time
Co Ordering cost per order
Ch Holding cost per unit per unit time
Cp Production cost per unit
Cd Deteriorative cost per unit
θConstant rate of deteriorative items
TC (T) Total cost with optimal cycle time
TC(Q,P) Total cost with optimal quantity and optimal price
TP(Q,P) Total profit with optimal quantity and optimal price
4. MATHEMATICAL MODEL:
4.1. Algorithms using Visual Basic 6.0
1. In this paper the profit maximisation is calculated using Visual Basic 6.0 from Table 1.
2. Five price values are calculated for the same by solving equation 22.
3. The optimum price of the product is determined in relation to the maximum profit.
4. This value is substituted in equation 18 to calculate the optimum quantity Q.
5. The optimum price (P) and the optimum quantity (Q) are calculated.
6. Later corresponding inventory parameters such as the production time at stage 1, the production time at stage 2, the consumption time, the maximum inventory at stage 1, and the maximum inventory at stage 2 are determined.
7. Necessary inventory costs such as the production cost, setup cost, holding cost, reworking cost, and rejecting cost are calculated.
8. The price breakeven point is determined when deciding the price of the product in the market.
9. A sensitive analysis has been carried out to study the effect of change in the inventory costs.
10. A comparative study is carried out between two rates of production with respect to the standard production inventory model.
4.2. Optimal cycle time in two rates of production with price-sensitive demand for deteriorating items
This section discusses a production-deteriorating inventory model with two distinct production rates and price-sensitive demand in which the equation for determining the price per unit in the fifth-order equation is derived. Both optimal price and optimal production lot size are decision variables. Initially, at time t =0, the production starts at a rate of P1, demand a - bP, and the 'inventory accumulates' at a rate of P1 -(a-bP)-DI (DI-deteriorative items) at time T1. Thereafter, the production is switched to the second stage at production rate P2 and the inventory accumulates- at the rate of P2-(a- bP) - DI at the time T2. The product becomes technologically outdated, or consumer preferences in the time T3shift. Care must be taken to keep the product's stock levels under control throughout this time of decline. Time T is required to keep all units' Q at the 'demand rate' a - bP. This procedure is repeated. It is show in Figure 1.

This relationship is expressed by the following differential equations:



Note: When
which is the basic inventory model.
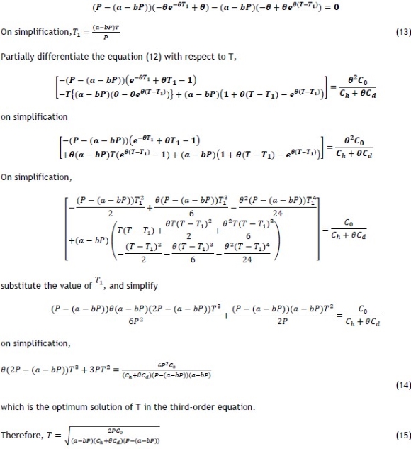
Partially differentiate the total cost equation (15) with respect to T.

Second-order partial differentiation of the total cost equation (15) with respect to T:

which is verification for optimality in T.


4.3. Optimal pricing and lot size policies in a two-rates-of-production model with price-sensitive demand for deteriorative items
From the equations (11), (12), (13), and (14), the total cost in the form of optimal pricing and optimal production lot size is defined as follows:
Total cost TC (P,Q):


This is the optimum solution equation for price (P) in a higher-order equation. This equation can be solved by using either MATLAB or any other software. For the reader's convenience, the equation is reduced to a fifth -order equation and solved for price (P), thus making the order of the equation:

where
and it is the optimal solution for price P in the first fifth-order equation, and it is solved using Keisan Casio software. After obtaining five values of price, substitute the equation in equation (20), so obtaining another decision variable, optimal quantity Q.
Numerical example:
Let us consider the data from a bag manufacturing company that produces bags throughout the year. The corresponding demand rate, cost coefficients, and parameter values are given below. Let us consider the following data for solving the model using Visual Basic 6.0.
Production rate in stage -1: 400, production rate in stage -2: 500
Setup cost per set: 100; holding cost per unit per unit time: 10
Production cost per unit: 100, rate of deteriorative cost per unit: 100
Rate of deteriorative item: 0.01
Constant rate of demand in PDD: 500
Coefficient of constant rate of demand in PDD: 0.1
Optimal solution:
We have to calculate the price per unit from the above fifth-order equation by using Keisan Casio software. Using the above data, the fifth-order equation is:

4.4. Profit maximisation
The main goal of any organisation, and one of the aims of financial management, is for a corporation or company to be able to generate the most profit with the least amount of expenditure. Profit maximisation, in the context of financial management, refers to a strategy or method that boosts the company's profit or earnings per share. The objective of each investment or financial choice should be to maximise profits to the greatest extent possible. The process that businesses go through to determine the appropriate output, as well as the pricing levels to optimise their return, is known as profit maximisation. The company modifies important variables, including the sale price, the cost of the product, and the volume of output, to obtain its profit goals. Profit is essential to the sustainability of every company, yet it may be detrimental to the customer.
From the above data, it can be seen that the concern could earn a maximum profit of 5,79,541.33 with the corresponding price P3= 2999.45. A graph of the relationship between the total profit and the price per unit is given below.
A graphical representation of the relationship between the quantity of units and the price per unit is shown in Figure 3. But maximising profit involves selling at a higher price and a lower quantity in a competitive market. It can be seen that, when the price increases, the quantity in units decreases.


A graphical representation of the relationship between the holding cost and the price per unit is shown in Figure 4.

4.5. A comparative study of a single production inventory model and a two-rates-of-production inventory model in holding cost and initial investment
The holding cost (HC) equation in the two-rates-of-production inventory model is given below, and is derived from equation (13):

Let the cost parameters be production rate in stage -1 = 400, production rate in stage -2 = 500, holding cost per unit per unit time = 10, constant rate of demand in PDD = 500, coefficient of constant rate of demand in PDD = 0.1.

as per Table 1 at the price rate of 3000 per unit.
The holding cost (HC) equation in the one-rate-of-production inventory model is given in the appendix, and from equation (10) of the appendix at the end of this paper.

as per Table 5 (in the appendix). From equations (A) and (B), it can be seen that:
Holding cost in one stage of production = 106.60
Holding cost in two rates of production in the first stage = 10. 80
From the above, the holding cost in the first stage of two rates of production is less than in one-stage production.
Similarly, we can prove the reduction in the initial investment.
So in the present study it is possible to begin production at one rate and then switch to a different rate after a period of time. This scenario is appealing, in that a big initial stock of produced goods can be avoided by starting production at a modest pace, thus reducing the initial investment and the holding cost.
4.6. Price break-even point
The quantity of monetary receipts is mathematically equivalent to the number of monetary donations. When sales promotion costs are met, the associated traction is said to be break-even, experiencing neither loss nor profit. Most businesses use the break-even price as a typical tool to examine the pricing policy for their product range. The business may decide to set a price that is below the threshold; in this scenario, it would still generate revenue, but it would lose money. Therefore, the company's main objective would be to increase its market share instead of concentrating on turning a profit. Most e-commerce businesses continue to generate less revenue than they require. Nevertheless, they have gone further to capture the market share. Break-even pricing is a simple mathematical formula that examines the price at which a profit will become a loss. It is essentially the price at which total cost and total income are equal.
The sensitivity analysis findings for the price per unit (P) are shown in Table 2. It is an analysis of the price per unit with production time, maximum inventory, cycle time, optimal quantity, overall cost, deteriorative cost, setup cost, production cost, holding cost, overall sales, and total profit. Overall profit and total sales are very sensitive to the price per unit, and have a positive relationship with price per unit. With optimal quantity, the production time, optimal cycle time, total cost, and production cost, there is an inverse correlation between price per unit, and are moderately sensitive. Deteriorative cost, holding cost, setup cost, and maximum inventory have a positive relationship with price per unit and a moderate sensitivity.

Table 2 shows that, if the firm produces more than 113.88 units at a corresponding price of 101.755, from the extra output the firm will gain more revenue, and its costs and total profit will increase. But maximising profit involves selling a lower quantity at a higher price in a competitive market. A graphical representation of the relationship between the price per unit and the total profit is given in Figure 5, and it is observed that the total profit upward curve.

4.7. Sensitivity analysis
A sensitivity analysis was carried out for the numerical example discussed in the previous section, to study the effect of changing the inventory parameters over those in the previous section. This analysis was done by changing one parameter at a time while keeping the others fixed. The variations increased and decreased. The results obtained were shown in Tables 3 and 4.


4.7.1. Sensitivity analysis of rate of deteriorative items (0)
The sensitivity analysis findings for the rate of the deteriorative items (θ) are shown in Table 3, which shows the rate of deterioration of products with optimal quantity, cycle time, maximum inventory, holding cost, production cost, production time, setup cost, deteriorative cost, total cost, total sales, and total profit. Total profit functions have an inverse relationship with the rate of deteriorative items, and are substantially less sensitive to it. There is no sensitivity in production and total sales. There is a positive correlation between setup cost, deteriorative, and total cost, with a moderate sensitivity to the deteriorative items rate. There is a negative connection between holding cost, maximum inventory, production time, optimal quantity, and optimal cycle time, with a moderate sensitivity to the deteriorative items rate.
A graphical representation of the relationship between the rate of deteriorating items and the total profit is given in Figure 6. It can be seen that there is a downward curve in the total profit.

A sensitivity analysis of the relationship between demand and cost parameters on optimal values is given in Table 4, and observations about this table are given below it.
Managerial insights: Changes in system parameters, the holding cost/unit/unit time (Ch), the deteriorating cost/unit (Cd), the purchasing cost/unit (CP), the ordering cost/order (Co), the constant demand in PDD (a), the coefficient of the constant in PDD (b) on optimal values such as deteriorative cost, total cost, production cost, setup cost, maximum inventory, optimum quantity, production time, cycle time, holding cost, total sales, and total profit are studied by using a sensitivity analysis. One parameter at a time is changed (increased or decreased) in the sensitivity analysis while retaining the other factors at their original levels. From the sensitivity analysis based on Table 4, the following impacts may be identified.
1. Total sales and total profit functions are very sensitive to the constant rate of demand in PDD (a), and there is a positive correlation between 'optimum quantity' (Q), production cost, maximum inventory, deteriorative cost, holding cost, setup cost, total cost, and production time, and all these costs and outputs are moderately sensitive.t. The parameter 'a' and cycle time have an inverse connection with the parameter 'a', and it has moderate sensitivity.
2. Total sales and total profit are very sensitive, and there is inverse relationship between the coefficient rate of demand in PDD (b). The positive relationship between cycle time, maximum inventory, total cost, and moderate sensitivity with 'b'. There is a negative relationship between optimal quantity, production time, production cost, and setup cost with moderate sensitivity to parameter 'b'.
3. The overall profit is much less sensitive to the setup cost per set (Co),and has an inverse relationship with the holding cost parameter. The total cost is not sensitive to the setup cost/set. There is a positive connection, and it is moderately sensitive, with total cost, deteriorative cost, setup cost, holding cost, maximum inventory, production time, optimal quantity, cycle time, and w.r.t setup cost per set.
4. Table 4 also shows additional parameters such as the rate of deteriorating products (Cd), and the holding cost/ unit/unit time.
4.8. Managerial implications
When a new product is introduced, the firm may be unable to determine the optimal production pace. In this situation, the production rate may be set as a multiple of the demand rate. Companies may react to rising demand by speeding up production; conversely, if demand falls, they may slow down the demand rate. The same principle may be used in the manufacture of products for which there is a high demand, when a corporation may be obliged to change the pace of production based on the circumstances. In addition, in an inflationary market environment the different inventory costs are not always constant, but vary over time. If this is their position, industry managers may embrace this strategy. The table also reveals that the profit function and the setup cost per set are inversely related. The ideal solution is also found with larger cell sizes and longer cycle lengths when setup costs rise. This implies that a corporation should generate a larger lot size when setup costs are significantly greater. Once again, we can show that the unit holding cost and the profit function are mutually exclusive. The ideal solution is attained with a smaller lot size and shorter cycle time as the holding cost per unit rises. This suggests that a corporation should create a smaller lot size and do so more often if the holding cost of some product increases, in order to avoid investing a lot of money in keeping the item.
5. CONCLUSION AND FUTURE STUDIES
This study constructed an inventory system with two rates of production, based on the price-sensitive demand for deteriorative items in which two distinct rates are taken into account, and in which it is feasible that manufacturing would begin at one pace and then move to another after some time. Such a scenario is preferable because it prevents a big initial stock of manufactured products, and in so doing lowers the initial investment and holding costs by beginning with a modest rate of production. The price break-even point was determined, which would be useful for the manufacturer to fix the price of the product to obtain the maximum profit. Further, the maximum profit was determined on the basis of the given data. A precise mathematical model was constructed, along with a method of solution. To illustrate its use in practice, a numerical example was given. In this study, confirmation of the results was an essential stage. The model was validated by using Microsoft Visual Basic 6.0. The suggested inventory system may also be used to regulate the inventory of certain things such as food, fashionable goods, and stationery stores. Maximised profit and price break-even points are considered in this model. The following results have been observed from this research.
The restrictions and instructions for further study may be expanded as follows:
1. The majority of manufacturing systems in use today have several stages, and each stage may yield faulty goods and waste. In addition, with a multi-stage system the percentage of defective products and waste may vary with the stage. These considerations would allow this study to be expanded to include a multi-stage manufacturing process.
2. The fixed cost is not taken into account at the price break-even point; however, future research could consider this.
3. For accuracy, the findings are created using third- and fourth-order equations, with the possibility of being expanded to higher-order equations.
4. This study may also be extended to include carbon emissions and associated carbon restrictions.
5. Discounts in price and the time value of money should be taken into account.
6. Demand is a function of many variables, including time-dependent demand, price-dependent demand (which may be considered as stock-dependent demand), and probability-dependent demand.
7. This study could be enhanced by including trade credit or quantity discount criteria.
8. The interest rates are included in the overall cost function, and the rate of interest should be included in future studies.
9. The demand rate was constant, linear, and quadratic in each of the two-rates-of-production models. Demand that is reliant on price, stock, advertisements, carbon emissions, and other factors may be included as an expansion of this study.
10. The reworking procedure has no setup time, and future research should take this into account.
11. One could add the impact of advertising in the demand function to extend the model further.
REFERENCES
[1] Balkhi, Z.T. & Benkherouf, L. (1996). A production lot size inventory model for deteriorating items and arbitrary production and demand rates. European Journal of Operational Research, 92, 302-309. [ Links ]
[2] Bhowmick, J. and Samanta, G.P. (2011), A deterministic inventory model of deteriorating items with two rates of production, shortages, and variable production cycle. ISRN Applied Mathematics, 2011, doi: 10.5402/2011/657464. [ Links ]
[3] Cardenas-Barron, L.E. (2008). Optimal manufacturing batch size with rework in a single-stage production system: A simple derivation. Computers and Industrial Engineering Journal, 55(4), 758-765. [ Links ]
[4] Cardenas-Barron, L.E. (2009a). Economic production quantity with rework process at a single-stage manufacturing system with planned backorders. Computers and Industrial Engineering Journal, 57(3), 1105-1113. [ Links ]
[5] Cardenas-Barron, L.E. (2009b). On optimal batch sizing in a multi-stage production system with rework consideration. European Journal of Operation Research, 196(3), 1238-1244. [ Links ]
[6] Chund, C.J. & Wee, H.M. (2008). Scheduling and replenishment plan for an integrated deteriorating inventory model with stock-dependent selling rate. International Journal of Advanced Manufacturing Technology, 35(7-8), 665-679. [ Links ]
[7] Entezari, A.R., Karimi, B. & Kianfar, F. (2014). Optimal production control and marketing plan in two-machine unreliable flexible manufacturing systems. International Journal of Advanced Manufacturing Technology, 73 (1-4), 487-496. [ Links ]
[8] Heng, K.J., Labban, J. & Linn, R.J. (1991). An order level lot-size inventory model for deteriorating items with finite replenishment rate. Computers Industrial Engineering, 20(2), 187-197. [ Links ]
[9] Hsu, J.T. & Hsu, L.F. (2013). Integrated vendor-buyer cooperative model in an imperfect production process with shortage backordering. International Journal of Advanced Manufacturing Technology, 65(1-4), 493-505. [ Links ]
[10] Kumar, N., Yadav, D. & Kumar, R. (2018). Two-level production inventory model with exponential demand and time-dependent deterioration rate. Malaya Journal of Mathematics, 2(1), 30-34. [ Links ]
[11] Malumfashi, M.L., Ismail, M.T. & Majuhar, M.K. (2022). An EPE model for delayed deteriorating items with a two-phase production period, exponential demand rate, and linear holding cost. Bulletin of the Malaysian Mathematical Science Society,Volume 45, 395-424. doi:org/10.1007/s40840-022-01316-x [ Links ]
[12] Mishra, U. (2018). Optimizing a three rates of production inventory under market selling price and advertising cost with deteriorating items. International Journal of Management Science and Engineering Management, 13(4), 295-305. [ Links ]
[13] Mishra, U., Hashan, A., Kumar, S. & Uddin, M.S. (2022). The effect of rebate value and selling price-dependent demand for four level production manufacturing system. Journal of Industrial and Management Optimization,Volume 19(2), 1367-1394. DOI:10.3934/jimo.2021233 [ Links ]
[14] Munyaka, J.B. & Yadavalli, V.S.S. (2022). Inventory management concepts and implementations: A systematic review. South African Journal of Industrial Engineering, 33(21), 15-36. [ Links ]
[15] Pakkala, T. P.M. & Achary K. K. (1992). A deterministic inventory model for deteriorating items with two warehouses and finite replenishment rate. European Journal of Operational Research, 57, 71-76. [ Links ]
[16] Perumal, V. & Arivarignan, G (2002). A production model with two rates of production and backorders. International Journal of Management and Systems, 18, 109-119. [ Links ]
[17] Sana, S., Goyal, S.K. & Chaudhuri, K.S. (2004). A production-inventory model for a deteriorating item with trended demand and shortages. European Journal of Operational Research, 157, 357-371. [ Links ]
[18] Sarkar, B.R., Jamal, A.M.M. & Mondal, S. (2008). Optimal batch sizing in a multi-stage production system with rework consideration. European Journal of Operational Research, 184(3), 915-929. [ Links ]
[19] Sharma, K.V.S. (1987). A deterministic order level inventory model for deteriorating items with two storage facilities. European Journal of Operation Research, 29, 70-73. [ Links ]
[20] Sivakumar, B., Arivarignan, G. & Perumal, V. (2005). Inventory model with multiple rates of production. Opsearch, 42, 126-133. [ Links ]
[21] Sivashankari, C.K. & Panayappan, S. (2015). Production inventory model for two-level production with deteriorative items and shortages. International Journal of Advanced Manufacturing Technology, 76(9-12), 2003-2014. [ Links ]
[22] Sivashankari, C.K. & Krishnamoorthi, C. (2016). Production inventory models for deteriorating items with three levels of production and shortages. Yugoslav Journal of Operations Research, 27(4), 499-519. [ Links ]
[23] Sivashankari, C.K. & Panayappan, S. (2014). Production inventory model for two-level production with defective items and incorporating multi-delivery policy. International Journal of Operational Research, 19(3), 259-279. [ Links ]
[24] Skouri, K. & Papachristos, S. (2002). A continuous review inventory model, with deteriorating items, time-varying demand, linear replenishment cost, partially time-varying backlogging. Applied Mathematical Modelling, 26, 603-617. [ Links ]
[25] Wee, H.M. (1995). A deterministic lot size inventory model for deteriorating items with shortages and a declining market. Computers & Operation Research, 22(3), 345-356. [ Links ]
[26] Wee, H.M., Wang, W.T. & Cardenas-Barron, L.E. (2013). An alternative analysis and solution procedure for the EPQ model with rework process at a single-stage manufacturing system with planned backorders. Computers and Industrial Engineering Journal, 64(2), 748-755. [ Links ]
[27] Wee, H.M., Wang, W.T., Lee, M.C. & Cardenas-Barron, L.E. (2013). Solving a finite horizon EPQ problem with backorders. Applied Mathematical Modelling, 37(14-15), 7876-7882. [ Links ]
Submitted by authors 20 Apr 2023
Accepted for publication 15 Mar 2024
Available online 31 May 2024
* Corresponding author: sankariooty@gmail.com
ORCID® identifiers
C. K. Sivashankari
https://orcid.org/0000-0002-6974-0782
T. Nithya
https://orcid.org/0009-0000-4588-6616
V. S. S. Yadavalli
https://orcid.org/0000-0002-3035-8906
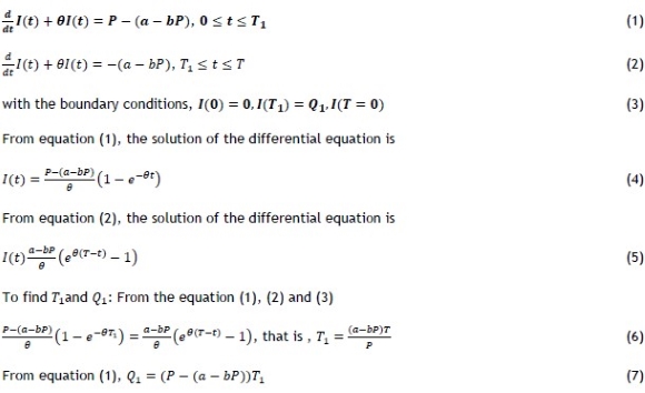
APPENDIX A: PRODUCTION INVENTORY MODEL WITH PRICE-DEPENDENT DEMAND.
The inventory on-hand increases by the rate of P - (a - bP), which is the production rate minus consumption rate and deteriorative item, until time T1, when the production process stops and the inventory on hand reaches its maximum level,After that point, the inventory level decreases with the consumption rate D = (a-bP), until it becomes zero at the end of the cycle T, when the production process is resumed again.
The inventory differential equations are

Total (2): Total cost comprises the sum of the production cost, setup cost, holding cost, and deteriorating cost. They are grouped after evaluating the above costs individually.


Illustrative example: Production rate P = 400 units, demand rate D = 200 units, setup cost per set C0= 100, holding cost per unit per unit time Ch = 10, production cost per unit CP= 100, deteriorative cost per unit Cd = 100, rate of deteriorative item θ= 0.01, selling price per unit P = 3000, constant demand rate in PDD (a ) = 500, coefficient of demand rate in PDD (b) = 0.1.
Optimum solution: Optimum cycle time T= 0.4264, demand = 200 units, optimum quantity Q = 85.28, production time T1 = 0.2132, maximum inventory Q1= 42.64, production cost = 20000, setup cost = 234.52, holding cost = 213.20, deteriorative cost = 21.32, total cost = 20469.04, total sales = 600000, total profit = 579530.95













